The Association between Appetitive Aggression and Social Media Addiction Mediated by Cyberbullying: The Moderating Role of Inclusive Norms
Abstract
:1. Introduction
1.1. The Uses and Gratification Theory and Social Media Addiction
1.2. Appetitive Aggression and Cyberaggression
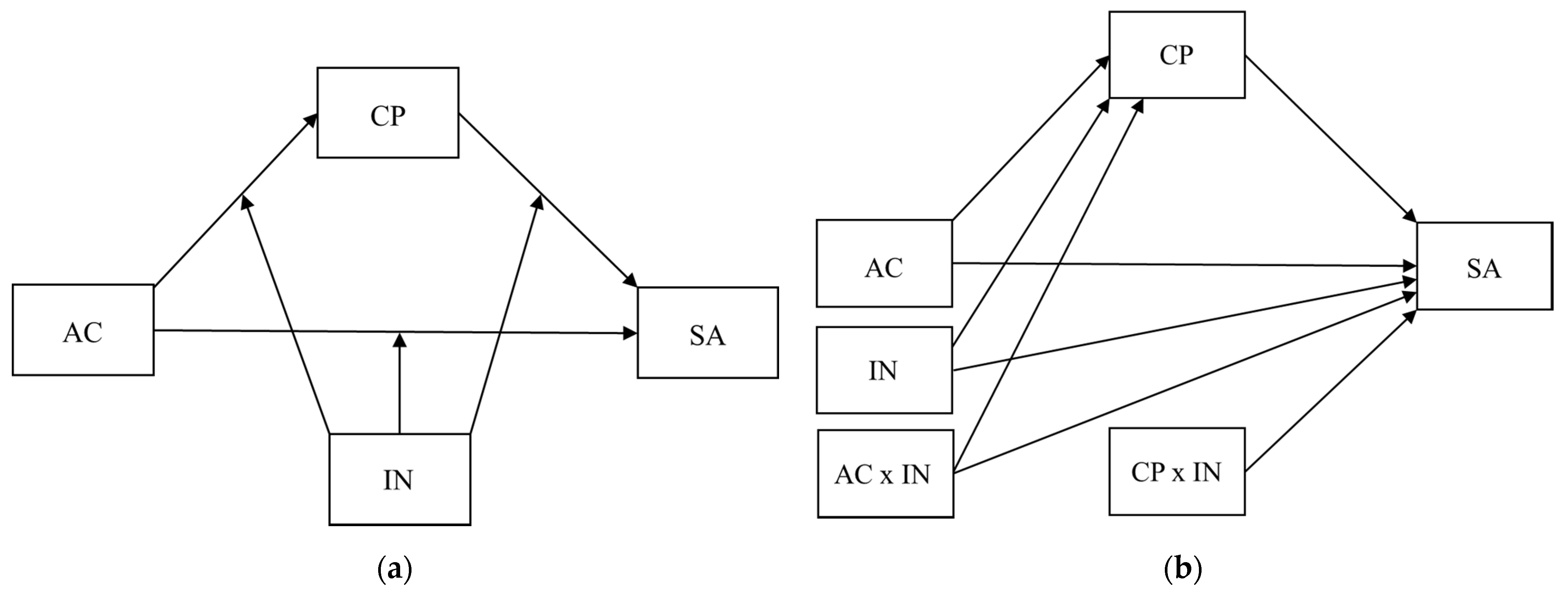
1.3. Present Study
The Moderating Role of Inclusive Norms
2. Materials and Methods
2.1. Measures
2.1.1. Cyberbullying Perpetration
2.1.2. Appetitive Cyberaggression
2.1.3. Inclusive Norms in Cyberspace
2.1.4. Social Media Addiction
2.2. Measurement Models
2.3. Analytic Strategies
3. Results
3.1. The Associations of Appetitive Cyberaggression with Cyberbullying and Social Media Addiction
3.2. Indirect Associations between Appetitive Cyberaggression and Social Media Addiction
3.3. Moderating Role of Inclusive Norms on the Indirect Associations
4. Discussion
5. Conclusions
Author Contributions
Funding
Institutional Review Board Statement
Informed Consent Statement
Data Availability Statement
Acknowledgments
Conflicts of Interest
References
- Thomas, L.; Orme, E.; Kerrigan, F. Student Loneliness: The Role of Social Media through Life Transitions. Comput. Educ. 2020, 146, 103754. [Google Scholar] [CrossRef]
- Abel, S.; Machin, T.; Brownlow, C. Social Media, Rituals, and Long-Distance Family Relationship Maintenance: A Mixed-Methods Systematic Review. New Media Soc. 2021, 23, 632–654. [Google Scholar] [CrossRef]
- Cauberghe, V.; Van Wesenbeeck, I.; De Jans, S.; Hudders, L.; Ponnet, K. How Adolescents Use Social Media to Cope with Feelings of Loneliness and Anxiety during COVID-19 Lockdown. Cyberpsychology Behav. Soc. Netw. 2021, 24, 250–257. [Google Scholar] [CrossRef] [PubMed]
- Runions, K.C. Toward a Conceptual Model of Motive and Self-Control in Cyber-Aggression: Rage, Revenge, Reward, and Recreation. J. Youth Adolesc. 2013, 42, 751–771. [Google Scholar] [CrossRef] [PubMed]
- Graf, D.; Yanagida, T.; Runions, K.; Spiel, C. Why Did You Do That? Differential Types of Aggression in Offline and in Cyberbullying. Comput. Human Behav. 2022, 128, 107107. [Google Scholar] [CrossRef]
- Wong, N.; McBride, C. Fun over Conscience: Fun-Seeking Tendencies in Cyberbullying Perpetration. Comput. Hum. Behav. 2018, 86, 319–329. [Google Scholar] [CrossRef]
- Wong, N.; Schunk, F.; Trommsdorff, G.; McBride, C. Fun-Seeking Tendencies and Moral Disengagement in Cyberbullying: An Exploratory Study among Emerging Adults from Germany and Hong Kong. Comput. Hum. Behav. 2022, 126, 107035. [Google Scholar]
- Sun, Y.; Zhang, Y. A Review of Theories and Models Applied in Studies of Social Media Addiction and Implications for Future Research. Addict. Behav. 2021, 114, 106699. [Google Scholar] [CrossRef]
- Hawk, S.T.; van den Eijnden, R.J.J.M.; van Lissa, C.J.; ter Bogt, T.F.M. Narcissistic Adolescents’ Attention-Seeking Following Social Rejection: Links with Social Media Disclosure, Problematic Social Media Use, and Smartphone Stress. Comput. Hum. Behav. 2019, 92, 65–75. [Google Scholar] [CrossRef]
- Huang, L.-Y.; Hsieh, Y.-J.; Wu, Y.-C.J. Gratifications and Social Network Service Usage: The Mediating Role of Online Experience. Inf. Manag. 2014, 51, 774–782. [Google Scholar] [CrossRef]
- Lee-Won, R.J.; Herzog, L.; Park, S.G. Hooked on Facebook: The Role of Social Anxiety and Need for Social Assurance in Problematic Use of Facebook. Cyberpsychology Behav. Soc. Netw. 2015, 18, 567–574. [Google Scholar] [CrossRef] [PubMed]
- Marino, C.; Gini, G.; Angelini, F.; Vieno, A.; Spada, M.M. Social Norms and E-Motions in Problematic Social Media Use among Adolescents. Addict. Behav. Rep. 2020, 11, 100250. [Google Scholar] [CrossRef] [PubMed]
- Mérelle, S.; Kleiboer, A.; Schotanus, M.; Cluitmans, T.L.M.; Waardenburg, C.M.; Kramer, D.; Van de Mheen, D.; van Rooij, A. Which Health-Related Problems Are Associated with Problematic Video-Gaming or Social Media Use in Adolescents? Clin. Neuropsychiatry J. Treat. Eval. 2017, 14, 11–19. [Google Scholar]
- Griffiths, M.D.; Kuss, D.J.; Demetrovics, Z. Social Networking Addiction: An Overview of Preliminary Findings. In Behavioral Addictions: Criteria, Evidence, and Treatment; Elsevier: Amsterdam, The Netherlands, 2014; pp. 119–141. [Google Scholar] [CrossRef]
- Paschke, K.; Austermann, M.I.; Thomasius, R. ICD-11-Based Assessment of Social Media Use Disorder in Adolescents: Development and Validation of the Social Media Use Disorder Scale for Adolescents. Front. Psychiatry 2021, 12, 661483. [Google Scholar] [CrossRef]
- Van Den Eijnden, R.; Koning, I.; Doornwaard, S.; Van Gurp, F.; Ter Bogt, T. The Impact of Heavy and Disordered Use of Games and Social Media on Adolescents’ Psychological, Social, and School Functioning. J. Behav. Addict. 2018, 7, 697–706. [Google Scholar] [CrossRef] [PubMed]
- Cebollero-Salinas, A.; Orejudo, S.; Cano-Escoriaza, J.; Íñiguez-Berrozpe, T. Cybergossip and Problematic Internet Use in Cyberaggression and Cybervictimisation among Adolescents. Comput. Hum. Behav. 2022, 131, 107230. [Google Scholar] [CrossRef]
- Craig, W.; Boniel-Nissim, M.; King, N.; Walsh, S.D.; Boer, M.; Donnelly, P.D.; Harel-Fisch, Y.; Malinowska-Cieślik, M.; de Matos, M.G.; Cosma, A. Social Media Use and Cyber-Bullying: A Cross-National Analysis of Young People in 42 Countries. J. Adolesc. Health 2020, 66, S100–S108. [Google Scholar] [CrossRef]
- Giordano, A.L.; Prosek, E.A.; Watson, J.C. Understanding Adolescent Cyberbullies: Exploring Social Media Addiction and Psychological Factors. J. Child Adolesc. Couns. 2021, 7, 42–55. [Google Scholar] [CrossRef]
- Kircaburun, K.; Kokkinos, C.M.; Demetrovics, Z.; Kiraly, O.; Griffiths, M.D.; Colak, T.S. Demetrovic. Problematic Online Behaviors among Adolescents and Emerging Adults: Associations between Cyberbullying Perpetration, Problematic Social Media Use, and Psychosocial Factors. Int. J. Ment. Health Addict. 2019, 17, 891–908. [Google Scholar] [CrossRef]
- Machimbarrena, J.M.; Gonzalez-Cabrera, J.; Montiel, I.; Ortega-Baron, J. An Exploratory Analysis of Different Problematic Internet Use Profiles in Cybervictims, Cyberbullies, and Cyberbully Victims. Cyberpsychology Behav. Soc. Netw. 2021, 24, 664–672. [Google Scholar] [CrossRef]
- Vejmelka, L.; Matković, R. Online Interactions and Problematic Internet Use of Croatian Students during the Covid-19 Pandemic. Information 2021, 12, 399. [Google Scholar] [CrossRef]
- Müller, C.R.; Pfetsch, J.; Schultze-Krumbholz, A.; Ittel, A. Does Media Use Lead to Cyberbullying or Vice Versa? Testing Longitudinal Associations Using a Latent Cross-Lagged Panel Design. Comput. Hum. Behav. 2018, 81, 93–101. [Google Scholar] [CrossRef]
- Brochado, S.; Soares, S.; Fraga, S. A Scoping Review on Studies of Cyberbullying Prevalence among Adolescents. Trauma Violence Abus. 2017, 18, 523–531. [Google Scholar] [CrossRef]
- Katz, E.; Blumler, J.G.; Gurevitch, M. Uses and Gratifications Research. Public Opin. Q. 1973, 37, 509–523. [Google Scholar] [CrossRef]
- Basak, E.; Calisir, F. An Empirical Study on Factors Affecting Continuance Intention of Using Facebook. Comput. Hum. Behav. 2015, 48, 181–189. [Google Scholar] [CrossRef]
- Dhir, A.; Khalil, A.; Lonka, K.; Tsai, C.-C. Do Educational Affordances and Gratifications Drive Intensive Facebook Use among Adolescents? Comput. Hum. Behav. 2017, 68, 40–50. [Google Scholar] [CrossRef]
- Leong, L.-Y.; Hew, T.-S.; Ooi, K.-B.; Lee, V.-H.; Hew, J.-J. A Hybrid SEM-Neural Network Analysis of Social Media Addiction. Expert Syst. Appl. 2019, 133, 296–316. [Google Scholar] [CrossRef]
- Hong, F.; Chiu, S. Factors Influencing Facebook Usage and Facebook Addictive Tendency in University Students: The Role of Online Psychological Privacy and Facebook Usage Motivation. Stress Health 2016, 32, 117–127. [Google Scholar] [CrossRef]
- Kircaburun, K.; Alhabash, S.; Tosuntaş, Ş.B.; Griffiths, M.D. Uses and Gratifications of Problematic Social Media Use among University Students: A Simultaneous Examination of the Big Five of Personality Traits, Social Media Platforms, and Social Media Use Motives. Int. J. Ment. Health Addict. 2020, 18, 525–547. [Google Scholar] [CrossRef]
- Klobas, J.E.; McGill, T.J.; Moghavvemi, S.; Paramanathan, T. Compulsive YouTube Usage: A Comparison of Use Motivation and Personality Effects. Comput. Hum. Behav. 2018, 87, 129–139. [Google Scholar] [CrossRef]
- Masur, P.K.; Reinecke, L.; Ziegele, M.; Quiring, O. The Interplay of Intrinsic Need Satisfaction and Facebook Specific Motives in Explaining Addictive Behavior on Facebook. Comput. Hum. Behav. 2014, 39, 376–386. [Google Scholar] [CrossRef]
- Ponnusamy, S.; Iranmanesh, M.; Foroughi, B.; Hyun, S.S. Drivers and Outcomes of Instagram Addiction: Psychological Well-Being as Moderator. Comput. Hum. Behav. 2020, 107, 106294. [Google Scholar] [CrossRef]
- Punyanunt-Carter, N.M.; De La Cruz, J.J.; Wrench, J.S. Investigating the Relationships among College Students’ Satisfaction, Addiction, Needs, Communication Apprehension, Motives, and Uses & Gratifications with Snapchat. Comput. Hum. Behav. 2017, 75, 870–875. [Google Scholar] [CrossRef]
- Wegmann, E.; Stodt, B.; Brand, M. Addictive Use of Social Networking Sites Can Be Explained by the Interaction of Internet Use Expectancies, Internet Literacy, and Psychopathological Symptoms. J. Behav. Addict. 2015, 4, 155–162. [Google Scholar] [CrossRef]
- Casale, S.; Fioravanti, G. Why Narcissists Are at Risk for Developing Facebook Addiction: The Need to Be Admired and the Need to Belong. Addict. Behav. 2018, 76, 312–318. [Google Scholar] [CrossRef] [PubMed]
- Balakrishnan, J.; Griffiths, M.D. Social Media Addiction: What Is the Role of Content in YouTube? J. Behav. Addict. 2017, 6, 364–377. [Google Scholar] [CrossRef]
- Runions, K.C.; Bak, M.; Shaw, T. Disentangling Functions of Online Aggression: The Cyber-Aggression Typology Questionnaire (CATQ). Aggress. Behav. 2017, 43, 74–84. [Google Scholar] [CrossRef]
- Howard, R.C. The Quest for Excitement: A Missing Link between Personality Disorder and Violence? J. Forens. Psychiatry Psychol. 2011, 22, 692–705. [Google Scholar] [CrossRef]
- Nesi, J.; Choukas-Bradley, S.; Prinstein, M.J. Transformation of Adolescent Peer Relations in the Social Media Context: Part 2-Application to Peer Group Processes and Future Directions for Research. Clin. Child Fam. Psychol. Rev. 2018, 21, 295–319. [Google Scholar] [CrossRef]
- Graf, D.; Yanagida, T.; Spiel, C. Sensation Seeking’s Differential Role in Face-to-Face and Cyberbullying: Taking Perceived Contextual Properties into Account. Front. Psychol. 2019, 10, 1572. [Google Scholar] [CrossRef]
- Steer, O.L.; Betts, L.R.; Baguley, T.; Binder, J.F. “I Feel like Everyone Does It”-Adolescents’ Perceptions and Awareness of the Association between Humour, Banter, and Cyberbullying. Comput. Hum. Behav. 2020, 108, 106297. [Google Scholar] [CrossRef]
- Wegge, D.; Vandebosch, H.; Eggermont, S.; Pabian, S. Popularity through Online Harm: The Longitudinal Associations between Cyberbullying and Sociometric Status in Early Adolescence. J. Early Adolesc. 2016, 36, 86–107. [Google Scholar] [CrossRef]
- Vanden Abeele, M.M.P.; Van Cleemput, K.; Vandebosch, H. Peer Influence as a Predictor of Producing and Distributing Hurtful Images of Peers and Teachers among Flemish Adolescents. J. Child. Media 2017, 11, 69–87. [Google Scholar] [CrossRef]
- Wang, W.; Brittain, H.; McDougall, P.; Vaillancourt, T. Bullying and School Transition: Context or Development? Child Abuse Negl. 2016, 51, 237–248. [Google Scholar] [CrossRef] [PubMed]
- Leung, A.N.M.; Wong, N.; Farver, J.M. You Are What You Read: The Belief Systems of Cyber-Bystanders on Social Networking Sites. Front. Psychol. 2018, 9, 365. [Google Scholar] [CrossRef]
- Howard, A.M.; Landau, S.; Pryor, J.B. Peer Bystanders to Bullying: Who Wants to Play with the Victim? J. Abnorm. Child Psychol. 2014, 42, 265–276. [Google Scholar] [CrossRef]
- Nesdale, D.; Maass, A.; Durkin, K.; Griffiths, J. Group Norms, Threat, and Children’s Racial Prejudice. Child Dev. 2005, 76, 652–663. [Google Scholar] [CrossRef]
- Domínguez-Martínez, T.; Robles, R. Preventing Transphobic Bullying and Promoting Inclusive Educational Environments: Literature Review and Implementing Recommendations. Arch. Med. Res. 2019, 50, 543–555. [Google Scholar] [CrossRef]
- Del Rey, R.; Casas, J.A.; Ortega-Ruiz, R.; Schultze-Krumbholz, A.; Scheithauer, H.; Smith, P.; Thompson, F.; Barkoukis, V.; Tsorbatzoudis, H.; Brighi, A.; et al. Structural Validation and Cross-Cultural Robustness of the European Cyberbullying Intervention Project Questionnaire. Comput. Hum. Behav. 2015, 50, 141–147. [Google Scholar] [CrossRef]
- Graf, D.; Yanagida, T.; Maschler, A.; Spiel, C. A Tool for Investigating the Differential Functions of Aggressive Behavior in the Face-to-face and Cyber Context: Extending the Cyber-Aggression Typology Questionnaire. Aggress. Behav. 2020, 46, 380–390. [Google Scholar] [CrossRef]
- Ho, S.S.; Chen, L.; Ng, A.P.Y. Comparing Cyberbullying Perpetration on Social Media between Primary and Secondary School Students. Comput. Educ. 2017, 109, 74–84. [Google Scholar] [CrossRef]
- Kircaburun, K.; Demetrovics, Z.; Tosuntas, S.B. Analyzing the Links Between Problematic Social Media Use, Dark Triad, and Self-Esteem. Int. J. Ment. Health Addict. 2019, 17, 1496–1507. [Google Scholar] [CrossRef]
- Brown, T.A. Confirmatory Factor Analysis for Applied Research; Guilford Publications: New York, NY, USA, 2015; ISBN 146251779X. [Google Scholar]
- Muthén, L.K.; Muthén, B.O. Mplus User’s Guide: 1998–2018; Muthen & Muthen: Los Angeles, LA, USA, 2018. [Google Scholar]
- Bovaird, J.A.; Koziol, N.A. Measurement Models for Ordered-Categorical Indicators. In Handbook of Structural Equation Modeling; Guilford Publications: New York, NY, USA, 2012. [Google Scholar]
- Kline, R.B. Principles and Practice of Structural Equation Modeling; Guilford Publications: New York, NY, USA, 2015; ISBN 1462523358. [Google Scholar]
- MacKinnon, D.P.; Cheong, J.; Pirlott, A.G. Statistical Mediation Analysis. In APA Handbook of Research Methods in Psychology; APAs: New York, NY, USA, 2012. [Google Scholar]
- Preacher, K.J.; Rucker, D.D.; Hayes, A.F. Addressing Moderated Mediation Hypotheses: Theory, Methods, and Prescriptions. Multivariate Behav. Res. 2007, 42, 185–227. [Google Scholar] [CrossRef] [PubMed]
- Johnson, P.O.; Neyman, J. Tests of Certain Linear Hypotheses and Their Application to Some Educational Problems. Stat. Res. Mem. 1936, 1, 57–93. [Google Scholar]
- Yang, C.; Carter, M.D.K.; Webb, J.J.; Holden, S.M. Developmentally Salient Psychosocial Characteristics, Rumination, and Compulsive Social Media Use during the Transition to College. Addict. Res. Theory 2020, 28, 433–442. [Google Scholar] [CrossRef]
- Košir, K.; Zorjan, S.; Mikl, A.; Horvat, M. Social Goals and Bullying: Examining the Moderating Role of Self-perceived Popularity, Social Status Insecurity and Classroom Variability in Popularity. Soc. Dev. 2022, 31, 438–454. [Google Scholar] [CrossRef]
- Maxwell, S.E.; Cole, D.A. Bias in Cross-Sectional Analyses of Longitudinal Mediation. Psychol. Methods 2007, 12, 23. [Google Scholar] [CrossRef]
- Maxwell, S.E.; Cole, D.A.; Mitchell, M.A. Bias in Cross-Sectional Analyses of Longitudinal Mediation: Partial and Complete Mediation under an Autoregressive Model. Multivariate Behav. Res. 2011, 46, 816–841. [Google Scholar] [CrossRef]
- Lannin, D.G.; Parris, L.N.; Yazedjian, A.; Hynes, K. Youth Online Activity and Distress: The Role of Social Media Rumination. Soc. Sci. J. 2021, 1–12. [Google Scholar] [CrossRef]
- Błachnio, A.; Przepiorka, A. Personality and Positive Orientation in Internet and Facebook Addiction. An Empirical Report from Poland. Comput. Hum. Behav. 2016, 59, 230–236. [Google Scholar] [CrossRef]
- Błachnio, A.; Przepiorka, A.; Senol-Durak, E.; Durak, M.; Sherstyuk, L. The Role of Personality Traits in Facebook and Internet Addictions: A Study on Polish, Turkish, and Ukrainian Samples. Comput. Hum. Behav. 2017, 68, 269–275. [Google Scholar] [CrossRef]
- Tang, J.-H.; Chen, M.-C.; Yang, C.-Y.; Chung, T.-Y.; Lee, Y.-A. Personality Traits, Interpersonal Relationships, Online Social Support, and Facebook Addiction. Telemat. Inform. 2016, 33, 102–108. [Google Scholar] [CrossRef]


| Scale | M | SD | Correlation Coefficients | ||||
|---|---|---|---|---|---|---|---|
| 1. | 2. | 3. | 4. | 5. | |||
| 1. Cyberbullying perpetration | 1.12 | 0.24 | |||||
| 2. Controlled appetitive cyberaggression | 1.10 | 0.27 | .66 | ||||
| 3. Impulsive appetitive cyberaggression | 1.17 | 0.37 | .60 | .63 | |||
| 4. Inclusive norms | 5.57 | 2.01 | −.16 | −.21 | −.17 | ||
| 5. Social media addiction | 2.06 | 2.00 | .28 | .26 | .23 | −.03 | |
| Independent Variable | Mediating Variable | Dependent Variable | Est. (SE) | 95% CI | Std. Est. |
|---|---|---|---|---|---|
| Individual components of the indirect and direct effects | |||||
| Controlled-AC→ | CP | 0.59 (0.07) | [0.47, 0.72] | 0.66 | |
| CP | →SA | 1.60 (0.54) | [0.65, 2.77] | 0.19 | |
| Indirect effects | |||||
| Controlled-AC→ | CP | →SA | 0.94 (0.28) | [0.43, 1.51] | 0.13 |
| Direct effect controlling for the indirect effect | |||||
| Controlled-AC | →SA | 0.98 (0.34) | [0.34, 1.69] | 0.13 | |
| Independent Variable | Mediating Variable | Dependent Variable | Est. (SE) | 95% CI | Std. Est. |
|---|---|---|---|---|---|
| Individual components of the indirect and direct effects | |||||
| Impulsive-AC→ | CP | 0.40 (0.05) | [0.30, 0.48] | 0.60 | |
| CP | →SA | 1.83 (0.48) | [0.98, 2.88] | 0.22 | |
| Indirect effects | |||||
| Impulsive-AC→ | CP | →SA | 0.72 (0.17) | [0.42, 1.07] | 0.13 |
| Direct effect controlling for the indirect effect | |||||
| Impulsive-AC | →SA | 0.54 (0.27) | [0.02, 1.08] | 0.10 | |
| Independent Variable. | Mediating Variable | Dependent Variable | Est. (SE) | 95% CI | Std. Est. |
|---|---|---|---|---|---|
| Individual components of the indirect and direct effects | |||||
| Controlled-AC→ | CP | 0.54 (0.05) | [0.45, 0.65] | 0.30 | |
| IN→ | CP | 0.00 (0.00) | [−0.01, 0.00] | 0.04 | |
| Controlled-AC × IN→ | CP | −0.03 (0.04) | [−0.10, 0.04] | −0.04 | |
| CP | →SA | 2.47 (0.54) | [1.44, 3.57] | 0.30 | |
| IN | →SA | 0.04 (0.03) | [−0.03, 0.10] | 0.04 | |
| CP × IN | →SA | 0.56 (0.15) | [0.24, 0.86] | 0.18 | |
| Controlled-AC × IN | →SA | −0.12 (0.16) | [−0.46, 0.16] | −0.04 | |
| Indirect effects given average level ofinclusive norms (i.e., M = 5.57) | |||||
| Controlled-AC→ | CP | →SA | 1.32 (0.30) | [0.76, 1.95] | 0.08 |
| Direct effect controlling for the indirect effect given average level of inclusive norm (i.e., M = 5.57) | |||||
| Controlled-AC | →SA | 0.89 (0.37) | [0.19, 1.67] | 0.12 | |
| Independent Variable. | Mediating Variable | Dependent Variable | Est. (SE) | 95% CI | Std. Est. |
|---|---|---|---|---|---|
| Individual components of the indirect and direct effects | |||||
| Impulsive-AC→ | CP | 0.34 (0.04) | [0.27, 0.41] | 0.51 | |
| IN→ | CP | −0.01 (0.00) | [−0.02, −0.00] | −0.18 | |
| Impulsive-AC × IN→ | CP | −0.05 (0.03) | [−0.10, 0.00] | −0.34 | |
| CP | →SA | 2.85 (0.49) | [1.87, 3.83] | 0.35 | |
| IN | →SA | 0.03 (0.03) | [−0.04, 0.10] | 0.03 | |
| CP × IN | →SA | 0.78 (0.17) | [0.44, 1.10] | 0.25 | |
| Impulsive-AC × IN | →SA | −0.37 (0.14) | [−0.63, −0.08] | −0.15 | |
| Indirect effects given average level ofinclusive norm (i.e., M = 5.57) | |||||
| Impulsive-AC→ | CP | →SA | 0.96 (0.18) | [0.62, 1.33] | 0.18 |
| Direct effect controlling for the indirect effect given average level of inclusive norm (i.e., M = 5.57) | |||||
| Impulsive-AC | →SA | 0.27 (0.27) | [−0.23, 0.82] | 0.05 | |
Publisher’s Note: MDPI stays neutral with regard to jurisdictional claims in published maps and institutional affiliations. |
© 2022 by the authors. Licensee MDPI, Basel, Switzerland. This article is an open access article distributed under the terms and conditions of the Creative Commons Attribution (CC BY) license (https://creativecommons.org/licenses/by/4.0/).
Share and Cite
Wong, N.; Yanagida, T.; Spiel, C.; Graf, D. The Association between Appetitive Aggression and Social Media Addiction Mediated by Cyberbullying: The Moderating Role of Inclusive Norms. Int. J. Environ. Res. Public Health 2022, 19, 9956. https://doi.org/10.3390/ijerph19169956
Wong N, Yanagida T, Spiel C, Graf D. The Association between Appetitive Aggression and Social Media Addiction Mediated by Cyberbullying: The Moderating Role of Inclusive Norms. International Journal of Environmental Research and Public Health. 2022; 19(16):9956. https://doi.org/10.3390/ijerph19169956
Chicago/Turabian StyleWong, Natalie, Takuya Yanagida, Christiane Spiel, and Daniel Graf. 2022. "The Association between Appetitive Aggression and Social Media Addiction Mediated by Cyberbullying: The Moderating Role of Inclusive Norms" International Journal of Environmental Research and Public Health 19, no. 16: 9956. https://doi.org/10.3390/ijerph19169956
APA StyleWong, N., Yanagida, T., Spiel, C., & Graf, D. (2022). The Association between Appetitive Aggression and Social Media Addiction Mediated by Cyberbullying: The Moderating Role of Inclusive Norms. International Journal of Environmental Research and Public Health, 19(16), 9956. https://doi.org/10.3390/ijerph19169956
