Optimizing Agricultural Input and Production for Different Types of at-Risk Peasant Households: An Empirical Study of Typical Counties in the Yimeng Mountain Area of Northern China
Abstract
1. Introduction
2. Materials and Methods
2.1. Study Area
2.2. Data Sources
2.3. Research Methods
2.3.1. Classification of Peasant Household Types
2.3.2. Target MOTAD Model
3. Results
3.1. Statistical Analysis of Peasant Household Types
3.2. Basic Household Characteristics of Different Types of Peasant Households
3.3. Agricultural Input Characteristics of Different Types of Peasant Households
3.4. Optimizing the Allocation of Agricultural Input Factors and Production Combinations for Different Types of at-Risk Peasant Households
3.4.1. Target MOTAD Model
Planting System Constraints
Resource Constraints
Target Income
3.4.2. Optimal Agricultural Income for Different Types of Peasant Households under Risk States
3.4.3. Optimal Allocation of Agricultural Input Factors for Different Types of at-Risk Peasant Households
Optimal Allocation of Agricultural Input Factors for FTPH
Optimal Allocation of Agricultural Input Factors for I PTPH
Optimal Allocation of Agricultural Input Factors for II PTPH
Optimal Allocation of Agricultural Input Factors for NAPH
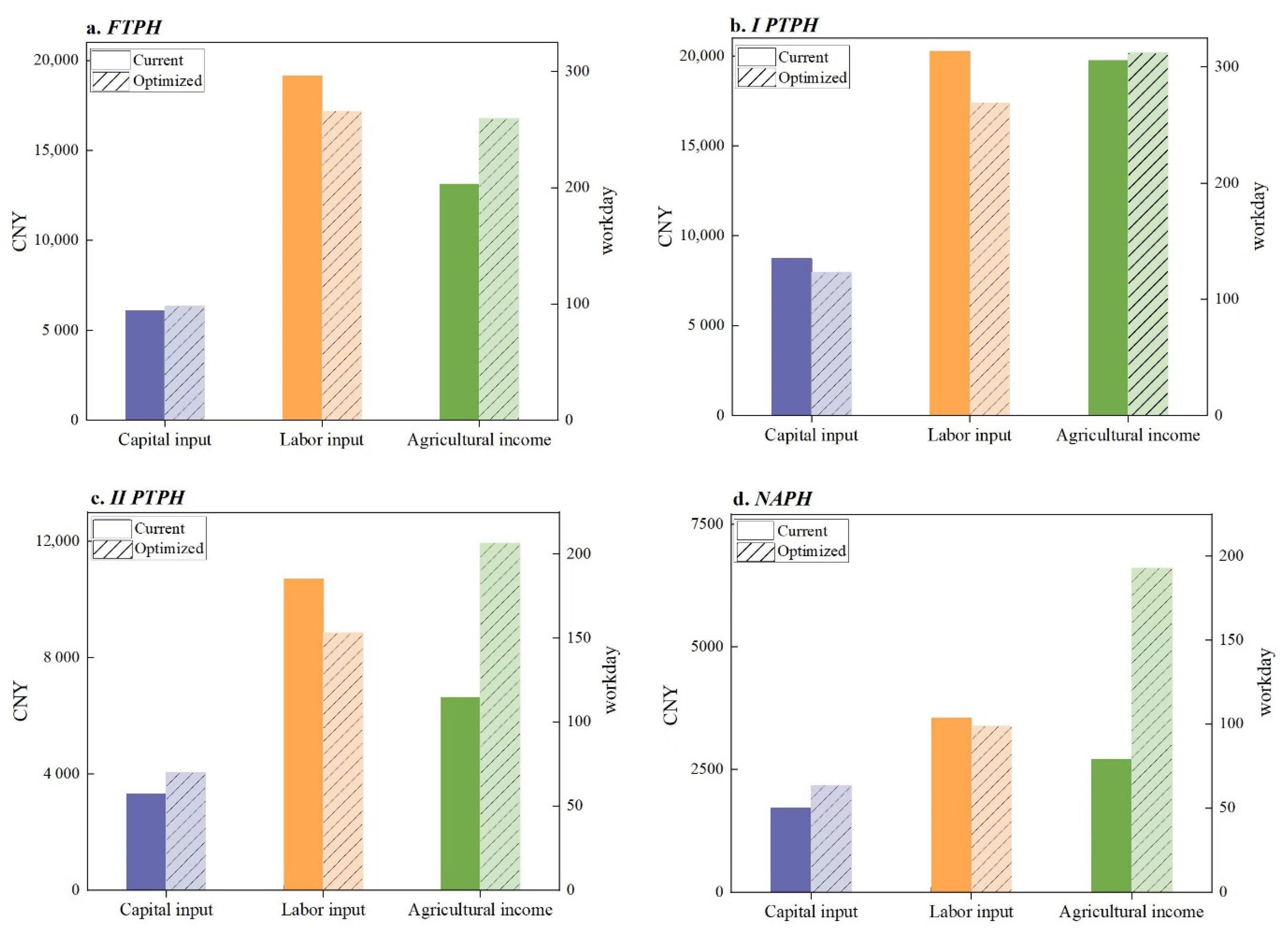
3.4.4. Optimal Allocation of Agricultural Input Factors and Production Combinations for Different Types of Peasant Households under Risk States
4. Discussion
4.1. Differences in Agricultural Input Levels among Different Types of Peasant Households
4.2. Optimization of Agricultural Inputs and Production Combinations for Different Types of Peasant Households
4.3. Limitations
5. Conclusions
- (1)
- There were significant differences in the agricultural land, labor, and capital inputs among the different types of peasant households. In terms of the agricultural land input, the agricultural land scale of each type of peasant household was generally small, and the agricultural land fragmentation was severe, among which the highest for the I PTPH was 4.95 mu of agricultural land and 8.6 plots. The labor input per unit area of the FTPH was the highest, at 75.02 workdays/mu, while the total labor input of the I PTPH was the highest, at 313.57 workdays. In terms of the capital input, the sum of the yield-increasing input per unit area was much higher than the labor-saving input, among which the total capital input of the I PTPH was the highest at 8724.64 CNY. Overall, as the degree of part-time employment increased, the agricultural input level of each type of peasant household showed an inverted U-shaped trend of first increasing and then decreasing, namely I PTPH > FTPH > II PTPH > NAPH.
- (2)
- The current agricultural inputs and production combinations of the different types of peasant households had room for improvement. Target incomes cannot be achieved at the current level of agricultural inputs and must be obtained by adjusting the agricultural inputs and optimizing production combinations. The FTPH must increase the capital input by 268.78 CNY and reduce the labor input by 30.32 workdays, which could increase the actual agricultural income by 3644.73 CNY. The I PTPH must reduce the capital input by 787.64 CNY and reduce the labor input by 44.57 workdays, which could increase the actual agricultural income by 421.22 CNY. The II PTPH must increase the capital input by 746.14 CNY and reduce the labor input by 32.50 workdays, which could increase the actual agricultural income by 5304.04 CNY. The NAPH must increase the capital input by 464.55 CNY and reduce the labor input by 4.66 workdays, which could increase the actual agricultural income by 3904.60 CNY. In general, with the continuous optimization of agricultural inputs and production combinations, the agricultural incomes could be improved as the cultivation of economic crops, such as peanuts, garlic, honeysuckle, and chestnuts, gradually replace grain crops, such as wheat and corn.
Author Contributions
Funding
Institutional Review Board Statement
Informed Consent Statement
Data Availability Statement
Conflicts of Interest
References
- Ayinde, O.E. Effect of socio-economic factors on risk behaviour of farming households: An empirical evidence of small-scale crop producers in Kwara State, Nigeria. Agric. J. 2008, 6, 447–453. [Google Scholar]
- Keshavarz, M.; Maleksaeidi, H.; Karami, E. Livelihood vulnerability to drought: A case of rural Iran. Int. J. Disaster Risk Reduct. 2017, 21, 223–230. [Google Scholar] [CrossRef]
- Paul, A.; Deka, J.; Gujre, N.; Rangan, L.; Mitra, S. Does nature of livelihood regulate the urban community’s vulnerability to climate change? Guwahati city, a case study from North East India. J. Environ. Manag. 2019, 251, 109591. [Google Scholar] [CrossRef] [PubMed]
- Pan, D.; He, M.; Kong, F. Risk attitude, risk perception, and farmers’ pesticide application behavior in China: A moderation and mediation model. J. Clean. Prod. 2020, 276, 124241. [Google Scholar] [CrossRef]
- Zeng, X.; Guo, S.; Deng, X.; Zhou, W.; Xu, D. Livelihood risk and adaptation strategies of farmers in earthquake hazard threatened areas: Evidence from Sichuan province, China. Int. J. Disaster Risk Reduct. 2021, 53, 101971. [Google Scholar] [CrossRef]
- Fahad, S.; Wang, J.; Khan, A.A.; Ullah, A.; Ali, U.; Hossain, M.S.; Khan, S.U.; Huong, N.T.L.; Yang, X.; Hu, G.; et al. Evaluation of farmers’ attitude and perception toward production risk: Lessons from Khyber Pakhtunkhwa Province, Pakistan. Hum. Ecol. Risk Assess. 2018, 24, 1710–1722. [Google Scholar] [CrossRef]
- Kwesi, S.; De-Graft Acquah, H. Attitudes toward risk and coping responses: The case of food crop farmers at Agona Duakwa in Agona East District of Ghana. Int. J. Agric. For. 2012, 2, 29–37. [Google Scholar]
- Roy, A.; Chendrashekhar, S.; Sangeetha, M. Systematic risk management programming of sugarcane production in West Bengal: A target motad analysis. Indian J. Agric. Mark. 2018, 3s, 58–64. [Google Scholar]
- Kumar, V.; Sharma, R.K.; Sharma, K.D. Risk management and rural employment in hill farming-a study of mandi district of himachal pradesh. J. Rural Dev. 2012, 2, 211–222. [Google Scholar]
- Akbari, M.; Najafi Alamdarlo, H.; Mosavi, S.H. The effects of climate change and groundwater salinity on farmers’ income risk. Ecol. Indic. 2020, 110, 105893. [Google Scholar] [CrossRef]
- Guo, H.; Wen, X.; Wu, Y.; Wang, J.; Liang, Q. Drought risk assessment of farmers considering their planting behaviors and awareness: A case study of a County from China. Ecol. Indic. 2022, 137, 108728. [Google Scholar] [CrossRef]
- Khan, A.A.; Khan, S.U.; Ali, M.A.S.; Javed, T.; Khan, A.; Luo, J. An impact of climate change and groundwater salinity on shadow price of water, farmers’ revenue, and socioeconomic and environmental indicators in district Kohat-Pakistan. Environ. Sci. Pollut. R. 2022, 29, 7352–7365. [Google Scholar] [CrossRef] [PubMed]
- Rizwan, M.; Deyi, Z.; Nazir, A.; Rajaniosti; Ahmed, U.I.; Zhu, Y.; Iqbal, M.A. Risk Perceptions and Management Strategies of Rice Growing Households: Evidence from a Developing Country. J. Appl. Environ. Biol. Sci. 2017, 3, 15–26. [Google Scholar]
- Ullah, R.; Shivakoti, G.P.; Kamran, A.; Zulfiqar, F. Farmers versus nature: Managing disaster risks at farm level. Nat. Hazards 2016, 82, 1931–1945. [Google Scholar] [CrossRef]
- Wheeler, S.A.; Nauges, C.; Zuo, A. How stable are Australian farmers’ climate change risk perceptions? New evidence of the feedback loop between risk perceptions and behaviour. Glob. Environ. Change 2021, 68, 102274. [Google Scholar] [CrossRef]
- Rizwan, M.; Ping, Q.; Saboor, A.; Ahmed, U.I.; Zhang, D.; Deyi, Z.; Teng, L. Measuring rice farmers’ risk perceptions and attitude: Evidence from Pakistan. Hum. Ecol. Risk Assess. 2020, 26, 1832–1847. [Google Scholar] [CrossRef]
- Liu, Z.; Li, Q.; Lan, J.; Abu Hatab, A. Does participation in the sloping land conversion program reduce the sensitivity of Chinese farmers to climate change? Land Use Policy 2020, 99, 105021. [Google Scholar] [CrossRef]
- Jianjun, J.; Yiwei, G.; Xiaomin, W.; Nam, P.K. Farmers’ risk preferences and their climate change adaptation strategies in the Yongqiao District, China. Land Use Policy 2015, 47, 365–372. [Google Scholar] [CrossRef]
- Alam, G.M.; Alam, K.; Mushtaq, S. Influence of institutional access and social capital on adaptation decision: Empirical evidence from hazard-prone rural households in Bangladesh. Ecol. Econ. 2016, 130, 243–251. [Google Scholar] [CrossRef]
- Barrett, C.B.; Reardon, T.; Webb, P. Nonfarm income diversification and household livelihood strategies in rural Africa: Concepts, dynamics, and policy implications. Food Policy 2001, 26, 315–331. [Google Scholar] [CrossRef]
- Kuang, F.; Jin, J.; He, R.; Ning, J.; Wan, X. Farmers’ livelihood risks, livelihood assets and adaptation strategies in Rugao City, China. J. Environ. Manag. 2020, 264, 110463. [Google Scholar] [CrossRef]
- Ullah, R.; Shivakoti, P.G.; Rehman, M. Catastrophic risks management at farm: The use of diversification, precautionary savings and agricultural credit. Pak. J. Agric. Sci. 2015, 52, 1139–1147. [Google Scholar]
- Han, H.; Zhao, L. Farmers’ character and behavior of fertilizer application -Evidence from a survey of Xinxiang County, Henan Province, China. Agric. Sci. China 2009, 8, 1238–1245. [Google Scholar] [CrossRef]
- Umoh, G.S. Programming risks in wetlands farming: Evidence from Nigerian Floodplains. J. Hum. Ecol. 2008, 2, 85–92. [Google Scholar] [CrossRef]
- Castro, N.A.V.E.; Dagamac, N.H.A.; Tapia, M.A. Responses of Filipino farmers to harsh weather phenomena: A risk perception and attitude study. J. Agric. Rural Dev. Trop. Subtrop. 2019, 2, 205–217. [Google Scholar]
- Iqbal, M.A.; Ping, Q.; Abid, M.; Muhammad Muslim Kazmi, S.; Rizwan, M. Assessing risk perceptions and attitude among cotton farmers: A case of Punjab province, Pakistan. Int. J. Disaster Risk Reduct. 2016, 16, 68–74. [Google Scholar] [CrossRef]
- Saqib, S.E.; Ahmad, M.M.; Panezai, S.; Rana, I.A. An empirical assessment of farmers’ risk attitudes in flood-prone areas of Pakistan. Int. J. Disaster Risk Reduct. 2016, 18, 107–114. [Google Scholar] [CrossRef]
- Ullah, R.; Shivakoti, G.P.; Ali, G. Factors effecting farmers’ risk attitude and risk perceptions: The case of Khyber Pakhtunkhwa, Pakistan. Int. J. Disaster Risk Reduct. 2015, 13, 151–157. [Google Scholar] [CrossRef]
- Nong, Y.; Yin, C.; Yi, X.; Ren, J.; Chien, H. Smallholder farmer preferences for diversifying farming with cover crops of sustainable farm management: A discrete choice experiment in Northwest China. Ecol. Econ. 2021, 186, 107060. [Google Scholar] [CrossRef]
- Dury, J.; Schaller, N.; Garcia, F.; Reynaud, A.; Bergez, J.E. Models to support cropping plan and crop rotation decisions. A review. Agron. Sustain. Dev. 2011, 32, 567–580. [Google Scholar] [CrossRef]
- Salassi, M.E.; Deliberto, M.A.; Guidry, K.M. Economically optimal crop sequences using risk-adjusted network flows: Modeling cotton crop rotations in the southeastern United States. Agric. Syst. 2013, 118, 33–40. [Google Scholar] [CrossRef]
- Tan, Q.; Zhang, S.; Li, R. Optimal use of agricultural water and land resources through reconfiguring crop planting structure under socioeconomic and ecological objectives. Water 2017, 9, 488. [Google Scholar] [CrossRef]
- Zimet, D.J.; Spreen, T.H. A target motad analysis of a crop and livestock farm in jefferson county, florida. J. Agric. Appl. Econ. 1986, 18, 175–186. [Google Scholar] [CrossRef]
- Yu, Q.; Wu, W.; Liu, Z.; Verburg, P.H.; Xia, T.; Yang, P.; Lu, Z.; You, L.; Tang, H. Interpretation of climate change and agricultural adaptations by local household farmers: A case study at Bin County, Northeast China. J. Integr. Agr. 2014, 13, 1599–1608. [Google Scholar] [CrossRef]
- Alfandari, L.; Plateau, A.; Schepler, X. A branch-and-price-and-cut approach for sustainable crop rotation planning. Eur. J. Oper. Res. 2015, 241, 872–879. [Google Scholar] [CrossRef]
- Forrester, R.; Miguel, R. An integer programming approach to crop rotation planning at an organic farm. UMAP J. 2017, 4, 5–25. [Google Scholar]
- Haddad, A.M.; Shahwan, Y. Optimization agricultural production under financial risk of water constraint in the Jordan Valley. Appl. Econ. 2012, 44, 1375–1385. [Google Scholar] [CrossRef]
- Musshoff, O.; Hirschauer, N. Optimizing production decisions using a hybrid simulation—Genetic algorithm approach. Can. J. Agric. Econ. 2009, 57, 35–54. [Google Scholar] [CrossRef]
- Ashraf, M.; Routray, J.K. Perception and understanding of drought and coping strategies of farming households in north-west Balochistan. Int. J. Disaster Risk Reduct. 2013, 5, 49–60. [Google Scholar] [CrossRef]
- Su, F.; Saikia, U.; Hay, I. Impact of perceived livelihood risk on livelihood strategies: A case study in Shiyang River Basin, China. Sustainability 2019, 11, 3349. [Google Scholar] [CrossRef]
- Tang, L.; Luo, X. Can agricultural insurance encourage farmers to apply biological pesticides? Evidence from rural China. Food Policy 2021, 105, 102174. [Google Scholar] [CrossRef]
- Davis, J.; Lopez-Carr, D. Migration, remittances and smallholder decision-making: Implications for land use and livelihood change in Central America. Land Use Policy 2014, 36, 319–329. [Google Scholar] [CrossRef]
- Wang, C.; Rada, N.; Qin, L.; Pan, S. Impacts of migration on household production choices: Evidence from China. J. Dev. Stud. 2014, 50, 413–425. [Google Scholar] [CrossRef]
- Nie, X.; Zhou, J.; Cheng, P.; Wang, H. Exploring the differences between coastal farmers’ subjective and objective risk preferences in China using an agent-based model. J. Rural Stud. 2021, 82, 417–429. [Google Scholar] [CrossRef]
- Xia, H.; Li, C.; Zhou, D.; Zhang, Y.; Xu, J. Peasant households’ land use decision-making analysis using social network analysis: A case of Tantou Village, China. J. Rural Stud. 2020, 80, 452–468. [Google Scholar] [CrossRef]
- Lu, Y.; Chen, M.; Weng, Z. Drivers of the peasant households’ part-time farming behavior in China. J. Rural Stud. 2022, 93, 112–121. [Google Scholar] [CrossRef]
- Ren, Y.; Li, Z.; Li, J.; Dashtseren, A.; Li, Y.; Altanbagana, M. Comparative analysis of driving forces of land use/cover change in the upper, middle and lower reaches of the Selenga River Basin. Land Use Policy 2022, 117, 106118. [Google Scholar] [CrossRef]
- Bauer, L.L. A Target MOTAD analysis of sweet potato marketing. J. Agric. Appl. Econ. 1991, 23, 123–130. [Google Scholar] [CrossRef][Green Version]
- Berbel, J. A comparison of Target MOTAD efficient sets and the choice of target. Can. J. Agric. Econ. 1990, 38, 149–158. [Google Scholar] [CrossRef]
- Zhan, X.; Shao, C.; He, R.; Shi, R. Evolution and efficiency assessment of pesticide and fertilizer inputs to cultivated land in China. Int. J. Environ. Res. Public Health 2021, 18, 3771. [Google Scholar] [CrossRef]
- De Brauw, A. Seasonal migration and agricultural production in Vietnam. J. Dev. Stud. 2010, 46, 114–139. [Google Scholar] [CrossRef]
- Taylo, J.; Lopez-Feldman, A. Does migration make rural households more productive? Evidence from Mexico. J. Dev. Stud. 2010, 1, 68–90. [Google Scholar] [CrossRef]
- Chiodi, V.; Jaimovich, E.; Montes-Rojas, G. Migration, remittances and capital accumulation: Evidence from rural Mexico. J. Dev. Stud. 2012, 48, 1139–1155. [Google Scholar] [CrossRef]
- Huang, J.; Wu, Y.; Rozelle, S. Moving off the farm and intensifying agricultural production in Shandong: A case study of rural labor market linkages in China. Agr. Econ. Blackwell 2009, 40, 203–218. [Google Scholar] [CrossRef]
- Zhu, Y.; Wu, Z.; Peng, L.; Sheng, L. Where did all the remittances go? Understanding the impact of remittances on consumption patterns in rural China. Appl. Econ. 2014, 46, 1312–1322. [Google Scholar] [CrossRef]
- Hennessy, T.; Brien, M. Machinery investment decision and off-farm employment in rural China. J. Farm Manag. 2008, 23, 235–246. [Google Scholar]
- Ji, Y.; Yu, X.; Zhong, F. Machinery investment decision and off-farm employment in rural China. China Econ. Rev. 2012, 23, 71–80. [Google Scholar] [CrossRef]
- Jabbar, A.; Wu, Q.; Peng, J.; Sher, A.; Imran, A.; Wang, K. Mitigating Catastrophic risks and food security threats: Effects of land ownership in southern Punjab, Pakistan. Int. J. Environ. Res. Public Health 2020, 17, 9258. [Google Scholar] [CrossRef]
- Uprety, D. Does skilled migration cause income inequality in the source country? Int. Migr. 2020, 58, 85–100. [Google Scholar] [CrossRef]
- Wang, J.; Cao, Y.; Fang, X.; Li, G.; Cao, Y. Does land tenure fragmentation aggravate farmland abandonment? Evidence from big survey data in rural China. J. Rural Stud. 2022, 91, 126–135. [Google Scholar] [CrossRef]
- Chandio, A.A.; Nasereldin, Y.A.; Anh, D.L.T.; Tang, Y.; Sargani, G.R.; Zhang, H. The impact of technological progress and climate change on food crop production: Evidence from Sichuan—China. Int. J. Environ. Res. Public Health 2022, 19, 9863. [Google Scholar] [CrossRef] [PubMed]
- Yu, P.; Fennell, S.; Chen, Y.; Liu, H.; Xu, L.; Pan, J.; Bai, S.; Gu, S. Positive impacts of farmland fragmentation on agricultural production efficiency in Qilu Lake watershed: Implications for appropriate scale management. Land Use Policy 2022, 117, 106108. [Google Scholar] [CrossRef]
- Guth, M.; Stępień, S.; Smędzik-Ambroży, K.; Matuszczak, A. Is small beautiful? Techinical efficiency and environmental sustainability of small-scale family farms under the conditions of agricultural policy support. J. Rural Stud. 2022, 89, 235–247. [Google Scholar] [CrossRef]
- Liu, M.; Zheng, W.; Zhong, T. Impact of migrant and returning farmer professionalization on food production diversity. J. Rural Stud. 2022, 94, 23–36. [Google Scholar] [CrossRef]
- Zinyemba, C.; Archer, E.; Rother, H.-A. Climate change, pesticides and health: Considering the risks and opportunities of adaptation for Zimbabwean smallholder cotton growers. Int. J. Environ. Res. Public Health 2021, 18, 121. [Google Scholar] [CrossRef] [PubMed]



| Type of Peasant Household | Main Livelihood | Allocation Method of Agricultural and Sideline Products | Main Sources of Household Income | Household Income Structure |
|---|---|---|---|---|
| FTPH | Agriculture | Mostly for market allocation, a few for self-production and self-sales | Agricultural income, government subsidies | AIP > 95% |
| I PTPH | Agriculture, non-agriculture | Mostly for market allocation, a few for self-production and self-sales | Agricultural income, non-agricultural income | 50% < AIP ≤ 95% |
| II PTPH | Non-agriculture, agriculture | Partly for market allocation, a few for self-production and self-sales | Non-agricultural income, agricultural income | 50% < NAIP ≤ 95% |
| NAPH | Non-agriculture | Mostly for self-production and self-sales, a few for market allocation | Non-agricultural income | NAIP > 95% |
| Category | Selected Variables | Unit | Description of Variables |
|---|---|---|---|
| Resource constraints | Multiple cropping index | / | Average number of crops grown on agricultural land in a year |
| Household agricultural land area | mu | Total area of agricultural land input agricultural production | |
| Crop-planted area | mu | Planted area for each crop | |
| Crop workday input | day/mu | Unit area workday input for each crop | |
| Crop capital input | CNY/mu | Unit area capital input for each crop | |
| Household agricultural labor force | Person | The sum of labor force input in agricultural production | |
| Workday of agricultural labor force | day/year | Per agricultural labor force input workday | |
| Target income | Household agricultural production expenditure | CNY/year | Total capital input in agricultural production |
| Household living expenses | CNY/year | Total capital input in daily living consumption | |
| Household agricultural income | CNY/year | Total income from agricultural production |
| Household Characteristics Indicators | FTPH | I PTPH | II PTPH | NAPH |
|---|---|---|---|---|
| Household size (person) | 2.38 | 4.15 | 4.23 | 4.30 |
| Household labor force (person) | 1.93 | 3.2 | 3.12 | 3.39 |
| Of which: agricultural labor force (person) | 1.93 | 2.05 | 1.98 | 2.04 |
| Age of agricultural labor force (year) | 58.68 | 53.6 | 52.35 | 53.06 |
| The literacy level of agricultural labor force | 1.71 | 2.61 | 2.13 | 2.31 |
| Per capita agricultural land area (mu) | 1.61 | 1.19 | 0.78 | 0.54 |
| Total household income (CNY/year) | 14,498.84 | 38,071.85 | 41,215.91 | 57,670.35 |
| Household non-agricultural income (CNY/year) | 0.00 | 17,841.30 | 34,057.79 | 54,869.57 |
| Household agricultural income (CNY/year) | 13,109.11 | 19,748.30 | 6628.85 | 2695.57 |
| Household non-labor income (CNY/year) | 1389.73 | 482.25 | 529.27 | 105.22 |
| Household income structure (%) | 90.41 | 51.87 | 16.08 | 4.67 |
| Total household expenditure (CNY/year) | 12,655.50 | 25,054.64 | 22,097.62 | 25,273.67 |
| Household agricultural production expenditure (CNY/year) | 6068.22 | 8724.64 | 3300.86 | 1708.45 |
| Household living expenses (CNY/year) | 6587.28 | 16,330.00 | 18,796.76 | 23,565.22 |
| Household expenditure structure (%) | 47.95 | 34.82 | 14.94 | 6.76 |
| Types of Peasant Households | Agricultural Land Input | Labor Input | Yield-Increasing Input | Labor-Saving Input | Total Capital Input (CNY) | |||||
|---|---|---|---|---|---|---|---|---|---|---|
| Agricultural Land Area (mu) | Number of Agricultural Land Plots (Piece) | Labor Input per Unit Area (Workday/mu) | Total Labor Input (Workday) | Seed (CNY/mu) | Pesticide (CNY/mu) | Fertilizer (CNY/mu) | Agricultural Film (CNY/mu) | Mechanical Power (CNY/mu) | ||
| FTPH | 3.84 | 4.20 | 75.02 | 296.32 | 220.96 | 380.37 | 161.94 | 44.57 | 125.42 | 6068.22 |
| I PTPH | 4.95 | 8.60 | 63.35 | 313.57 | 198.31 | 482.24 | 318.66 | 25.82 | 167.61 | 8724.64 |
| II PTPH | 3.32 | 4.77 | 55.87 | 185.50 | 130.62 | 348.10 | 119.10 | 22.99 | 115.64 | 3300.86 |
| NAPH | 2.33 | 4.38 | 44.49 | 103.66 | 85.35 | 279.45 | 42.63 | 23.90 | 114.59 | 1708.45 |
| Total | 3.39 | 5.01 | 53.55 | 204.09 | 140.07 | 317.86 | 98.98 | 27.06 | 118.70 | 4055.91 |
| Target Income | FTPH | I PTPH | II PTPH | NAPH | |||||
|---|---|---|---|---|---|---|---|---|---|
| Production Activities | Normal Target Income | Safe Target Income | Normal Target Income | Safe Target Income | Normal Target Income | Safe Target Income | Normal Target Income | Safe Target Income | |
| Agricultural income (CNY) | 16,335.82 | 16,335.82 | 20,160.52 | 20,160.52 | 9948.57 | 9948.57 | 5364.73 | 5364.73 | |
| Risk value (λ) | 0.00 | 0.00 | 832.31 * | 0.00 | 0.00 | 0.00 | 0.00 | 0.00 | |
| Wheat (mu) | 0.00 | 0.00 | 0.00 | 0.00 | 0.00 | 0.00 | 0.00 | 0.00 | |
| Corn (mu) | 0.00 | 0.00 | 1.00 | 1.00 | 0.00 | 0.00 | 0.00 | 0.00 | |
| Peanut (mu) | 2.63 | 2.63 | 2.23 | 2.23 | 0.00 | 0.00 | 0.00 | 0.00 | |
| Garlic (mu) | 2.63 | 2.63 | 2.23 | 2.23 | 0.99 | 0.99 | 0.33 | 0.33 | |
| Honeysuckle (mu) | 1.21 | 1.21 | 2.23 | 2.23 | 0.99 | 0.99 | 0.33 | 0.33 | |
| Chestnut (mu) | 1.21 | 1.21 | 2.23 | 2.23 | 2.33 | 2.33 | 2.00 | 2.00 | |
| Production Activities | Combination I | Combination II | Combination III | Combination IV | Combination V |
|---|---|---|---|---|---|
| Labor input (workday) | 579.00 | 579.00 | 579.00 | 579.00 | 579.00 |
| Capital input (CNY) | 5000.00 | 5500.00 | 6000.00 | 6068.22 | ≤6337.00 |
| Actual agricultural income (CNY) | 14,553.02 | 15,428.83 | 16,229.38 | 16,335.82 | 16,753.84 |
| Risk value (λ) | 1218.38 * | 822.25 * | 709.84 * | 702.12 * | 671.80 * |
| Wheat (mu) | 0.00 | 0.00 | 0.00 | 0.00 | 0.00 |
| Corn (mu) | 0.00 | 0.00 | 0.00 | 0.00 | 0.00 |
| Peanut (mu) | 2.67 | 3.63 | 2.8 | 2.63 | 1.92 |
| Garlic (mu) | 3.84 | 3.84 | 2.8 | 2.63 | 1.92 |
| Honeysuckle (mu) | 0.00 | 0.00 | 1.04 | 1.21 | 1.92 |
| Chestnut (mu) | 0.00 | 0.00 | 1.04 | 1.21 | 1.92 |
| Production Activities | Combination I | Combination II | Combination III | Combination IV | Combination V |
|---|---|---|---|---|---|
| Capital input (CNY) | 6337.00 | 6337.00 | 6337.00 | 6337.00 | 6337.00 |
| Labor input (workday) | >579.00 | 579.00 | 296.32 | 266.00 | 240.00 |
| Actual agricultural income (CNY) | 16,753.84 | 16,753.84 | 16,753.84 | 16,753.84 | 16,035.72 |
| Risk value (λ) | 839.01 * | 839.01 * | 839.01 * | 839.01 * | 891.10 * |
| Wheat (mu) | 0.00 | 0.00 | 0.00 | 0.00 | 0.00 |
| Corn (mu) | 0.00 | 0.00 | 0.00 | 0.00 | 0.00 |
| Peanut (mu) | 1.92 | 1.92 | 1.92 | 1.92 | 3.13 |
| Garlic (mu) | 1.92 | 1.92 | 1.92 | 1.92 | 3.13 |
| Honeysuckle (mu) | 1.92 | 1.92 | 1.92 | 1.92 | 0.71 |
| Chestnut (mu) | 1.92 | 1.92 | 1.92 | 1.92 | 0.71 |
| Production Activities | Combination I | Combination II | Combination III | Combination IV | Combination V |
|---|---|---|---|---|---|
| Labor input (workday) | 615.00 | 615.00 | 615.00 | 615.00 | 615.00 |
| Capital input (CNY) | 7000.00 | 7500.00 | 7937.00 | 8724.64 | ≤9000.00 |
| Actual agricultural income (CNY) | 19,158 | 19,718.78 | 20,160.52 | 20,160.52 | 20,160.52 |
| Risk value (λ) | 1115.17 * | 1029.24 * | 997.19 * | 997.19 * | 997.19 * |
| Wheat (mu) | 0.00 | 0.00 | 0.00 | 0.00 | 0.00 |
| Corn (mu) | 0.79 | 1.00 | 1.00 | 1.00 | 1.00 |
| Peanut (mu) | 3.66 | 2.97 | 2.23 | 2.23 | 2.23 |
| Garlic (mu) | 3.66 | 2.97 | 2.23 | 2.23 | 2.23 |
| Honeysuckle (mu) | 0.79 | 1.48 | 2.23 | 2.23 | 2.23 |
| Chestnut (mu) | 0.79 | 1.48 | 2.23 | 2.23 | 2.23 |
| Production Activities | Combination I | Combination II | Combination III | Combination IV | Combination V |
|---|---|---|---|---|---|
| Capital input (CNY) | 7937.00 | 7937.00 | 7937.00 | 7937.00 | 7937.00 |
| Labor input (workday) | >615.00 | 615.00 | 313.57 | 269.00 | 260.00 |
| Actual agricultural income (CNY) | 20,160.52 | 20,160.52 | 20,160.52 | 20,160.52 | 19,945.51 |
| Risk value (λ) | 997.19 * | 997.19 * | 997.19 * | 997.19 * | 1012.79 * |
| Wheat (mu) | 0.00 | 0.00 | 0.00 | 0.00 | 0.00 |
| Corn (mu) | 1.00 | 1.00 | 1.00 | 1.00 | 1.00 |
| Peanut (mu) | 2.23 | 2.23 | 2.23 | 2.23 | 2.59 |
| Garlic (mu) | 2.23 | 2.23 | 2.23 | 2.23 | 2.59 |
| Honeysuckle (mu) | 2.23 | 2.23 | 2.23 | 2.23 | 1.86 |
| Chestnut (mu) | 2.23 | 2.23 | 2.23 | 2.23 | 1.86 |
| Production Activities | Combination I | Combination II | Combination III | Combination IV | Combination V |
|---|---|---|---|---|---|
| Labor input (workday) | 594.00 | 594.00 | 594.00 | 594.00 | 594.00 |
| Capital input (CNY) | 2500.00 | 3000.00 | 3300.86 | 3500.00 | ≤4047.00 |
| Actual agricultural income (CNY) | 7818.74 | 9148.46 | 9948.57 | 10,478.17 | 11,932.89 |
| Risk value (λ) | 2693.04 * | 1165.49 * | 669.38 * | 452.24 * | 0.00 * |
| Wheat (mu) | 0.00 | 0.00 | 0.00 | 0.00 | 0.00 |
| Corn (mu) | 0.00 | 0.00 | 0.00 | 0.00 | 0.00 |
| Peanut (mu) | 0.00 | 0.00 | 0.00 | 0.00 | 0.00 |
| Garlic (mu) | 0.51 | 0.81 | 0.99 | 1.10 | 1.43 |
| Honeysuckle (mu) | 0.51 | 0.81 | 0.99 | 1.10 | 1.43 |
| Chestnut (mu) | 2.81 | 2.51 | 2.33 | 2.22 | 1.89 |
| Production activities | Combination I | Combination II | Combination III | Combination IV | Combination V |
|---|---|---|---|---|---|
| Capital input (CNY) | 4047.00 | 4047.00 | 4047.00 | 4047.00 | 4047.00 |
| Labor input (workday) | >594.00 | 594.00 | 185.50 | 153.00 | 130.00 |
| Actual agricultural income (CNY) | 11,932.89 | 11,932.89 | 11,932.89 | 11,932.89 | 11,896.44 |
| Risk value (λ) | 962.42 * | 962.42 * | 962.42 * | 962.42 * | 976.11 * |
| Wheat (mu) | 0.00 | 0.00 | 0.00 | 0.00 | 0.00 |
| Corn (mu) | 0.00 | 0.00 | 0.00 | 0.00 | 0.00 |
| Peanut (mu) | 0.00 | 0.00 | 0.00 | 0.00 | 0.00 |
| Garlic (mu) | 1.43 | 1.43 | 1.43 | 1.43 | 1.14 |
| Honeysuckle (mu) | 1.43 | 1.43 | 1.43 | 1.43 | 2.08 |
| Chestnut (mu) | 1.89 | 1.89 | 1.89 | 1.89 | 1.24 |
| Production Activities | Combination I | Combination II | Combination III | Combination IV | Combination V |
|---|---|---|---|---|---|
| Labor input (workday) | 612.00 | 612.00 | 612.00 | 612.00 | 612.00 |
| Capital input (CNY) | 1500.00 | 1600.00 | 1708.45 | 2000.00 | ≤2173.00 |
| Actual agricultural income (CNY) | 4810.37 | 5076.32 | 5364.73 | 6140.09 | 6600.17 |
| Risk value (λ) | 845.93 * | 681.03 * | 502.20 * | 152.94 * | 0.00 * |
| Wheat (mu) | 0.00 | 0.00 | 0.00 | 0.00 | 0.00 |
| Corn (mu) | 0.00 | 0.00 | 0.00 | 0.00 | 0.00 |
| Peanut (mu) | 0.00 | 0.00 | 0.00 | 0.00 | 0.00 |
| Garlic (mu) | 0.21 | 0.27 | 0.33 | 0.51 | 0.61 |
| Honeysuckle (mu) | 0.21 | 0.27 | 0.33 | 0.51 | 0.61 |
| Chestnut (mu) | 2.12 | 2.06 | 2.00 | 1.82 | 1.72 |
| Production Activities | Combination I | Combination II | Combination III | Combination IV | Combination V |
|---|---|---|---|---|---|
| Capital input (CNY) | 2173.00 | 2173.00 | 2173.00 | 2173.00 | 2173.00 |
| Labor input (workday) | >612.00 | 612.00 | 103.66 | 99.00 | 90.00 |
| Actual agricultural income (CNY) | 6600.17 | 6600.17 | 6600.17 | 6600.17 | 6574.58 |
| Risk value (λ) | 477.43 * | 477.43 * | 477.43 * | 477.43 * | 532.42 * |
| Wheat (mu) | 0.00 | 0.00 | 0.00 | 0.00 | 0.00 |
| Corn (mu) | 0.00 | 0.00 | 0.00 | 0.00 | 0.00 |
| Peanut (mu) | 0.00 | 0.00 | 0.00 | 0.00 | 0.00 |
| Garlic (mu) | 0.61 | 0.61 | 0.61 | 0.61 | 0.4 |
| Honeysuckle (mu) | 0.61 | 0.61 | 0.61 | 0.61 | 1.07 |
| Chestnut (mu) | 1.72 | 1.72 | 1.72 | 1.72 | 1.26 |
| Production Activities | Combination I | Combination II | Combination III | Combination IV | Combination V |
|---|---|---|---|---|---|
| Capital input (CNY) | 6337.00 | 7937.00 | 4047.00 | 2173.00 | 6337.00 |
| Labor input (workday) | 266.00 | 269.00 | 153.00 | 99.00 | 266.00 |
| Optimal agricultural income (CNY) | 16,753.84 | 20,160.52 | 11,932.89 | 6600.17 | 16,753.84 |
| Risk value (λ) | 839.01 * | 997.19 * | 962.42 * | 477.43 * | 839.01 * |
| Wheat (mu) | 0.00 | 0.00 | 0.00 | 0.00 | 0.00 |
| Corn (mu) | 0.00 | 1.00 | 0.00 | 0.00 | 0.00 |
| Peanut (mu) | 1.92 | 2.23 | 0.00 | 0.00 | 1.92 |
| Garlic (mu) | 1.92 | 2.23 | 1.43 | 0.61 | 1.92 |
| Honeysuckle (mu) | 1.92 | 2.23 | 1.43 | 0.61 | 1.92 |
| Chestnut (mu) | 1.92 | 2.23 | 1.89 | 1.72 | 1.92 |
Publisher’s Note: MDPI stays neutral with regard to jurisdictional claims in published maps and institutional affiliations. |
© 2022 by the authors. Licensee MDPI, Basel, Switzerland. This article is an open access article distributed under the terms and conditions of the Creative Commons Attribution (CC BY) license (https://creativecommons.org/licenses/by/4.0/).
Share and Cite
Yu, Y.; Wang, L.; Lin, J.; Li, Z. Optimizing Agricultural Input and Production for Different Types of at-Risk Peasant Households: An Empirical Study of Typical Counties in the Yimeng Mountain Area of Northern China. Int. J. Environ. Res. Public Health 2022, 19, 13938. https://doi.org/10.3390/ijerph192113938
Yu Y, Wang L, Lin J, Li Z. Optimizing Agricultural Input and Production for Different Types of at-Risk Peasant Households: An Empirical Study of Typical Counties in the Yimeng Mountain Area of Northern China. International Journal of Environmental Research and Public Health. 2022; 19(21):13938. https://doi.org/10.3390/ijerph192113938
Chicago/Turabian StyleYu, Yuanhe, Liang Wang, Jinkuo Lin, and Zijun Li. 2022. "Optimizing Agricultural Input and Production for Different Types of at-Risk Peasant Households: An Empirical Study of Typical Counties in the Yimeng Mountain Area of Northern China" International Journal of Environmental Research and Public Health 19, no. 21: 13938. https://doi.org/10.3390/ijerph192113938
APA StyleYu, Y., Wang, L., Lin, J., & Li, Z. (2022). Optimizing Agricultural Input and Production for Different Types of at-Risk Peasant Households: An Empirical Study of Typical Counties in the Yimeng Mountain Area of Northern China. International Journal of Environmental Research and Public Health, 19(21), 13938. https://doi.org/10.3390/ijerph192113938

