Stress Levels, Attitude toward Vaccination and Personal Protective Equipment of Students at Wroclaw Medical University during the COVID-19 Pandemic
Abstract
1. Introduction
- October/November/December 2020
- March/April 2021
- November/December 2021
- January/February 2022 [6]
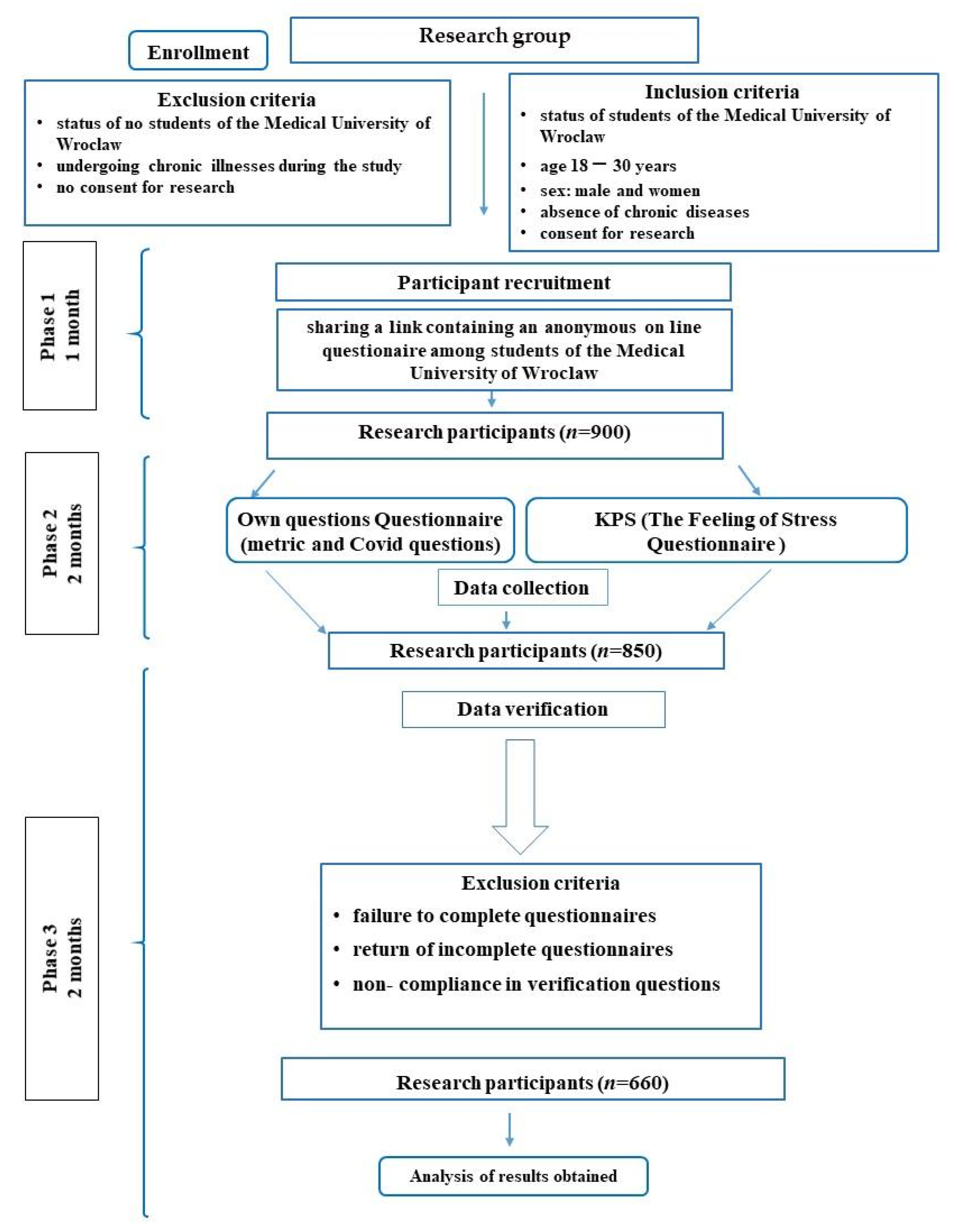
2. Materials and Methods
2.1. Study Design and Participants
2.2. The Feeling of Stress
2.3. Own Questions Questionnaires
2.4. Statistical Analysis
3. Results
- No vaccines/vaccination withholding in the “0” group (n = 33)
- Fear of vaccine side effects/complications (n = 13)
- Waiting for the vaccination date (n = 12)
- Cannot get vaccinated for health reasons—diseases that exclude vaccination (n = 8)
- Lack of confidence in vaccines (n = 5)
- Infected with COVID-19 on the scheduled vaccination date (n = 4)
- Do not feel the need to do so (n = 5)
- Did not register for the vaccination yet (n = 8)
4. Discussion
5. Conclusions
Author Contributions
Funding
Institutional Review Board Statement
Informed Consent Statement
Data Availability Statement
Acknowledgments
Conflicts of Interest
References
- WHO. Coronavirus Disease (COVID-19). Available online: https://www.who.int/health-topics/coronavirus#tab=tab_1 (accessed on 14 September 2022).
- WHO. WHO Director-General’s Opening Remarks at the Media Briefing on COVID-19—11 March 2020. Available online: https://www.who.int/director-general/speeches/detail/who-director-general-s-opening-remarks-at-the-media-briefing-on-covid-19---11-march-2020 (accessed on 14 September 2022).
- WHO. WHO Coronavirus (COVID-19) Dashboard. Available online: https://covid19.who.int/ (accessed on 14 September 2022).
- Królikowski, K.; Fiedur, M. Postępowanie Studentów w Zakresie Stosowania Środków Ochrony Osobistej w Okresie Pandemii Covid-19. Pol. J. Sustain. Dev. 2022, 25, 57–62. [Google Scholar] [CrossRef]
- Jabbari, P.; Taraghikhah, N.; Jabbari, F.; Ebrahimi, S.; Rezaei, N. Adherence of the General Public to Self-Protection Guidelines During the COVID-19 Pandemic. Disaster Med. Public Health Prep. 2022, 16, 871–874. [Google Scholar] [CrossRef] [PubMed]
- W Polsce Ruszyły Szczepienia Przeciw COVID-19—„to Historyczny Moment”. Available online: https://www.gov.pl/web/szczepimysie/w-polsce-ruszyly-szczepienia-przeciw-covid-19--to-historyczny-moment (accessed on 14 September 2022).
- Od 9 Do 29 Listopada—Konieczne Maksymalne Przejście Na Naukę i Pracę Zdalną w Uczelniach. Available online: https://www.gov.pl/web/edukacja-i-nauka/od-9-do-29-listopada--konieczne-maksymalne-przejscie-na-nauke-i-prace-zdalna-w-uczelniach (accessed on 14 September 2022).
- 77% of Europeans Insist EU Funds Be Linked to Respect for Rule of Law. Available online: https://www.europarl.europa.eu/news/en/press-room/20201016IPR89545/77-of-europeans-insist-eu-funds-be-linked-to-respect-for-rule-of-law (accessed on 30 August 2022).
- Roy, D.; Tripathy, S.; Kar, S.K.; Sharma, N.; Verma, S.K.; Kaushal, V. Study of Knowledge, Attitude, Anxiety & Perceived Mental Healthcare Need in Indian Population during COVID-19 Pandemic. Asian J. Psychiatr. 2020, 51, 102083. [Google Scholar] [CrossRef] [PubMed]
- Cooke, J.E.; Eirich, R.; Racine, N.; Madigan, S. Prevalence of Posttraumatic and General Psychological Stress during COVID-19: A Rapid Review and Meta-Analysis. Psychiatry Res. 2020, 292, 113347. [Google Scholar] [CrossRef]
- Rabiu Abubakar, A.; Tor, M.A.; Ogidigo, J.; Sani, I.H.; Rowaiye, A.B.; Ramalan, M.A.; Najib, S.Y.; Danbala, A.; Adamu, F.; Abdullah, A.; et al. Challenges and Implications of the COVID-19 Pandemic on Mental Health: A Systematic Review. Psych 2022, 4, 435–464. [Google Scholar] [CrossRef]
- Alonso-Prieto, E.; Longstaff, H.; Black, A.; Virani, A.K. COVID-19 Outbreak: Understanding Moral-Distress Experiences Faced by Healthcare Workers in British Columbia, Canada. Int. J. Environ. Res. Public Health 2022, 19, 9701. [Google Scholar] [CrossRef]
- Bonneville-Roussy, A.; Evans, P.; Verner-Filion, J.; Vallerand, R.J.; Bouffard, T. Motivation and Coping with the Stress of Assessment: Gender Differences in Outcomes for University Students. Contemp. Educ. Psychol. 2017, 48, 28–42. [Google Scholar] [CrossRef]
- Huang, Y.; Zhao, N. Generalized Anxiety Disorder, Depressive Symptoms and Sleep Quality during COVID-19 Outbreak in China: A Web-Based Cross-Sectional Survey. Psychiatry Res. 2020, 288, 112954. [Google Scholar] [CrossRef]
- Shpakou, A.; Krajewska-Kułak, E.; Cybulski, M.; Seredocha, I.; Tałaj, A.; Andryszczyk, M.; Kleszczewska, E.; Szafranek, A.; Modzelewska, B.; Naumau, I.A.; et al. Stress Perception and Coping Strategies of Students on Both Sides of the EU’s Eastern Border during the COVID-19 Pandemic. Int. J. Environ. Res. Public Health 2022, 19, 10275. [Google Scholar] [CrossRef]
- Aslan, I.; Ochnik, D.; Çınar, O. Exploring Perceived Stress among Students in Turkey during the COVID-19 Pandemic. Int. J. Environ. Res. Public Health 2020, 17, 8961. [Google Scholar] [CrossRef]
- Han, S.-S.; Li, B.; Ke, Y.-Z.; Wang, G.-X.; Meng, S.-Q.; Li, Y.-X.; Cui, Z.-L.; Tong, W.-X. Chinese College Students’ Physical-Exercise Behavior, Negative Emotions, and Their Correlation during the COVID-19 Outbreak. Int. J. Environ. Res. Public Health 2022, 19, 10344. [Google Scholar] [CrossRef] [PubMed]
- Martínez-Mesa, J.; González-Chica, D.A.; Duquia, R.P.; Bonamigo, R.R.; Bastos, J.L. Sampling: How to Select Participants in My Research Study? An. Bras. Dermatol. 2016, 91, 326–330. [Google Scholar] [CrossRef] [PubMed]
- Plopa, M.; Makarowski, R. Kwestionariusz Poczucia Stresu; Pracownia Testów Psychologicznych PTP: Warszawa, Poland, 2010. [Google Scholar]
- Meo, S.A.; Abukhalaf, D.A.A.; Alomar, A.A.; Sattar, K.; Klonoff, D.C. COVID-19 Pandemic: Impact of Quarantine on Medical Students’ Mental Wellbeing and Learning Behaviors. Pak. J. Med. Sci. 2020, 36, S43–S48. [Google Scholar] [CrossRef] [PubMed]
- Zalc, J.; Maillard, R. Uncertainty/eu/hope public opinion in times of COVID-19 Third Round. Available online: https://www.europarl.europa.eu/at-your-service/files/be-heard/eurobarometer/2020/public_opinion_in_the_eu_in_time_of_coronavirus_crisis_3/en-covid19-survey3-report.pdf (accessed on 14 September 2022).
- Ode, J.J.; Pivarnik, J.M.; Reeves, M.J.; Knous, J.L. Body Mass Index as a Predictor of Percent Fat in College Athletes and Nonathletes. Med. Sci. Sports Exerc. 2007, 39, 403–409. [Google Scholar] [CrossRef]
- Kreitler, S.; Kreitler, H. Repression and the Anxiety-Defensiveness Factor: Psychological Correlates and Manifestations. Pers. Individ. Dif. 1990, 11, 559–570. [Google Scholar] [CrossRef]
- Florczak, A. Mechanisms and problems of somatosphere and psychosphere of health safety. Bezpieczeństwie Obron. 2015, 1, 58–71. [Google Scholar]
- Kraczla, M. Wypalenie zawodowe jako efekt długotrwałego stresu. Zesz. Nauk. Wyzṡzej Szkoły Humanit. Zarządzanie 2013, 2, 69–81. [Google Scholar]
- Ishak, W.; Nikravesh, R.; Lederer, S.; Perry, R.; Ogunyemi, D.; Bernstein, C. Burnout in Medical Students: A Systematic Review. Clin. Teach. 2013, 10, 242–245. [Google Scholar] [CrossRef]
- Ishak, W.W.; Lederer, S.; Mandili, C.; Nikravesh, R.; Seligman, L.; Vasa, M.; Ogunyemi, D.; Bernstein, C.A. Burnout during Residency Training: A Literature Review. J. Grad. Med. Educ. 2009, 1, 236–242. [Google Scholar] [CrossRef]
- Łoza, O. Porównanie Zespołu Wypalenia u Studentów Dwóch Uniwersytetów Medycznych. Psychiatria 2015, 12, 108–112. [Google Scholar]
- Blendon, R.J.; Benson, J.M.; DesRoches, C.M.; Raleigh, E.; Taylor-Clark, K. The Public’s Response to Severe Acute Respiratory Syndrome in Toronto and the United States. Clin. Infect. Dis. 2004, 38, 925–931. [Google Scholar] [CrossRef] [PubMed]
- Braunack-Mayer, A.; Tooher, R.; Collins, J.E.; Street, J.M.; Marshall, H. Understanding the School Community’s Response to School Closures during the H1N1 2009 Influenza Pandemic. BMC Public Health 2013, 13, 344. [Google Scholar] [CrossRef] [PubMed]
- Cava, M.A.; Fay, K.E.; Beanlands, H.J.; McCay, E.A.; Wignall, R. The Experience of Quarantine for Individuals Affected by SARS in Toronto. Public Health Nurs. 2005, 22, 398–406. [Google Scholar] [CrossRef] [PubMed]
- Reynolds, D.L.; Garay, J.R.; Deamond, S.L.; Moran, M.K.; Gold, W.; Styra, R. Understanding, Compliance and Psychological Impact of the SARS Quarantine Experience. Epidemiol. Infect. 2008, 136, 997–1007. [Google Scholar] [CrossRef] [PubMed]
- Sani, G.; Janiri, D.; di Nicola, M.; Janiri, L.; Ferretti, S.; Chieffo, D. Mental Health during and after the COVID -19 Emergency in Italy. Psychiatry Clin. Neurosci. 2020, 74, 372. [Google Scholar] [CrossRef]
- Wilken, J.A.; Pordell, P.; Goode, B.; Jarteh, R.; Miller, Z.; Saygar, B.G.; Maximore, L.; Borbor, W.M.; Carmue, M.; Walker, G.W.; et al. Knowledge, Attitudes, and Practices among Members of Households Actively Monitored or Quarantined to Prevent Transmission of Ebola Virus Disease—Margibi County, Liberia: February-March 2015. Prehosp. Disaster Med. 2017, 32, 673–678. [Google Scholar] [CrossRef]
- Zammuner, V.L. Italians’ Social and Emotional Loneliness: The Results of Five Studies. Int. J. Educ. Pedagog. Sci. 2008, 2, 416–428. [Google Scholar]
- McHugh, J.E.; Lawlor, B.A. Perceived Stress Mediates the Relationship between Emotional Loneliness and Sleep Quality over Time in Older Adults. Br. J. Health Psychol. 2013, 18, 546–555. [Google Scholar] [CrossRef]
- Wilson, R.S.; Krueger, K.R.; Arnold, S.E.; Schneider, J.A.; Kelly, J.F.; Barnes, L.L.; Tang, Y.; Bennett, D.A. Loneliness and Risk of Alzheimer Disease. Arch. Gen. Psychiatry 2007, 64, 234. [Google Scholar] [CrossRef]
- Hegberg, N.J.; Tone, E.B. Physical Activity and Stress Resilience: Considering Those at-Risk for Developing Mental Health Problems. Ment. Health Phys. Act. 2015, 8, 1–7. [Google Scholar] [CrossRef]

| Variables | Total, n = 660 (%) |
|---|---|
| Gender | |
| Male | 136 (20.6) |
| Female | 524 (79.4) |
| Place of residence | |
| Rural area | 196 (29.7) |
| City < 20,000 * | 60 (9.1) |
| City 20,000–50,000 * | 73 (11.1) |
| City 50,000–100,000 * | 73 (11.1) |
| City 100,000–500,000 * | 55 (8.3) |
| City 500,000+ * | 203 (30.8) |
| BMI | |
| Underweight (<17) | 12 (1.8) |
| Underweight (17–18.49) | 51 (7.7) |
| Normal (18.5–24.99) | 494 (74.8) |
| Overweight (25–29.99) | 86 (13.0) |
| Obesity (>30) | 17 (2.6) |
| Recovered from COVID-19 | |
| Yes | 115 (17.4) |
| No | 545 (82.6) |
| Vaccinated against COVID-19 | |
| Yes | 391 (59.2) |
| No | 269 (40.8) |
| Impact of the pandemic on well-being | |
| Positive | 22 (3.3) |
| Negative | 316 (47.9) |
| None | 47 (7.1) |
| Hard to decide | 275 (41.7) |
| Mental condition | |
| I feel the same | 149 (22.6) |
| I feel lonely | 62 (9.4) |
| I feel anxious | 31 (4.7) |
| I am more stressed | 81 (12.3) |
| I cannot function | 43 (6.5) |
| I am overwhelmed | 248 (37.6) |
| I feel happy | 46 (7.0) |
| Faculty | Total, n = 660 (% **) | Male, n = 136 (% *) | Female, n = 524 (% *) | Vaccinated, n = 391 (% *) | Unvaccinated n = 269 (% *) |
|---|---|---|---|---|---|
| Medical laboratory | 27 (4.1) | 5 (18.5) | 22 (81.5) | 13 (50.0) | 13 (50.0) |
| Dietetics | 36 (5.5) | 2 (5.6) | 34 (94.4) | 11 (30.6) | 25 (69.4) |
| Pharmacy | 113 (17.1) | 25 (22.1) | 88 (77.9) | 62 (54.9) | 51 (45.1) |
| Physiotherapy | 72 (10.9) | 18 (25.0) | 54 (75.0) | 36 (50.0) | 36 (50.0) |
| Medicine | 187 (28.3) | 57 (30.5) | 130 (69.5) | 157 (84.0) | 30 (16.0) |
| Dentistry | 24 (3.6) | 8 (33.3) | 16 (66.7) | 16 (66.7) | 8 (33.3) |
| Nursing | 128 (19.4) | 11 (8.6) | 117 (91.4) | 72 (56.3) | 56 (43.8) |
| Midwifery | 26 (3.9) | 0 (0.0) | 26 (100.0) | 12 (46.2) | 14 (53.8) |
| Paramedic | 24 (3.6) | 8 (33.3) | 16 (66.7) | 8 (33.3) | 16 (66.7) |
| Public health | 23 (3.5) | 2 (8.7) | 21 (91.3) | 4 (17.4) | 19 (82.6) |
| Variables | E.T. | E.S. | I.S. | L.S. | O.S. |
|---|---|---|---|---|---|
| Total sample | 4.36 (±1.96) | 5.35 (±2.01) | 4.83 (±2.14) | 4.13 (±2.43) | 4.80 (±1.98) |
| Gender | |||||
| Male | 4.90 (±2.14) | 5.63 (±1.95) | 5.52 (±2.05) | 5.02 (±2.42) | 5.35 (±1.99) |
| Female | 4.22 (±1.89) | 5.28 (±2.02) | 4.65 (±2.13) | 3.90 (±2.38) | 4.66 (±1.96) |
| p Value * | p = 0.0004 | p = 0.058 | p < 0.0001 | p < 0.0001 | p = 0.0002 |
| Faculty | |||||
| Medical laboratory | 4.00 (±1.33) | 4.89 (±2.03) | 3.78 (±1.89) | 3.44 (±2.71) | 4.11 (±1.67) |
| Dietetics | 4.78 (±2.02) | 5.97 (±1.78) | 5.22 (±1.79) | 3.69 (±2.69) | 5.31 (±1.77) |
| Pharmacy | 4.37 (±1.98) | 5.40 (±2.04) | 4.90 (±2.11) | 4.12 (±2.49) | 4.86 (±2.03) |
| Physiotherapy | 4.26 (±2.01) | 5.49 (±1.86) | 4.71 (±2.25) | 4.10 (±2.43) | 4.83 (±1.90) |
| Medicine | 4.37 (±2.00) | 5.40 (±2.11) | 5.06 (±2.14) | 4.26 (±2.57) | 4.93 (±2.05) |
| Dentistry | 4.71 (±1.90) | 5.04 (±2.16) | 5.71 (±2.12) | 4.92 (±2.39) | 5.17 (±2.08) |
| Nursing | 4.11 (±1.89) | 5.10 (±1.99) | 4.41 (±2.11) | 4.01 (±2.15) | 4.41 (±1.90) |
| Midwifery | 4.50 (±1.63) | 5.46 (±1.82) | 4.69 (±1.78) | 4.04 (±2.41) | 4.85 (±1.62) |
| Paramedic | 4.33 (±2.04) | 5.42 (±1.84) | 4.92 (±1.86) | 5.08 (±2.45) | 4.83 (±1.95) |
| Public health | 5.09 (±2.54) | 5.48 (±2.15) | 5.13 (±2.80) | 3.61 (±2.02) | 5.17 (±2.61) |
| p Value ** | p = 0.60 | p = 0.55 | p = 0.009 | p = 0.15 | p = 0.15 |
| BMI | |||||
| Underweight (<17) | 4.00 (±2.17) | 4.50 (±2.07) | 4.08 (±2.68) | 3.75 (±2.26) | 4.08 (±2.31) |
| Underweight (17–18.4) | 4.59 (±1.97) | 5.33 (±2.11) | 5.02 (±2.70) | 3.24 (±2.40) | 4.94 (±1.87) |
| Normal (18.5–24.9) | 4.35 (±1.94) | 5.46 (±1.97) | 4.90 (±2.13) | 4.11 (±2.39) | 4.87 (±1.97) |
| Overweight (25–29.9) | 4.22 (±1.88) | 5.02 (±2.08) | 4.52 (±2.05) | 4.71 (±2.44) | 4.51 (±1.96) |
| Obesity (>30) | 4.65 (±2.74) | 4.53 (±2.07) | 4.24 (±2.19) | 4.88 (±2.91) | 4.41 (±2.37) |
| p Value ** | p = 0.79 | p = 0.08 | p = 0.22 | p = 0.0054 | p = 0.32 |
| Recovered from COVID-19 | |||||
| Yes | 4.13 (±1.91) | 5.15 (±2.19) | 4.87 (±2.08) | 4.59 (±2.29) | 4.64 (±2.12) |
| No | 4.40 (±1.97) | 5.40 (±1.97) | 4.82 (±2.15) | 4.04 (±2.45) | 4.84 (±1.95) |
| p Value * | p = 0.10 | p = 0.15 | p = 0.40 | p = 0.0054 | p = 0.21 |
| Vaccinated against COVID-19 | |||||
| Yes | 4.34 (±1.99) | 5.21 (±2.04) | 4.71 (±2.12) | 4.22 (±2.47) | 4.71 (±2.00) |
| No | 4.39 (±1.92) | 5.56 (±1.95) | 5.01 (±2.16) | 4.01 (±2.35) | 4.94 (±1.96) |
| p Value * | p = 0.38 | p = 0.014 | p = 0.04 | p = 0.17 | p = 0.08 |
| Mental condition | |||||
| I feel the same | 5.40 (±1.92) | 6.04 (±1.93) | 5.84 (±2.09) | 3.80 (±2.17) | 5.84 (±1.90) |
| I feel lonely | 4.02 (±1.65) | 4.97 (±1.96) | 4.15 (±1.97) | 4.32 (±2.47) | 4.34 (±1.82) |
| I feel anxious | 4.10 (±1.92) | 5.45 (±1.69) | 4.19 (±1.90) | 4.06 (±2.41) | 4.42 (±1.59) |
| I am more stressed | 3.73 (±1.80) | 5.12 (±2.01) | 4.41 (±2.19) | 4.37 (±2.38) | 4.31 (±1.94) |
| I cannot function | 3.26 (±1.73) | 4.42 (±1.83) | 3.74 (±1.88) | 4.44 (±2.76) | 3.63 (±1.70) |
| I am overwhelmed | 4.06 (±1.82) | 5.16 (±2.00) | 4.65 (±1.97) | 4.17 (±2.45) | 5.45 (±1.88) |
| I feel happy | 5.33 (±2.06) | 5.93 (±2.04) | 5.70 (±2.24) | 4.15 (±2.78) | 5.70 (±1.98) |
| p Value ** | p < 0.0001 | p < 0.0001 | p < 0.0001 | p = 0.59 | p < 0.0001 |
| Impact of the pandemic on well-being | |||||
| Positive | 5.14 (±1.83) | 5.32 (±2.03) | 5.36 (±2.06) | 4.64 (±2.68) | 5.23 (±1.82) |
| Negative | 3.80 (±1.81) | 4.98 (±2.06) | 4.35 (±2.11) | 4.39 (±2.50) | 4.29 (±1.94) |
| None | 5.53 (±2.00) | 6.17 (±2.09) | 5.83 (±2.27) | 3.68 (±2.35) | 5.94 (±1.99) |
| Hard to decide | 4.73 (±1.94) | 5.65 (±1.85) | 5.17 (±2.03) | 3.88 (±2.30) | 5.16 (±1.88) |
| p Value ** | p < 0.0001 | p < 0.0001 | p < 0.0001 | p = 0.04 | p < 0.0001 |
| Variable | Total, n = 660 (%) | |
|---|---|---|
| PPE form | ||
| Washing hands | 652 (98.9) | |
| Using hand sanitizers | 579 (87.7) | |
| Using face mask outside the home | 648 (98.2) | |
| Using gloves outside the home | 99 (13.3) | |
| Using goggles | 4 (0.6) | |
| Using gloves inside the home | 4 (0.6) | |
| Using face mask inside the home | 7 (1.1) | |
| I do not use any | 0 (0.0) | |
| Differences between faculties | Hand sanitizers, n = 579 (% *) | Gloves, n = 99 (% *) |
| Medical laboratory | 26 (96.3) | 7 (25.9) |
| Dietetics | 29 (80.6) | 2 (5.6) |
| Pharmacy | 100 (88.5) | 17 (15.0) |
| Physiotherapy | 57 (79.2) | 6 (8.3) |
| Medicine | 160 (85.6) | 29 (15.5) |
| Dentistry | 22 (91.7) | 2 (8.3) |
| Nursing | 120 (93.8) | 16 (12.5) |
| Midwifery | 25 (96.2) | 0 (0.0) |
| Paramedic | 22 (91.7) | 4 (16.7) |
| Public health | 18 (78.3) | 5 (21.7) |
| Variables | E.T. | E.S. | I.S. | L.S. | O.S. |
|---|---|---|---|---|---|
| Hand sanitizers | |||||
| Using (n = 579) | 4.33 (±1.95) | 5.31 (±2.00) | 4.78 (±2.11) | 4.05 (±2.43) | 4.76 (±1.97) |
| Not using (n = 81) | 4.57 (±2.07) | 5.64 (±2.08) | 5.20 (±2.28) | 4.75 (±2.30) | 5.14 (±2.02) |
| p Value * | p = 0.44 | p = 0.08 | p = 0.12 | p = 0.048 | p = 0.16 |
| Gloves | |||||
| Using (n = 88) | 4.31 (±1.93) | 5.05 (±1.99) | 4.55 (±2.11) | 3.80 (±2.47) | 4.58 (±2.03) |
| Not using (n = 572) | 4.36 (±1.97) | 5.40 (±2.01) | 4.88 (±2.14) | 4.19 (±2.42) | 4.84 (±1.97) |
| p Value * | p = 0.15 | p = 0.054 | p = 0.053 | p = 0.0039 | p = 0.049 |
| Variables | E.T. | E.S. | I.S. | L.S. | O.S. |
|---|---|---|---|---|---|
| Academic year of medical faculty | |||||
| 1st year (n = 150) | 4.25 (±2.08) | 5.19 (±2.13) | 4.95 (±2.09) | 4.26 (±2.63) | 4.76 (±2.09) |
| 2nd year (n = 37) | 4.86 (±1.58) | 6.24 (±1.80) | 5.54 (±2.28) | 4.24 (±2.36) | 5.59 (±1.74) |
| p Value * | p = 0.028 | p = 0.004 | p = 0.09 | p = 0.38 | p = 0.017 |
| Gender on medical faculty | |||||
| Male (n = 57) | 4.79 (±1.93) | 5.51 (±1.98) | 5.54 (±2.00) | 5.07 (±2.48) | 5.06 (±2.26) |
| Female (n = 130) | 4.18 (±2.01) | 5.35 (±2.16) | 4.85 (±2.17) | 3.90 (±2.54) | 5.30 (±1.87) |
| p Value * | p = 0.024 | p = 0.34 | p = 0.028 | p = 0.001 | p = 0.05 |
| Variables | E.T. | E.S. | I.S. | L.S. | O.S. |
|---|---|---|---|---|---|
| Exercise (n = 119) | 4.51 (±1.95) | 5.46 (±2.00) | 4.97 (±2.14) | 4.09 (±2.44) | 4.95 (±1.97) |
| Do not exercise (n = 541) | 3.67 (±1.86) | 4.89 (±1.98) | 4.20 (±1.98) | 4.34 (±2.34) | 4.15 (±1.92) |
| p Value * | p < 0.0001 | p = 0.003 | p = 0.0002 | p = 0.11 | p < 0.0001 |
Publisher’s Note: MDPI stays neutral with regard to jurisdictional claims in published maps and institutional affiliations. |
© 2022 by the authors. Licensee MDPI, Basel, Switzerland. This article is an open access article distributed under the terms and conditions of the Creative Commons Attribution (CC BY) license (https://creativecommons.org/licenses/by/4.0/).
Share and Cite
Kosendiak, A.A.; Adamczak, B.; Bania, J.; Kontek, S. Stress Levels, Attitude toward Vaccination and Personal Protective Equipment of Students at Wroclaw Medical University during the COVID-19 Pandemic. Int. J. Environ. Res. Public Health 2022, 19, 13860. https://doi.org/10.3390/ijerph192113860
Kosendiak AA, Adamczak B, Bania J, Kontek S. Stress Levels, Attitude toward Vaccination and Personal Protective Equipment of Students at Wroclaw Medical University during the COVID-19 Pandemic. International Journal of Environmental Research and Public Health. 2022; 19(21):13860. https://doi.org/10.3390/ijerph192113860
Chicago/Turabian StyleKosendiak, Aureliusz Andrzej, Bartosz Adamczak, Julia Bania, and Sylwiusz Kontek. 2022. "Stress Levels, Attitude toward Vaccination and Personal Protective Equipment of Students at Wroclaw Medical University during the COVID-19 Pandemic" International Journal of Environmental Research and Public Health 19, no. 21: 13860. https://doi.org/10.3390/ijerph192113860
APA StyleKosendiak, A. A., Adamczak, B., Bania, J., & Kontek, S. (2022). Stress Levels, Attitude toward Vaccination and Personal Protective Equipment of Students at Wroclaw Medical University during the COVID-19 Pandemic. International Journal of Environmental Research and Public Health, 19(21), 13860. https://doi.org/10.3390/ijerph192113860

