Challenges in Predicting the Change in the Cumulative Exposure of New Tobacco and Related Products Based on Emissions and Toxicity Dose–Response Data
Abstract
:1. Introduction
2. Extending the CCE Method for Carcinogenicity
- •
- Non-targeted screening studies on the composition of emissions need to be conducted for novel TRPs to obtain information on the compounds and their quantities in these emissions;
- •
- After selecting compounds from the non-targeted studies based on quantity and hazard, harmonized and replicated measurements of the concentrations of TRP emissions need to be conducted, in tandem with those in a reference cigarette, to allow reliable comparison;
- •
- More carcinogenicity data via the inhalation route are required for compounds present in novel TRPs and/or in cigarettes, especially for chemicals with high concentrations in emissions in either of them. Data from 2-year carcinogenicity studies could serve this need, but other in vivo dose–response data could also be used if the endpoint can be considered predictive of cancer, such as micronucleus effects [20];
- •
- Efforts should be made to investigate how the outcomes of such in vivo assays relate to their in vitro equivalents (e.g., [21]), and whether in vitro assays could also provide approximate estimates of the relative potencies, possibly adjusted by information on kinetics and dynamics. Such in vitro information could be obtained for less effort and cost, and is preferred from an ethical viewpoint compared with in vivo carcinogenicity or micronucleus studies.
3. CCE Method for Non-Carcinogenicity
- •
- Better use of in vivo data obtained in other legislative frameworks should be made possible to allow their use for other purposes. Disease models are not part of the standard data requirements of chemical legislation, such as REACH, but the in vivo micronucleus test, 90-day toxicity study, the prenatal development study, and the reproductive toxicity/developmental screening study are. Therefore, studies with compounds present in tobacco emissions may be available in the REACH database (International Uniform ChemicaL Information Database, IUCLID) or may become available in the (near) future, although it must be noted that the oral route is preferred within this legislative framework [41], whereas the inhalation route is more relevant for TRP emission exposure;
- •
- Substantial efforts are needed to develop and validate in vitro assays for tobacco product-associated non-cancer diseases.
4. CCE Method for Multiple Effects
5. Discussion
6. Conclusions
Author Contributions
Funding
Informed Consent Statement
Data Availability Statement
Acknowledgments
Conflicts of Interest
Abbreviations
| BMD | Bench-Mark Dose |
| CCE | Change in Cumulative Exposure |
| COPD | Chronic Obstructive Pulmonary Disease |
| EFSA | European Food Safety Authority |
| FDA | U.S. Food and Drug Administration |
| HI | Hazard Index |
| HPHC | Hazardous or Potentially Hazardous Compounds |
| HTP | Heated Tobacco Products |
| IUCLID | International Uniform ChemicaL Information Database |
| MAF | Mixture Assessment Factor |
| NOAEL | No-Observed Adverse Effect Level |
| NTP | US National Toxicology Program |
| RAAF | Read-Across Assessment Framework |
| REACH | Registration Evaluation Authorisation and Restriction of Chemicals Regulation |
| RPF | Relative Potency Factor |
| TPD | Tobacco Products Directive |
| TRP | Tobacco and Related Products |
| TTC | Threshold of Toxicological Concern |
| WHO | World Health Organization |
Appendix A. Relative Potency Factor Analysis for Non-Carcinogenic Adverse Health Effects
Appendix A.1. Introduction
Relative Potency Factors
Appendix A.2. Materials and Methods
Appendix A.2.1. Data Selection
| Compound | NTP Nr. | Species | Route | 90-Day Study Available? | Relative Organ Weights | Emission Data? | Source * |
|---|---|---|---|---|---|---|---|
| o-Cresol | TOX 9 | Rat and mouse | Feed | Yes | Liver, kidney, and thymus | Yes | Schaller/ St. Helen/ Forster |
| 1,3-Butadiene | TR 434 | Mouse | Inhalation | No | - | Yes | Schaller/ St. Helen/ Forster |
| 2,3-Butanedione | TR 593 | Rat and mouse | Inhalation | Yes | Liver, kidney, and thymus | Yes | Forster |
| 2,6-Dimethylanaline | TR 278 | Rat | Gavage | Yes | Liver | Yes | Forster |
| Acetone | TOX 3 | Rat | Water | Yes | Liver and kidney | Yes | Schaller/ St. Helen/ Forster |
| Acrolein | TOX 48 | Rat and mouse | Gavage | Yes | Liver, kidney, and thymus | Yes | Schaller/ St. Helen/ Forster |
| Acrylamide | TR 575 | Rat and mouse | Drinking water or feed | Yes | Liver | Yes | Schaller/ St. Helen/ Forster |
| Acrylonitrile | TR 506 | Mouse | Gavage | Yes | Liver, kidney, and thymus | Yes | Schaller/ St. Helen/ Forster |
| Allyl alcohol | TOX 48 | Rat and mouse | Gavage | Yes | Liver, kidney, and thymus | Yes | Forster |
| Benzene | TR 289 | Rat | Gavage | No | - | Yes | Schaller/ St. Helen/ Forster |
| Benzo(b)furan | TR 370 | Rat and mouse | Gavage | Yes | None | Yes | Forster |
| Benzyl alcohol | TR 343 | Rat and mouse | Gavage | Yes | None | Yes | St. Helen |
| Butyrolactone | TR 406 | Rat and mouse | Gavage | Yes | Liver, kidney, and thymus | Yes | St. Helen |
| Cadmium oxide | TOX 39 | Rat and mouse | Inhalation | Yes | Liver, kidney, and thymus | Yes | Schaller/ St. Helen/ Forster |
| Chromium | TR 546/TOX 72 | Rat and mouse | Drinking water | Yes | Liver, kidney, and thymus | Yes | Schaller/ St. Helen/ Forster |
| Cobalt | TR 581 | Rat and mouse | Inhalation | Yes | Liver, kidney, and thymus | Yes | Schaller/ Forster |
| Copper | TOX 29 | Rat and mouse | Drinking water and feed | Yes | Liver, kidney, and thymus | Yes | Schaller/ Forster |
| Ethyl carbamate | TR 510/ TOX 52 | Rat and mouse | Drinking water | Yes | Liver, kidney, and thymus | Yes | Forster |
| Ethyl benzene | TR 466/ TOX 10 | Rat and mouse | Inhalation | Yes | Liver, kidney | Yes | Forster |
| Ethylene glycol | TR 413 | Mouse | Feed | Yes | Liver, kidney, and thymus | Yes | Forster |
| Ethylene oxide | TR 326 | Mouse | Inhalation | Yes | Liver | Yes | Schaller/ St. Helen/ Forster |
| Furan | TR 402 | Rat and mouse | Gavage | Yes | Liver, kidney, and thymus | Yes | Forster |
| Furfural | TR 382 | Rat and mouse | Gavage | Yes | Liver, kidney, and thymus | Yes | St. Helen |
| Glycidol | TR 374 | Rat and mouse | Gavage | Yes | None | Yes | St. Helen/ Forster |
| Hydroquinone | TR 366 | Mouse | Gavage | Yes | Liver | Yes | Schaller/ St. Helen/ Forster |
| Isobutyraldehyde | TR 472 | Rat and mouse | Inhalation | Yes | Liver, kidney, and thymus | Yes | Schaller/ Forster |
| Isoprene | TOX 31 | Rat and mouse | Inhalation | Yes | Liver, kidney, and thymus | Yes | Schaller/ St. Helen/ Foster |
| Naphthalene | TR 500/TR 410 | Rat and mouse | Inhalation | No | - | Yes | Forster |
| Nickel oxide | TR 451 | Rat and mouse | Inhalation | Yes | Liver, kidney, and thymus | Yes | Schaller/ St. Helen/ Forster |
| Nitromethane | TR 461 | Rat and mouse | Inhalation | Yes | Liver, kidney, and thymus | Yes | Forster |
| Toluene | TR 371 | Mouse | Inhalation and gavage | Yes | Liver, kidney | Yes | Schaller/Forster |
| Phenol | TR 203 | Rat and mouse | Drinking water | Yes | None | Yes | Schaller/ St. Helen/ Forster |
| Propylene oxide | TR 267 | Rat and mouse | Inhalation | Yes | None | Yes | Schaller/ St. Helen/ Forster |
| Pyridine | TR 470 | Rat and mouse | Drinking water | Yes | Liver, kidney, and thymus | Yes | Schaller/ St. Helen/ Forster |
| Resorcinol | TR 403 | Rat and mouse | Gavage | Yes | Liver, kidney, and thymus | Yes | Schaller/ Forster |
| Styrene | TR 185 | Rat and mouse | Gavage | Yes | None | Yes | Schaller/ St. Helen/ Forster |
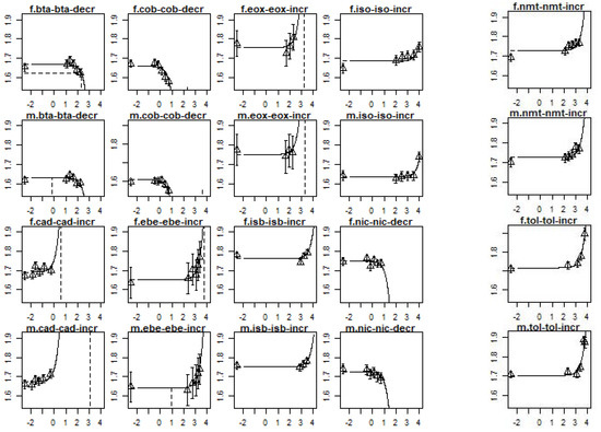
Appendix A.2.2. Dose–Response Modelling

| Compound | Abbreviation | RPF | LB CI | UB CI |
|---|---|---|---|---|
| 2,3-Butanedione | bta | 5.3 | 3.3 | 8.9 |
| Cadmium oxide | cad | 1600 | 790 | 2800 |
| Cobalt | cob | 300 | 210 | 480 |
| Ethyl benzene (IC) | ebe | 1 | ||
| Ethylene oxide | eox | 5.1 | 0 | 12 |
| Isobutyraldehyde | isb | 0.28 | 0.16 | 0.48 |
| Isoprene | iso | 0.20 | 0.14 | 0.32 |
| Nickel oxide | nic | 130 | 51 | 240 |
| Nitromethane | nmt | 0.69 | 0.45 | 1.1 |
| Toluene | tol | 0.58 | 0.43 | 0.93 |

| Compound | Compound Abbreviation | RPF | LB CI | UB CI |
|---|---|---|---|---|
| 2,3-Butanedione | bta | 56 | 48 | 68 |
| 1,3-Butadiene (IC) | but | 1 | ||
| Cadmium oxide | cad | 1600 | 0 | 4700 |
| Cobalt | cob | 1200 | 920 | 1500 |
| Ethylbenzene | ebe | 0.47 | 0 | 1.5 |
| Ethylene oxide | eox | 5.0 | 0 | 31 |
| Isobutyraldehyde | isb | 0.22 | 0 | 0.73 |
| Isoprene | iso | 0.20 | 0.045 | 0.35 |
| Nickel oxide | nic | 460 | 160 | 750 |
| Nitromethane | nmt | 1.2 | 0.55 | 1.7 |
| Propylene oxide | prp | 9.0 | 7.0 | 11 |
| Toluene | tol | 0.19 | 0 | 0.50 |
Appendix A.2.3. Difference in Potency between Rats and Mice
Appendix A.3. Results
Appendix A.3.1. Relative Potency Factors Based on Relative Organ Weight (Liver, Kidney, and Thymus)
Appendix A.3.2. Relative Potency Factors Based on Body Weight
Appendix A.4. Conclusions
References
- Li, L.; Borland, R.; Cummings, K.M.; Gravely, S.; Quah, A.C.K.; Fong, G.T.; Miller, C.R.; Goniewicz, M.L.; Le Grande, M.; McNeill, A. Patterns of non-cigarette tobacco and nicotine use among current cigarette smokers and recent quitters: Findings from the 2020 ITC Four Country Smoking and Vaping Survey. Nicotine Tob. Res. 2021, 23, 1611–1616. [Google Scholar] [CrossRef] [PubMed]
- Czoli, C.D.; Fong, G.T.; Mays, D.; Hammond, D. How do consumers perceive differences in risk across nicotine products? A review of relative risk perceptions across smokeless tobacco, e-cigarettes, nicotine replacement therapy and combustible cigarettes. Tob. Control 2017, 26, e49–e58. [Google Scholar] [CrossRef] [PubMed]
- Bialous, S.A.; Glantz, S.A. Heated tobacco products: Another tobacco industry global strategy to slow progress in tobacco control. Tob. Control 2018, 27 (Suppl. S1), s111–s117. [Google Scholar] [CrossRef] [PubMed] [Green Version]
- Ratajczak, A.; Jankowski, P.; Strus, P.; Feleszko, W. Heat Not Burn Tobacco Product-A New Global Trend: Impact of Heat-Not-Burn Tobacco Products on Public Health, a Systematic Review. Int. J. Environ. Res. Public Health 2020, 17, 409. [Google Scholar] [CrossRef] [Green Version]
- Plurphanswat, N.; Hughes, J.R.; Fagerstrom, K.; Rodu, B. Initial Information on a Novel Nicotine Product. Am. J. Addict. 2020, 29, 279–286. [Google Scholar] [CrossRef]
- Jankowski, M.; Brożek, G.M.; Lawson, J.; Skoczyński, S.; Majek, P.; Zejda, J.E. New ideas, old problems? Heated tobacco products—a systematic review. Int. J. Occup. Med. Environ. Health 2019, 32, 595–634. [Google Scholar] [CrossRef]
- Ward, A.M.; Yaman, R.; Ebbert, J.O. Electronic nicotine delivery system design and aerosol toxicants: A systematic review. PLoS ONE 2020, 15, e0234189. [Google Scholar] [CrossRef]
- St Helen, G.; Jacob Iii, P.; Nardone, N.; Benowitz, N.L. IQOS: Examination of Philip Morris International’s claim of reduced exposure. Tob. Control 2018, 27 (Suppl. S1), s30–s36. [Google Scholar] [CrossRef]
- Centers for Disease Control and Prevention (CDC); National Center for Chronic Disease Prevention and Health Promotion (NCCDPHP). How Tobacco Smoke Causes Disease: The Biology and Behavioral Basis for Smoking-Attributable Disease: A Report of the Surgeon General. Volume 6, Cardiovascular Diseases. Available online: https://www.ncbi.nlm.nih.gov/books/NBK53012/ (accessed on 21 June 2021).
- WHO. Tobacco Product Regulation: Basic Handbook. 2018. Available online: https://www.who.int/tobacco/publications/prod_regulation/basic-handbook/en/ (accessed on 21 June 2021).
- Stephens, W.E. Comparing the cancer potencies of emissions from vapourised nicotine products including e-cigarettes with those of tobacco smoke. Tob. Control 2017, 27, 10–17. [Google Scholar] [CrossRef] [Green Version]
- Slob, W.; Soeteman-Hernández, L.G.; Bil, W.; Staal, Y.C.M.; Stephens, W.E.; Talhout, R. A Method for Comparing the Impact on Carcinogenicity of Tobacco Products: A Case Study on Heated Tobacco Versus Cigarettes. Risk Anal. 2020, 40, 1355–1366. [Google Scholar] [CrossRef]
- European Food Safety Agency (EFSA). Guidance on harmonised methodologies for human health, animal health and ecological risk assessment of combined exposure to multiple chemicals. EFSA J. 2019, 17, e05634. [Google Scholar]
- FDA. Family Smoking Prevention and Tobacco Control and Federal Retirement Reform. PUBL031.PS. 2009. Available online: Govinfo.gov (accessed on 22 August 2022).
- FDA. Harmful and Potentially Harmful Constituents in Tobacco Products and Tobacco Smoke; Established List. Fed. Regist. 2012, 77, 20034–20037. [Google Scholar]
- Simonavicius, E.; McNeill, A.; Shahab, L.; Brose, L.S. Heat-not-burn tobacco products: A systematic literature review. Tob. Control 2019, 28, 582–594. [Google Scholar] [CrossRef]
- FDA. Philip Morris Products S.A. Modified Risk Tobacco Product (MRTP) Applications; FDA: Silver Spring, MD, USA, 2021. [Google Scholar]
- Burns, D.M.; Dybing, E.; Gray, N.; Hecht, S.; Anderson, C.; Sanner, T.; O’Connor, R.; Djordjevic, M.; Dresler, C.; Hainaut, P.; et al. Mandated lowering of toxicants in cigarette smoke: A description of the World Health Organization TobReg proposal. Tob. Control 2008, 17, 132–141. [Google Scholar] [CrossRef] [Green Version]
- Woutersen, M.; Muller, A.; Pronk, M.E.J.; Cnubben, N.H.P.; Hakkert, B.C. Regulating human safety: How dose selection in toxicity studies impacts human health hazard assessment and subsequent risk management options. Regul. Toxicol. Pharmacol. 2020, 114, 104660. [Google Scholar] [CrossRef] [PubMed]
- Soeteman-Hernández, L.G.; Johnson, G.E.; Slob, W. Estimating the carcinogenic potency of chemicals from the in vivo micronucleus test. Mutagenesis 2016, 31, 347–358. [Google Scholar] [CrossRef] [Green Version]
- Bemis, J.C.; Wills, J.W.; Bryce, S.M.; Torous, D.K.; Dertinger, S.D.; Slob, W. Comparison of in vitro and in vivo clastogenic potency based on benchmark dose analysis of flow cytometric micronucleus data. Mutagenesis 2016, 31, 277–285. [Google Scholar] [CrossRef] [Green Version]
- National Center for Chronic Disease Prevention and Health Promotion (US) Office on Smoking and Health. The Health Consequences of Smoking—50 Years of Progress; A Report of the Surgeon General; Centers for Disease Control and Prevention (US): Atlanta, GA, USA, 2014. Available online: https://www.surgeongeneral.gov/library/reports/50-yearsof-progress/full-report.pdf (accessed on 21 June 2021).
- WHO. Cardiovascular Diseases (CVDs); WHO: Geneva, Switzerland, 2021. [Google Scholar]
- WHO. Global Status Report on Concommunicable Diseases 2014; WHO: Geneva, Switserland, 2014. [Google Scholar]
- Forouzanfar, M.H.; Afshin, A.; Alexander, L.T.; Anderson, H.R.; Bhutta, Z.A.; Biryukov, S.; Brauer, M.; Burnett, R.; Cercy, K.; Charlson, F.J. Global, regional, and national comparative risk assessment of 79 behavioural, environmental and occupational, and metabolic risks or clusters of risks, 1990–2015: A systematic analysis for the Global Burden of Disease Study 2015. Lancet 2016, 388, 1659–1724. [Google Scholar] [CrossRef] [Green Version]
- Messner, B.; Bernhard, D. Smoking and cardiovascular disease: Mechanisms of endothelial dysfunction and early atherogenesis. Arterioscler. Thromb. Vasc. Biol. 2014, 34, 509–515. [Google Scholar] [CrossRef] [Green Version]
- Phillips, B.; Veljkovic, E.; Boué, S.; Schlage, W.K.; Vuillaume, G.; Martin, F.; Titz, B.; Leroy, P.; Buettner, A.; Elamin, A. An 8-month systems toxicology inhalation/cessation study in Apoe−/− mice to investigate cardiovascular and respiratory exposure effects of a candidate modified risk tobacco product, THS 2.2, compared with conventional cigarettes. Toxicol. Sci. 2015, 149, 411–432. [Google Scholar] [CrossRef] [Green Version]
- Srivastava, S.; Sithu, S.D.; Vladykovskaya, E.; Haberzettl, P.; Hoetker, D.J.; Siddiqui, M.A.; Conklin, D.J.; D’Souza, S.E.; Bhatnagar, A. Oral exposure to acrolein exacerbates atherosclerosis in apoE-null mice. Atherosclerosis 2011, 215, 301–308. [Google Scholar] [CrossRef] [PubMed] [Green Version]
- Simeonova, P.P.; Hulderman, T.; Harki, D.; Luster, M.I. Arsenic exposure accelerates atherogenesis in apolipoprotein E (-/-) mice. Environ. Health Perspect. 2003, 111, 1744–1748. [Google Scholar] [CrossRef] [PubMed] [Green Version]
- Bunderson, M.; Brooks, D.M.; Walker, D.L.; Rosenfeld, M.E.; Coffin, J.D.; Beall, H.D. Arsenic exposure exacerbates atherosclerotic plaque formation and increases nitrotyrosine and leukotriene biosynthesis. Toxicol. Appl. Pharmacol. 2004, 201, 32–39. [Google Scholar] [CrossRef]
- Srivastava, S.; Vladykovskaya, E.N.; Haberzettl, P.; Sithu, S.D.; D’souza, S.E.; States, J.C. Arsenic exacerbates atherosclerotic lesion formation and inflammation in ApoE-/-mice. Toxicol. Appl. Pharmacol. 2009, 241, 90–100. [Google Scholar] [CrossRef] [Green Version]
- Lemaire, M.; Lemarié, C.A.; Flores Molina, M.; Schiffrin, E.L.; Lehoux, S.; Mann, K.K. Exposure to moderate arsenic concentrations increases atherosclerosis in ApoE−/− mouse model. Toxicol. Sci. 2011, 122, 211–221. [Google Scholar] [CrossRef] [Green Version]
- Negro Silva, L.F.; Lemaire, M.; Lemarié, C.A.; Plourde, D.; Bolt, A.M.; Chiavatti, C.; Bohle, D.S.; Slavkovich, V.; Graziano, J.H.; Lehoux, S. Effects of Inorganic Arsenic, Methylated Arsenicals, and Arsenobetaine on Atherosclerosis in the apo E−/− Mouse Model and the Role of As3mt-Mediated Methylation. Environ. Health Perspect. 2017, 125, 077001. [Google Scholar] [CrossRef] [Green Version]
- Makhani, K.; Chiavatti, C.; Plourde, D.; Negro Silva, L.F.; Lemaire, M.; Lemarié, C.A.; Lehoux, S.; Mann, K.K. Using the Apolipoprotein E Knock-Out Mouse Model to Define Atherosclerotic Plaque Changes Induced by Low Dose Arsenic. Toxicol. Sci. 2018, 166, 213–218. [Google Scholar] [CrossRef]
- Curfs, D.M.J.; Lutgens, E.; Gijbels, M.J.J.; Kockx, M.M.; Daemen, M.J.A.P.; van Schooten, F.J. Chronic exposure to the carcinogenic compound benzo [a] pyrene induces larger and phenotypically different atherosclerotic plaques in ApoE-knockout mice. Am. J. Pathol. 2004, 164, 101–108. [Google Scholar] [CrossRef] [Green Version]
- Ramesh, A.; Prins, P.A.; Perati, P.R.; Rekhadevi, P.V.; Sampson, U.K. Metabolism of benzo(a)pyrene by aortic subcellular fractions in the setting of abdominal aortic aneurysms. Mol. Cell. Biochem. 2016, 411, 383–391. [Google Scholar] [CrossRef]
- Uno, S.; Sakurai, K.; Nebert, D.W.; Makishima, M. Protective role of cytochrome P450 1A1 (CYP1A1) against benzo [a] pyrene-induced toxicity in mouse aorta. Toxicol. Appl. Pharmacol. 2014, 316, 34–42. [Google Scholar] [CrossRef]
- Kerley-Hamilton, J.S.; Trask, H.W.; Ridley, C.J.A.; DuFour, E.; Lesseur, C.; Ringelberg, C.S.; Moodie, K.L.; Shipman, S.L.; Korc, M.; Gui, J. Inherent and benzo [a] pyrene-induced differential aryl hydrocarbon receptor signaling greatly affects life span, atherosclerosis, cardiac gene expression, and body and heart growth in mice. Toxicol. Sci. 2012, 126, 391–404. [Google Scholar] [CrossRef] [PubMed] [Green Version]
- Yang, H.; Zhou, L.; Wang, Z.; Roberts, L.J., II; Lin, X.; Zhao, Y.; Guo, Z. Overexpression of antioxidant enzymes in ApoE-deficient mice suppresses benzo (a) pyrene-accelerated atherosclerosis. Atherosclerosis 2009, 207, 51–58. [Google Scholar] [CrossRef] [PubMed] [Green Version]
- Heeschen, C.; Jang, J.J.; Weis, M.; Pathak, A.; Kaji, S.; Hu, R.S.; Tsao, P.S.; Johnson, F.L.; Cooke, J.P. Nicotine stimulates angiogenesis and promotes tumor growth and atherosclerosis. Nat. Med. 2001, 7, 833–839. [Google Scholar] [CrossRef] [PubMed]
- European Chemicals Agency (ECHA). Guidance on Information Requirements and Chemical Safety Assessment. Chapter R.7a: Endpoint Specific Guidance. Available online: https://echa.europa.eu/documents/10162/17224/information_requirements_r7a_en.pdf/e4a2a18f-a2bd-4a04-ac6d-0ea425b2567f (accessed on 21 June 2021).
- Hirn, C.; Kanemaru, Y.; Stedeford, T.; Paschke, T.; Baskerville-Abraham, I. Comparative and cumulative quantitative risk assessments on a novel heated tobacco product versus the 3R4F reference cigarette. Toxicol. Rep. 2020, 7, 1502–1513. [Google Scholar] [CrossRef]
- Thorne, D.; Breheny, D.; Proctor, C.; Gaca, M. Assessment of novel tobacco heating product THP1. 0. Part 7: Comparative in vitro toxicological evaluation. Regul. Toxicol. Pharmacol. 2018, 93, 71–83. [Google Scholar] [CrossRef]
- Phillips, B.W.; Schlage, W.K.; Titz, B.; Kogel, U.; Sciuscio, D.; Martin, F.; Leroy, P.; Vuillaume, G.; Krishnan, S.; Lee, T. A 90-day OECD TG 413 rat inhalation study with systems toxicology endpoints demonstrates reduced exposure effects of the aerosol from the carbon heated tobacco product version 1.2 (CHTP1. 2) compared with cigarette smoke. I. Inhalation exposure, clinical pathology and histopathology. Food Chem. Toxicol. 2018, 116, 388–413. [Google Scholar]
- European Commission (EC). COMMISSION STAFF WORKING DOCUMENT: Progress Report on the Assessment and Management of Combined Exposures to Multiple Chemicals (Chemical Mixtures) and Associated Risks. SWD (2020) 250 Final. 2020. Available online: https://ec.europa.eu/environment/pdf/chemicals/2020/10/SWD_mixtures.pdf (accessed on 21 June 2021).
- Tluczkiewicz, I.; Kühne, R.; Ebert, R.-U.; Batke, M.; Schüürmann, G.; Mangelsdorf, I.; Escher, S.E. Inhalation TTC values: A new integrative grouping approach considering structural, toxicological and mechanistic features. Regul. Toxicol. Pharmacol. 2016, 78, 8–23. [Google Scholar] [CrossRef]
- Schüürmann, G.; Ebert, R.-U.; Tluczkiewicz, I.; Escher, S.E.; Kühne, R. Inhalation threshold of toxicological concern (TTC)—Structural alerts discriminate high from low repeated-dose inhalation toxicity. Environ. Int. 2016, 88, 123–132. [Google Scholar] [CrossRef]
- European Chemicals Agency (ECHA). Read-Across Assessment Framework (RAAF). Available online: https://echa.europa.eu/documents/10162/17221/raaf_en.pdf/614e5d61-891d-4154-8a47-87efebd1851a (accessed on 21 June 2021).
- Slob, W.; Setzer, R.W. Shape and steepness of toxicological dose–response relationships of continuous endpoints. Crit. Rev. Toxicol. 2014, 44, 270–297. [Google Scholar] [CrossRef]
- Schaller, J.-P.; Keller, D.; Poget, L.; Pratte, P.; Kaelin, E.; McHugh, D.; Cudazzo, G.; Smart, D.; Tricker, A.R.; Gautier, L. Evaluation of the Tobacco Heating System 2.2. Part 2: Chemical composition, genotoxicity, cytotoxicity, and physical properties of the aerosol. Regul. Toxicol. Pharmacol. 2016, 81, S27–S47. [Google Scholar] [CrossRef] [Green Version]
- Forster, M.; Fiebelkorn, S.; Yurteri, C.; Mariner, D.; Liu, C.; Wright, C.; McAdam, K.; Murphy, J.; Proctor, C. Assessment of novel tobacco heating product THP1. 0. Part 3: Comprehensive chemical characterisation of harmful and potentially harmful aerosol emissions. Regul. Toxicol. Pharmacol. 2018, 93, 14–33. [Google Scholar] [CrossRef]
- RIVM. PROAST MANUAL Menu Version. 2021. Available online: https://www.rivm.nl/documenten/proast-manual-menu-version (accessed on 21 June 2021).
- Slob, W. Dose-response modeling of continuous endpoints. Toxicol. Sci. 2002, 66, 298–312. [Google Scholar] [CrossRef]
| Compound | IARC Carcinogenicity Classification | Availability of Emissions Data (CS and HTP) | Availability of Carcinogenicity Data (Inhalation Unit Risk) |
|---|---|---|---|
| Acrylonitrile | 2B | √ | √ |
| Acetaldehyde * | 2B | √ | √ |
| 1,3-butadiene * | 1 | √ | √ |
| 3-monochloro-1,2-propanediol | 2B | √ (new) | √ (only oral) |
| Ethylene oxide | 1 | √ | √ |
| Formaldehyde * | 1 | √ | √ |
| 2-furanmethanol | 2B | √ (new) | √ |
| Furfural | 3 | √ (new) | √ (only oral) |
| Glycidol | 2A | √ (new) | √ (only oral or ip) |
| Benzo[a]pyrene * | 1 | √ | √ |
| Nitrobenzene | 2B | √ | √ |
| Propylene oxide | 2B | √ | √ |
| Allyl glycidyl ether | NC | √ | |
| Alpha-methyl styrene | 2B | √ | |
| 1,2-dibromo-3-chloropropane | 2B | √ | |
| 1,2-dibromoethane | 2A | √ | |
| Decalin | NC | √ | |
| Hydrazine | 2A | √ | |
| Isobutyl nitrite | 2B | √ | |
| Naphthalene | 2B | √ | |
| Propylene glycol mono-t-butyl ether | 2B | √ (new) | √ |
Publisher’s Note: MDPI stays neutral with regard to jurisdictional claims in published maps and institutional affiliations. |
© 2022 by the authors. Licensee MDPI, Basel, Switzerland. This article is an open access article distributed under the terms and conditions of the Creative Commons Attribution (CC BY) license (https://creativecommons.org/licenses/by/4.0/).
Share and Cite
Staal, Y.C.M.; Bil, W.; Bokkers, B.G.H.; Soeteman-Hernández, L.G.; Stephens, W.E.; Talhout, R. Challenges in Predicting the Change in the Cumulative Exposure of New Tobacco and Related Products Based on Emissions and Toxicity Dose–Response Data. Int. J. Environ. Res. Public Health 2022, 19, 10528. https://doi.org/10.3390/ijerph191710528
Staal YCM, Bil W, Bokkers BGH, Soeteman-Hernández LG, Stephens WE, Talhout R. Challenges in Predicting the Change in the Cumulative Exposure of New Tobacco and Related Products Based on Emissions and Toxicity Dose–Response Data. International Journal of Environmental Research and Public Health. 2022; 19(17):10528. https://doi.org/10.3390/ijerph191710528
Chicago/Turabian StyleStaal, Yvonne C. M., Wieneke Bil, Bas G. H. Bokkers, Lya G. Soeteman-Hernández, W. Edryd Stephens, and Reinskje Talhout. 2022. "Challenges in Predicting the Change in the Cumulative Exposure of New Tobacco and Related Products Based on Emissions and Toxicity Dose–Response Data" International Journal of Environmental Research and Public Health 19, no. 17: 10528. https://doi.org/10.3390/ijerph191710528
APA StyleStaal, Y. C. M., Bil, W., Bokkers, B. G. H., Soeteman-Hernández, L. G., Stephens, W. E., & Talhout, R. (2022). Challenges in Predicting the Change in the Cumulative Exposure of New Tobacco and Related Products Based on Emissions and Toxicity Dose–Response Data. International Journal of Environmental Research and Public Health, 19(17), 10528. https://doi.org/10.3390/ijerph191710528

