Association of PM2.5 and Its Chemical Compositions with Metabolic Syndrome: A Nationwide Study in Middle-Aged and Older Chinese Adults
Abstract
1. Introduction
2. Materials and Methods
2.1. Study Participants
2.2. Estimation of PM2.5 and Its Composition
2.3. Definition of MetS
2.4. Covariates
2.5. Statistical Analysis
3. Results
3.1. The Basic Description
3.2. Association between PM2.5 and Its Compositions on MetS
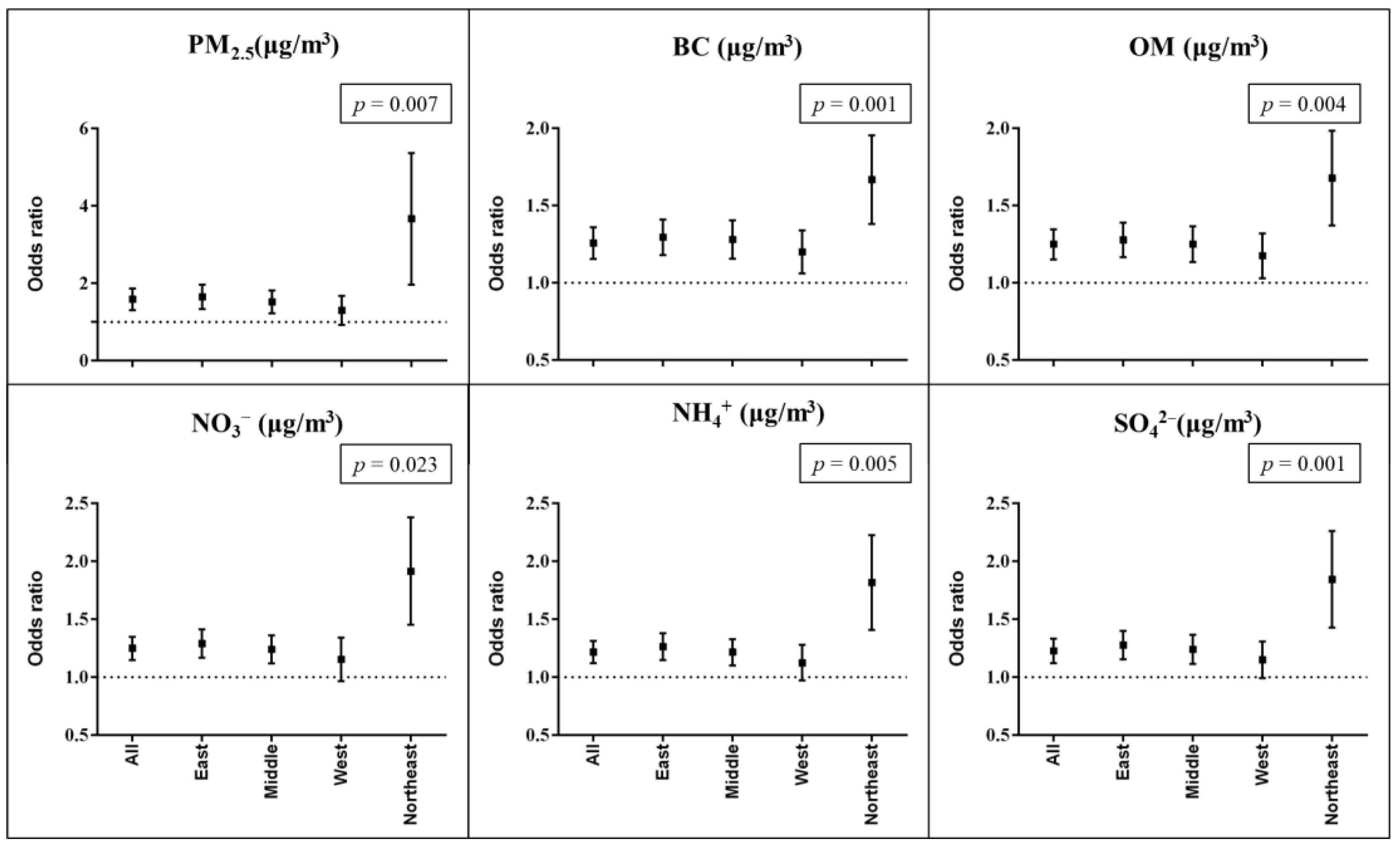
3.3. Stratified Analyses by Subgroups
4. Discussion
5. Conclusions
Supplementary Materials
Author Contributions
Funding
Institutional Review Board Statement
Informed Consent Statement
Data Availability Statement
Acknowledgments
Conflicts of Interest
References
- Rochlani, Y.; Pothineni, N.V.; Kovelamudi, S.; Mehta, J.L. Metabolic syndrome: Pathophysiology, management, and modulation by natural compounds. Ther. Adv. Cardiovasc. Dis. 2017, 11, 215–225. [Google Scholar] [CrossRef] [PubMed]
- Ranasinghe, P.; Mathangasinghe, Y.; Jayawardena, R.; Hills, A.P.; Misra, A. Prevalence and trends of metabolic syndrome among adults in the asia-pacific region: A systematic review. BMC Public Health 2017, 17, 101. [Google Scholar] [CrossRef] [PubMed]
- International Diabetes Federation. The IDF Consensus Worldwide Definition of the Metabolic Syndrome. Available online: http://www.idf.org/metabolic-syndrome (accessed on 20 July 2022).
- Li, R.; Li, W.; Lun, Z.; Zhang, H.; Sun, Z.; Kanu, J.S.; Qiu, S.; Cheng, Y.; Liu, Y. Prevalence of metabolic syndrome in Mainland China: A meta-analysis of published studies. BMC Public Health 2016, 16, 296. [Google Scholar] [CrossRef] [PubMed]
- Huang, P.L. A comprehensive definition for metabolic syndrome. Dis. Models Mech. 2009, 2, 231–237. [Google Scholar] [CrossRef] [PubMed]
- Lee, J.A.; Yoo, J.E.; Park, H.S. Metabolic syndrome and incidence of breast cancer in middle-aged Korean women: A nationwide cohort study. Breast Cancer Res. Treat. 2017, 162, 389–393. [Google Scholar] [CrossRef] [PubMed]
- Guo, H.; Gao, X.; Ma, R.; Liu, J.; Ding, Y.; Zhang, M.; Zhang, J.; Mu, L.; He, J.; Yan, Y.; et al. Prevalence of Metabolic Syndrome and its Associated Factors among Multi-ethnic Adults in Rural Areas in Xinjiang, China. Sci. Rep. 2017, 7, 17643. [Google Scholar] [CrossRef] [PubMed]
- Kaur, J. Assessment and screening of the risk factors in metabolic syndrome. Med. Sci. 2014, 2, 140–152. [Google Scholar] [CrossRef]
- Zhang, J.-S.; Gui, Z.-H.; Zou, Z.-Y.; Yang, B.-Y.; Ma, J.; Jing, J.; Wang, H.-J.; Luo, J.-Y.; Zhang, X.; Luo, C.-Y. Long-term exposure to ambient air pollution and metabolic syndrome in children and adolescents: A national cross-sectional study in China. Environ. Int. 2021, 148, 106383. [Google Scholar] [CrossRef]
- Yang, B.-Y.; Qian, Z.M.; Li, S.; Fan, S.; Chen, G.; Syberg, K.M.; Xian, H.; Wang, S.-Q.; Ma, H.; Chen, D.-H. Long-term exposure to ambient air pollution (including PM1) and metabolic syndrome: The 33 Communities Chinese Health Study (33CCHS). Environ. Res. 2018, 164, 204–211. [Google Scholar] [CrossRef]
- Yu, Y.; Paul, K.; Arah, O.A.; Mayeda, E.R.; Wu, J.; Lee, E.; Shih, I.-F.; Su, J.; Jerrett, M.; Haan, M. Air pollution, noise exposure, and metabolic syndrome–a cohort study in elderly Mexican-Americans in Sacramento area. Environ. Int. 2020, 134, 105269. [Google Scholar] [CrossRef]
- Peng, C.; Bind, M.-A.C.; Colicino, E.; Kloog, I.; Byun, H.-M.; Cantone, L.; Trevisi, L.; Zhong, J.; Brennan, K.; Dereix, A.E. Particulate air pollution and fasting blood glucose in nondiabetic individuals: Associations and epigenetic mediation in the normative aging study, 2000–2011. Environ. Health Perspect. 2016, 124, 1715–1721. [Google Scholar] [CrossRef] [PubMed]
- Rajagopalan, S.; Brook, R.D. Air pollution and type 2 diabetes: Mechanistic insights. Diabetes 2012, 61, 3037–3045. [Google Scholar] [CrossRef] [PubMed]
- Wang, Y.; Liu, F.; Yao, Y.; Chen, M.; Wu, C.; Yan, Y.; Xiang, H. Associations of long-term exposure to ambient air pollutants with metabolic syndrome: The Wuhan Chronic Disease Cohort Study (WCDCS). Environ. Res. 2022, 206, 112549. [Google Scholar] [CrossRef] [PubMed]
- Hou, J.; Liu, X.; Tu, R.; Dong, X.; Zhai, Z.; Mao, Z.; Huo, W.; Chen, G.; Xiang, H.; Guo, Y. Long-term exposure to ambient air pollution attenuated the association of physical activity with metabolic syndrome in rural Chinese adults: A cross-sectional study. Environ. Int. 2020, 136, 105459. [Google Scholar] [CrossRef] [PubMed]
- Fong, K.C.; Di, Q.; Kloog, I.; Laden, F.; Coull, B.A.; Koutrakis, P.; Schwartz, J.D. Relative toxicities of major particulate matter constituents on birthweight in Massachusetts. Environ. Epidemiol. 2019, 3, e047. [Google Scholar] [CrossRef]
- Cheung, K.; Daher, N.; Kam, W.; Shafer, M.M.; Ning, Z.; Schauer, J.J.; Sioutas, C. Spatial and temporal variation of chemical composition and mass closure of ambient coarse particulate matter (PM10–2.5) in the Los Angeles area. Atmos. Environ. 2011, 45, 2651–2662. [Google Scholar] [CrossRef]
- Zang, S.-T.; Luan, J.; Li, L.; Wu, Q.-J.; Chang, Q.; Dai, H.-X.; Zhao, Y.-H. Air pollution and metabolic syndrome risk: Evidence from nine observational studies. Environ. Res. 2021, 202, 111546. [Google Scholar] [CrossRef]
- Zhao, Y.; Hu, Y.; Smith, J.P.; Strauss, J.; Yang, G. Cohort profile: The China Health and Retirement Longitudinal Study (CHARLS). Int. J. Epidemiol. 2014, 43, 61–68. [Google Scholar] [CrossRef]
- Geng, G.; Zhang, Q.; Tong, D.; Li, M.; Zheng, Y.; Wang, S.; He, K. Chemical composition of ambient PM2. 5 over China and relationship to precursor emissions during 2005–2012. Atmos. Chem. Phys. 2017, 17, 9187–9203. [Google Scholar] [CrossRef]
- Bey, I.; Jacob, D.J.; Yantosca, R.M.; Logan, J.A.; Field, B.D.; Fiore, A.M.; Li, Q.; Liu, H.Y.; Mickley, L.J.; Schultz, M.G. Global modeling of tropospheric chemistry with assimilated meteorology: Model description and evaluation. J. Geophys. Res. 2001, 106, 23073–23095. [Google Scholar] [CrossRef]
- Alberti, K.G.; Eckel, R.H.; Grundy, S.M.; Zimmet, P.Z.; Cleeman, J.I.; Donato, K.A.; Fruchart, J.C.; James, W.P.; Loria, C.M.; Smith, S.C., Jr. Harmonizing the metabolic syndrome: A joint interim statement of the International Diabetes Federation Task Force on Epidemiology and Prevention; National Heart, Lung, and Blood Institute; American Heart Association; World Heart Federation; International Atherosclerosis Society; and International Association for the Study of Obesity. Circulation 2009, 120, 1640–1645. [Google Scholar] [CrossRef] [PubMed]
- Guo, Q.; Zhao, Y.; Zhao, J.; Qian, L.; Bian, M.; Xue, T.; Zhang, J.; Duan, X. Identifying the threshold of outdoor PM2.5 reversing the beneficial association between physical activity and lung function: A national longitudinal study in China. Sci. Total Environ. 2022, 839, 156138. [Google Scholar] [CrossRef] [PubMed]
- Lee, S.; Park, H.; Kim, S.; Lee, E.-K.; Lee, J.; Hong, Y.S.; Ha, E. Fine particulate matter and incidence of metabolic syndrome in non-CVD patients: A nationwide population-based cohort study. Int. J. Hyg. Environ. Health 2019, 222, 533–540. [Google Scholar] [CrossRef] [PubMed]
- Yang, Y.; Ruan, Z.; Wang, X.; Yang, Y.; Mason, T.G.; Lin, H.; Tian, L. Short-term and long-term exposures to fine particulate matter constituents and health: A systematic review and meta-analysis. Environ. Pollut. 2019, 247, 874–882. [Google Scholar] [CrossRef]
- Wu, Y.; Li, H.; Xu, D.; Li, H.; Chen, Z.; Cheng, Y.; Yin, G.; Niu, Y.; Liu, C.; Kan, H.; et al. Associations of fine particulate matter and its constituents with airway inflammation, lung function, and buccal mucosa microbiota in children. Sci. Total Environ. 2021, 773, 145619. [Google Scholar] [CrossRef]
- Sun, X.; Luo, X.; Zhao, C.; Zhang, B.; Tao, J.; Yang, Z.; Ma, W.; Liu, T. The associations between birth weight and exposure to fine particulate matter (PM2.5) and its chemical constituents during pregnancy: A meta-analysis. Environ. Pollut. 2016, 211, 38–47. [Google Scholar] [CrossRef]
- Li, J.; Dong, Y.; Song, Y.; Dong, B.; van Donkelaar, A.; Martin, R.V.; Shi, L.; Ma, Y.; Zou, Z.; Ma, J. Long-term effects of PM2.5 components on blood pressure and hypertension in Chinese children and adolescents. Environ. Int. 2022, 161, 107134. [Google Scholar] [CrossRef]
- Zheng, Y.; Wen, X.; Bian, J.; Lipkind, H.; Hu, H. Associations between the chemical composition of PM2.5 and gestational diabetes mellitus. Environ. Res. 2021, 198, 110470. [Google Scholar] [CrossRef]
- He, Z.-Z.; Guo, P.-Y.; Xu, S.-L.; Zhou, Y.; Jalaludin, B.; Leskinen, A.; Knibbs, L.D.; Heinrich, J.; Morawska, L.; Yim, S.H.-L. Associations of Particulate Matter Sizes and Chemical Constituents with Blood Lipids: A Panel Study in Guangzhou, China. Environ. Sci. Technol. 2021, 55, 5065–5075. [Google Scholar] [CrossRef]
- Jiang, P.; Zhong, X.; Li, L. On-road vehicle emission inventory and its spatio-temporal variations in North China Plain. Environ. Pollut. 2020, 267, 115639. [Google Scholar] [CrossRef]
- Yang, J.; Sakhvidi, M.J.Z.; de Hoogh, K.; Vienneau, D.; Siemiatyck, J.; Zins, M.; Goldberg, M.; Chen, J.; Lequy, E.; Jacquemin, B. Long-term exposure to black carbon and mortality: A 28-year follow-up of the GAZEL cohort. Environ. Int. 2021, 157, 106805. [Google Scholar] [CrossRef] [PubMed]
- Hopkins, L.E.; Laing, E.A.; Peake, J.L.; Uyeminami, D.; Mack, S.M.; Li, X.; Smiley-Jewell, S.; Pinkerton, K.E. Repeated iron–soot exposure and nose-to-brain transport of inhaled ultrafine particles. Toxicol. Pathol. 2018, 46, 75–84. [Google Scholar] [CrossRef] [PubMed]
- Guo, S.; Hu, M.; Guo, Q.; Zhang, X.; Zheng, M.; Zheng, J.; Chang, C.C.; Schauer, J.J.; Zhang, R. Primary sources and secondary formation of organic aerosols in Beijing, China. Environ. Sci. Technol. 2012, 46, 9846–9853. [Google Scholar] [CrossRef] [PubMed]
- Peng, X.; Hao, Q.; Wen, T.; Ji, D.; Liu, Z.; Wang, Y.; He, X.; Li, X.; Jiang, C. Characteristics of organic carbon and elemental carbon in atmospheric aerosols in the urban area in Beibei, a suburb of Chongqing. Aerosol Air Qual. Res. 2018, 18, 2764–2774. [Google Scholar] [CrossRef]
- Huang, R.-J.; Zhang, Y.; Bozzetti, C.; Ho, K.-F.; Cao, J.-J.; Han, Y.; Daellenbach, K.R.; Slowik, J.G.; Platt, S.M.; Canonaco, F. High secondary aerosol contribution to particulate pollution during haze events in China. Nature 2014, 514, 218–222. [Google Scholar] [CrossRef] [PubMed]
- Liu, S.; Zhang, K. Fine particulate matter components and mortality in Greater Houston: Did the risk reduce from 2000 to 2011? Sci. Total Environ. 2015, 538, 162–168. [Google Scholar] [CrossRef]
- Park, S.; Ku, J.; Lee, S.-M.; Hwang, H.; Lee, N.; Kim, H.; Yoon, K.-J.; Kim, Y.; Choi, S.Q. Potential toxicity of inorganic ions in particulate matter: Ion permeation in lung and disruption of cell metabolism. Sci. Total Environ. 2022, 824, 153818. [Google Scholar] [CrossRef]
- Tang, S.; Xie, J.; Wu, W.; Yi, B.; Liu, L.; Zhang, H. High ammonia exposure regulates lipid metabolism in the pig skeletal muscle via mTOR pathway. Sci. Total Environ. 2020, 740, 139917. [Google Scholar] [CrossRef]
- Clougherty, J.E. A growing role for gender analysis in air pollution epidemiology. Cienc. Saude Coletiva 2011, 16, 2221–2238. [Google Scholar] [CrossRef]
- Eze, I.C.; Schaffner, E.; Foraster, M.; Imboden, M.; von Eckardstein, A.; Gerbase, M.W.; Rothe, T.; Rochat, T.; Künzli, N.; Schindler, C.; et al. Long-Term Exposure to Ambient Air Pollution and Metabolic Syndrome in Adults. PLoS ONE 2015, 10, e0130337. [Google Scholar] [CrossRef]
- Cohen, L.; Curhan, G.C.; Forman, J.P. Influence of age on the association between lifestyle factors and risk of hypertension. J. Am. Soc. Hypertens. 2012, 6, 284–290. [Google Scholar] [CrossRef] [PubMed]
- Yang, J.; Shi, B.; Shi, Y.; Marvin, S.; Zheng, Y.; Xia, G. Air pollution dispersal in high density urban areas: Research on the triadic relation of wind, air pollution, and urban form. Sustain. Cities Soc. 2020, 54, 101941. [Google Scholar] [CrossRef]
- Cena, H.; Fonte, M.L.; Turconi, G. Relationship between smoking and metabolic syndrome. Nutr. Rev. 2011, 69, 745–753. [Google Scholar] [CrossRef] [PubMed]
- Baik, I.; Shin, C. Prospective study of alcohol consumption and metabolic syndrome. Am. J. Clin. Nutr. 2008, 87, 1455–1463. [Google Scholar] [CrossRef]
- Song, C.; Wu, L.; Xie, Y.; He, J.; Chen, X.; Wang, T.; Lin, Y.; Jin, T.; Wang, A.; Liu, Y.; et al. Air pollution in China: Status and spatiotemporal variations. Environ. Pollut. 2017, 227, 334–347. [Google Scholar] [CrossRef]
- Zhao, S.; Yu, Y.; Yin, D.; He, J.; Liu, N.; Qu, J.; Xiao, J. Annual and diurnal variations of gaseous and particulate pollutants in 31 provincial capital cities based on in situ air quality monitoring data from China National Environmental Monitoring Center. Environ. Int. 2016, 86, 92–106. [Google Scholar] [CrossRef]
- Liang, D.; Wang, Y.-q.; Wang, Y.-j.; Ma, C. National air pollution distribution in China and related geographic, gaseous pollutant, and socio-economic factors. Environ. Pollut. 2019, 250, 998–1009. [Google Scholar] [CrossRef]
- Fiorito, G.; Vlaanderen, J.; Polidoro, S.; Gulliver, J.; Galassi, C.; Ranzi, A.; Krogh, V.; Grioni, S.; Agnoli, C.; Sacerdote, C.; et al. Oxidative stress and inflammation mediate the effect of air pollution on cardio- and cerebrovascular disease: A prospective study in nonsmokers. Environ. Mol. Mutagenesis 2018, 59, 234–246. [Google Scholar] [CrossRef]
- Haberzettl, P.; O’Toole, T.E.; Bhatnagar, A.; Conklin, D.J. Exposure to Fine Particulate Air Pollution Causes Vascular Insulin Resistance by Inducing Pulmonary Oxidative Stress. Environ. Health Perspect. 2016, 124, 1830–1839. [Google Scholar] [CrossRef]
- Miller, M.R. The role of oxidative stress in the cardiovascular actions of particulate air pollution. Biochem. Soc. Trans. 2014, 42, 1006–1011. [Google Scholar] [CrossRef]
- Wolf, K.; Popp, A.; Schneider, A.; Breitner, S.; Hampel, R.; Rathmann, W.; Herder, C.; Roden, M.; Koenig, W.; Meisinger, C. Association between long-term exposure to air pollution and biomarkers related to insulin resistance, subclinical inflammation, and adipokines. Diabetes 2016, 65, 3314–3326. [Google Scholar] [CrossRef] [PubMed]
- Wang, C.; Chen, R.; Cai, J.; Shi, J.; Yang, C.; Tse, L.A.; Li, H.; Lin, Z.; Meng, X.; Liu, C.; et al. Personal exposure to fine particulate matter and blood pressure: A role of angiotensin converting enzyme and its DNA methylation. Environ. Int. 2016, 94, 661–666. [Google Scholar] [CrossRef] [PubMed]


| Non-MetS (n = 9374) | MetS (n = 4044) | p Value | |
|---|---|---|---|
| Age, mean (SD), year | 61.6 (9.79) | 60.8 (9.07) | <0.001 |
| Height, mean (SD), cm | 158 (8.35) | 158 (8.56) | 0.392 |
| Weight, mean (SD), kg | 57.5 (10.5) | 65.8 (11.3) | <0.001 |
| Physical activity amount, mean (SD), MET min/week | 119 (113) | 95.5 (101) | <0.001 |
| Sex (No. (%)) | <0.001 | ||
| Men | 4681 (49.9%) | 1492 (36.9%) | |
| Women | 4691 (50.0%) | 2552 (63.1%) | |
| Missing | 2 (0.0%) | 0 (0%) | |
| Urban or rural (No. (%)) | <0.001 | ||
| Urban | 3227 (34.4%) | 1869 (46.2%) | |
| Rural | 6147 (65.6%) | 2175 (53.8%) | |
| Marriage or not (No. (%)) | 0.28 | ||
| Single | 1217 (13.0%) | 497 (12.3%) | |
| Married | 8155 (87.0%) | 3547 (87.7%) | |
| Missing | 2 (0.0%) | 0 (0%) | |
| Educational level (No. (%)) | 0.002 | ||
| Primary or below | 3952 (42.2%) | 1609 (39.8%) | |
| Middle school | 1721 (18.4%) | 815 (20.2%) | |
| High school | 705 (7.5%) | 348 (8.6%) | |
| Collage or above | 134 (1.4%) | 72 (1.8%) | |
| Missing | 2862 (30.5%) | 1200 (29.7%) | |
| Heating fuel 1 (No. (%)) | <0.001 | ||
| Solid | 5445 (58.1%) | 2139 (52.9%) | |
| Clean | 1516 (16.2%) | 732 (18.1%) | |
| Missing | 2413 (25.7%) | 1173 (29.0%) | |
| Cooking fuel 1 (No. (%)) | <0.001 | ||
| Solid | 4277 (45.6%) | 1514 (37.4%) | |
| Clean | 5081 (54.2%) | 2520 (62.3%) | |
| Missing | 16 (0.2%) | 10 (0.2%) | |
| Smoke or not (No. (%)) | <0.001 | ||
| Smoke | 2635 (28.1%) | 767 (19.0%) | |
| No-smoke | 5336 (56.9%) | 2708 (67.0%) | |
| Missing | 1403 (15.0%) | 569 (14.1%) | |
| Drinking or not (No. (%)) | <0.001 | ||
| Drink | 3480 (37.1%) | 1184 (29.3%) | |
| Ever-drink | 1015 (10.8%) | 442 (10.9%) | |
| No-drink | 4860 (51.8%) | 2411 (59.6%) | |
| Missing | 19 (0.2%) | 7 (0.2%) |
| Air Pollutants | Mean | SD | Min | P5 | P25 | Median | P75 | P95 | Max |
|---|---|---|---|---|---|---|---|---|---|
| PM2.5 | 49.31 | 19.63 | 19.84 | 22.14 | 32.25 | 45.87 | 61.89 | 84.98 | 93.27 |
| BC | 2.36 | 0.70 | 0.98 | 1.37 | 1.82 | 2.21 | 2.88 | 3.63 | 3.99 |
| NH4+ | 7.45 | 3.11 | 2.76 | 3.04 | 4.83 | 7.43 | 9.57 | 12.92 | 14.03 |
| NO3− | 10.74 | 5.11 | 3.07 | 3.56 | 6.27 | 10.28 | 14.26 | 19.56 | 21.38 |
| OM | 11.93 | 4.23 | 4.95 | 6.00 | 8.56 | 11.46 | 14.77 | 20.12 | 21.70 |
| SO42− | 9.24 | 3.34 | 3.07 | 4.78 | 6.35 | 8.64 | 11.77 | 15.27 | 16.61 |
Publisher’s Note: MDPI stays neutral with regard to jurisdictional claims in published maps and institutional affiliations. |
© 2022 by the authors. Licensee MDPI, Basel, Switzerland. This article is an open access article distributed under the terms and conditions of the Creative Commons Attribution (CC BY) license (https://creativecommons.org/licenses/by/4.0/).
Share and Cite
Guo, Q.; Zhao, Y.; Xue, T.; Zhang, J.; Duan, X. Association of PM2.5 and Its Chemical Compositions with Metabolic Syndrome: A Nationwide Study in Middle-Aged and Older Chinese Adults. Int. J. Environ. Res. Public Health 2022, 19, 14671. https://doi.org/10.3390/ijerph192214671
Guo Q, Zhao Y, Xue T, Zhang J, Duan X. Association of PM2.5 and Its Chemical Compositions with Metabolic Syndrome: A Nationwide Study in Middle-Aged and Older Chinese Adults. International Journal of Environmental Research and Public Health. 2022; 19(22):14671. https://doi.org/10.3390/ijerph192214671
Chicago/Turabian StyleGuo, Qian, Yuchen Zhao, Tao Xue, Junfeng Zhang, and Xiaoli Duan. 2022. "Association of PM2.5 and Its Chemical Compositions with Metabolic Syndrome: A Nationwide Study in Middle-Aged and Older Chinese Adults" International Journal of Environmental Research and Public Health 19, no. 22: 14671. https://doi.org/10.3390/ijerph192214671
APA StyleGuo, Q., Zhao, Y., Xue, T., Zhang, J., & Duan, X. (2022). Association of PM2.5 and Its Chemical Compositions with Metabolic Syndrome: A Nationwide Study in Middle-Aged and Older Chinese Adults. International Journal of Environmental Research and Public Health, 19(22), 14671. https://doi.org/10.3390/ijerph192214671

