Five-Compressions Protocol as a Valid Myotonometric Method to Assess the Stiffness of the Lower Limbs: A Brief Report
Abstract
1. Introduction
2. Materials and Methods
2.1. Sample
2.2. Design and Procedure
2.3. Data Analysis
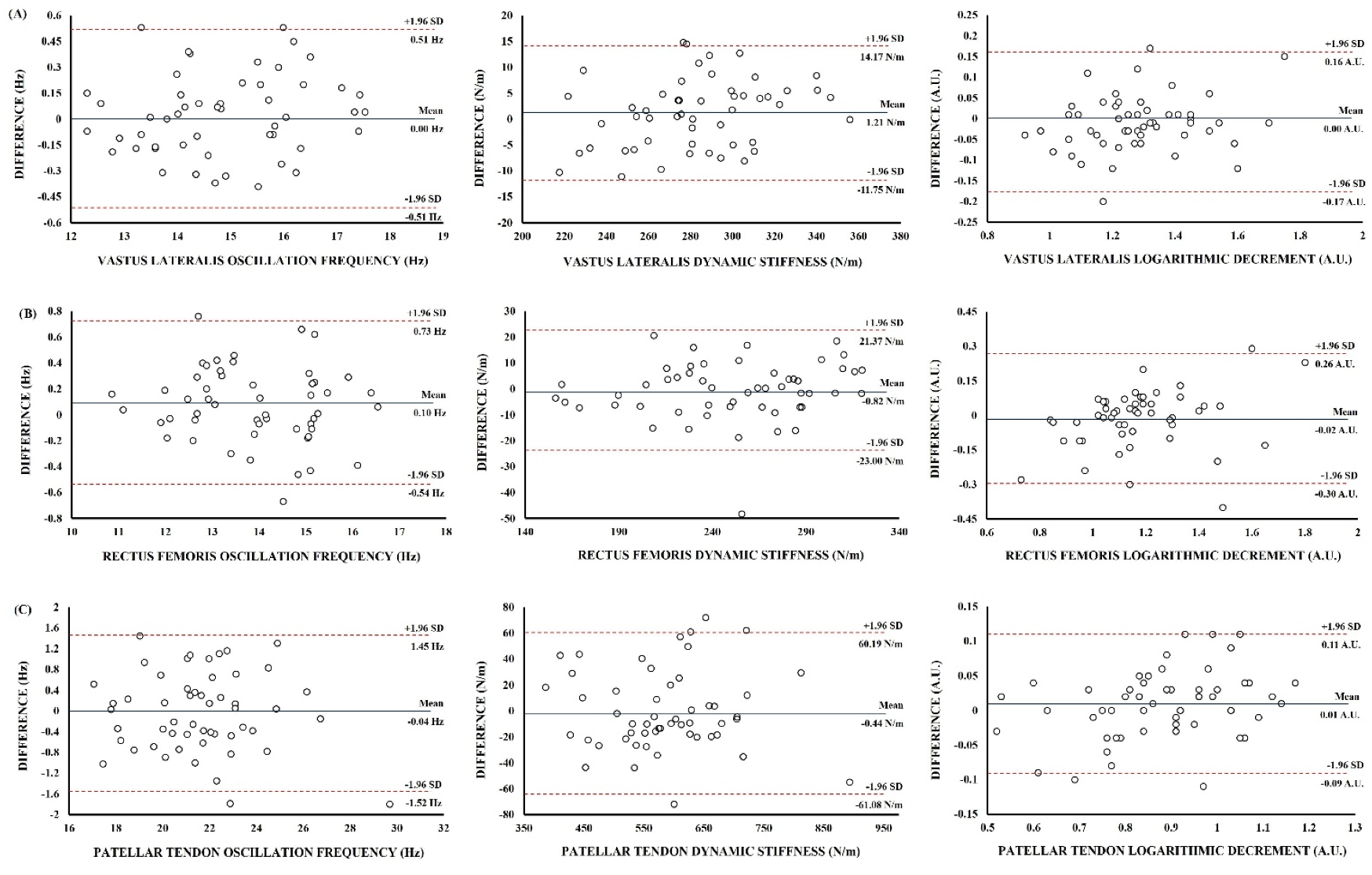
3. Results
3.1. Validity Results
3.2. Inter-Region Differences Results
3.3. Inter-Protocol Differences Results
4. Discussion
Limitations
5. Conclusions
Author Contributions
Funding
Institutional Review Board Statement
Informed Consent Statement
Data Availability Statement
Conflicts of Interest
References
- Brughelli, M.; Cronin, J. A review of research on the mechanical stiffness in running and jumping: Methodology and implications. Scand. J. Med. Sci. Sports 2008, 18, 417–426. [Google Scholar] [CrossRef] [PubMed]
- Dickson, D.M.; Fawole, H.O.; Newcombe, L.; Smith, S.L.; Hendry, G.J. Reliability of ultrasound strain elastography in the assessment of the quadriceps and patellar tendon in healthy adults. Ultrasound 2019, 27, 252–261. [Google Scholar] [CrossRef] [PubMed]
- Feng, Y.N.; Li, Y.P.; Liu, C.L.; Zhang, Z.J. Assessing the elastic properties of skeletal muscle and tendon using shearwave ultrasound elastography and MyotonPRO. Sci. Rep. 2018, 8, 17064. [Google Scholar] [CrossRef] [PubMed]
- Liu, Y.; Pan, A.; Hai, Y.; Li, W.; Yin, L.; Guo, R. Asymmetric biomechanical characteristics of the paravertebral muscle in adolescent idiopathic scoliosis. Clin. Biomech. 2019, 65, 81–86. [Google Scholar] [CrossRef] [PubMed]
- Bizzini, M.; Mannion, A.F. Reliability of a new, hand-held device for assessing skeletal muscle stiffness. Clin. Biomech. 2003, 18, 459–461. [Google Scholar] [CrossRef]
- Bravo-Sánchez, A.; Abián, P.; Sánchez-Infante, J.; Esteban-Gacía, P.; Jimenez, F.; Abián-Vicén, J. Objective Assessment of Regional Stiffness in Vastus Lateralis with Different Measurement Methods: A Reliability Study. Sensors 2021, 21, 3213. [Google Scholar] [CrossRef] [PubMed]
- Ilahi, S.; Masi, A.T.; White, A.; Devos, A.; Henderson, J.; Nair, K. Quantified biomechanical properties of lower lumbar myofascia in younger adults with chronic idiopathic low back pain and matched healthy controls. Clin. Biomech. 2020, 73, 78–85. [Google Scholar] [CrossRef] [PubMed]
- Bravo-Sánchez, A.; Abián, P.; Jiménez, F.; Abián-Vicén, J. Structural and mechanical properties of the Achilles tendon in senior badminton players: Operated vs. non-injured tendons. Clin. Biomech. 2021, 85, 105366. [Google Scholar] [CrossRef] [PubMed]
- Davidson, M.J.; Bryant, A.L.; Bower, W.F.; Frawley, H.C. Myotonometry Reliably Measures Muscle Stiffness in the Thenar and Perineal Muscles. Physiother. Can. 2017, 69, 104–112. [Google Scholar] [CrossRef] [PubMed]
- Jiménez-Sánchez, C.; Ortiz-Lucas, M.; Bravo-Esteban, E.; Mayoral-del Moral, O.; Herrero-Gállego, P.; Gómez-Soriano, J. Myotonometry as a measure to detect myofascial trigger points: An inter-rater reliability study. Physiol. Meas. 2018, 39, 115004. [Google Scholar] [CrossRef] [PubMed]
- Pozarowszczyk, B.; Pawlaczyk, W.; Smoter, M.; Zarzycki, A.; Mroczek, D.; Kumorek, M.; Witkowski, K.; Adam, K. Effects of Karate Fights on Achilles Tendon Stiffness Measured by Myotonometry. J. Hum. Kinet. 2017, 56, 93–97. [Google Scholar] [CrossRef] [PubMed]
- Gilbert, I.; Gaudreault, N.; Gaboury, I. Intra- and inter-evaluator reliability of the MyotonPRO for the assessment of the viscoelastic properties of caesarean section scar and unscarred skin. Ski. Res. Technol. 2021, 27, 370–375. [Google Scholar] [CrossRef] [PubMed]
- Schneebeli, A.; Falla, D.; Clijsen, R.; Barbero, M. Myotonometry for the evaluation of Achilles tendon mechanical properties: A reliability and construct validity study. BMJ Open Sport Exerc. Med. 2020, 6, e000726. [Google Scholar] [CrossRef] [PubMed]
- Cohen, J. Statistical Power Analysis for the Behavioral Sciences; Lawrence Erlbaum Associates: Hillsdale, NJ, USA, 1988. [Google Scholar]
- Chang, T.T.; Feng, Y.N.; Zhu, Y.; Liu, C.L.; Wang, X.Q.; Zhang, Z.J. Objective Assessment of Regional Stiffness in Achilles Tendon in Different Ankle Joint Positions Using the MyotonPRO. Med. Sci. Monit. 2020, 26, e926407. [Google Scholar] [CrossRef] [PubMed]
- Siracusa, J.; Charlot, K.; Malgoyre, A.; Conort, S.; Tardo-Dino, P.E.; Bourrilhon, C.; Garcia-Vicencio, S. Resting Muscle Shear Modulus Measured with Ultrasound Shear-Wave Elastography as an Alternative Tool to Assess Muscle Fatigue in Humans. Front. Physiol. 2019, 10, 626. [Google Scholar] [CrossRef] [PubMed]
- Agyapong-Badu, S.; Warner, M.; Samuel, D.; Stokes, M. Measurement of ageing effects on muscle tone and mechanical properties of rectus femoris and biceps brachii in healthy males and females using a novel hand-held myometric device. Arch. Gerontol. Geriatr. 2016, 62, 59–67. [Google Scholar] [CrossRef] [PubMed]
- Lee, Y.; Kim, M.; Lee, H. The Measurement of Stiffness for Major Muscles with Shear Wave Elastography and Myoton: A Quantitative Analysis Study. Diagnostics 2021, 11, 524. [Google Scholar] [CrossRef] [PubMed]
- Morgan, G.E.; Martin, R.; Williams, L.; Pearce, O.; Morris, K. Objective assessment of stiffness in Achilles tendinopathy: A novel approach using the MyotonPRO. BMJ Open Sport Exerc. Med. 2018, 4, e000446. [Google Scholar] [CrossRef] [PubMed]
- Schober, P.; Boer, C.; Schwarte, L.A. Correlation Coefficients: Appropriate Use and Interpretation. Anesth. Analg. 2018, 126, 1763–1768. [Google Scholar] [CrossRef] [PubMed]



| FR (Hz) | D (A.U.) | Stiffness (N∙m−1) | |
|---|---|---|---|
| Vastus Lateralis | |||
| Standard Protocol | 14.85 ± 1.38 † | 1.28 ± 0.18 † | 282.86 ± 30.79 † |
| Short Protocol | 14.80 ± 1.44 * | 1.29 ± 0.19 * | 283.54 ± 32.43 * |
| Δ [IC 95%] | 0.05 ± 0.26 [−0.12 to 0.02] | 0.01 ± 0.08 [−0.01 to 0.04] | 0.68 ± 9.23 [−1.89 to 3.24] |
| Rectus Femoris | |||
| Standard Protocol | 13.85 ± 1.36 †‡ | 1.18 ± 0.22 †‡ | 249.89 ± 44.79 †‡ |
| Short Protocol | 13.94 ± 1.35 *# | 1.17 ± 0.20 *# | 250.76 ± 43.62 *# |
| Δ [IC 95%] | 0.09 ± 0.31 [−0.01 to 0.17] | 0.01 ± 0.14 [−0.05 to 0.03] | 0.87 ± 11.42 [−2.31 to 4.05] |
| Patellar tendon | |||
| Standard Protocol | 21.67 ± 2.48 | 0.87 ± 0.15 | 588.51 ± 101.95 |
| Short Protocol | 21.63 ± 2.48 | 0.88 ± 0.15 | 586.15 ± 101.17 |
| Δ [IC 95%] | 0.05 ± 0.76 [−0.26 to 0.16] | 0.01 ± 0.05 [−0.01 to 0.02] | 2.36 ± 31.09 [−11.02 to 6.29] |
Publisher’s Note: MDPI stays neutral with regard to jurisdictional claims in published maps and institutional affiliations. |
© 2022 by the authors. Licensee MDPI, Basel, Switzerland. This article is an open access article distributed under the terms and conditions of the Creative Commons Attribution (CC BY) license (https://creativecommons.org/licenses/by/4.0/).
Share and Cite
Bravo-Sánchez, A.; Abián, P.; Sánchez-Infante, J.; Ramírez-delaCruz, M.; Esteban-García, P.; Jiménez, F.; Abián-Vicén, J. Five-Compressions Protocol as a Valid Myotonometric Method to Assess the Stiffness of the Lower Limbs: A Brief Report. Int. J. Environ. Res. Public Health 2022, 19, 14425. https://doi.org/10.3390/ijerph192114425
Bravo-Sánchez A, Abián P, Sánchez-Infante J, Ramírez-delaCruz M, Esteban-García P, Jiménez F, Abián-Vicén J. Five-Compressions Protocol as a Valid Myotonometric Method to Assess the Stiffness of the Lower Limbs: A Brief Report. International Journal of Environmental Research and Public Health. 2022; 19(21):14425. https://doi.org/10.3390/ijerph192114425
Chicago/Turabian StyleBravo-Sánchez, Alfredo, Pablo Abián, Jorge Sánchez-Infante, María Ramírez-delaCruz, Paula Esteban-García, Fernando Jiménez, and Javier Abián-Vicén. 2022. "Five-Compressions Protocol as a Valid Myotonometric Method to Assess the Stiffness of the Lower Limbs: A Brief Report" International Journal of Environmental Research and Public Health 19, no. 21: 14425. https://doi.org/10.3390/ijerph192114425
APA StyleBravo-Sánchez, A., Abián, P., Sánchez-Infante, J., Ramírez-delaCruz, M., Esteban-García, P., Jiménez, F., & Abián-Vicén, J. (2022). Five-Compressions Protocol as a Valid Myotonometric Method to Assess the Stiffness of the Lower Limbs: A Brief Report. International Journal of Environmental Research and Public Health, 19(21), 14425. https://doi.org/10.3390/ijerph192114425

