Manufacturer’s Encroachment and Carbon Emission Reduction Decisions Considering Cap-and-Trade Regulation and Consumers’ Low-Carbon Preference
Abstract
:1. Introduction
2. Literature Review
2.1. Supply Chain Management under the Cap-and-Trade Regulation
2.2. Manufacturer’s Encroachment Decision
3. Modeling Framework
3.1. Supply Chain Structure
3.2. Cap-and-Trade Regulation
3.3. Demand Function
3.4. Game Sequence
4. The Main Result
4.1. Benchmark Case: No Encroachment with Laissez-Faire (Unregulated Markets) (NU)
4.2. No Encroachment with Regulation (NR)
4.3. Encroachment with Laissez-Faire (EU)
4.4. Encroachment with Regulation (ER)
4.5. Equilibrium Analysis
5. Numerical Analyses
5.1. Impact of on the Carbon Emission Levels and Supply Chain Member’s Profits Considering
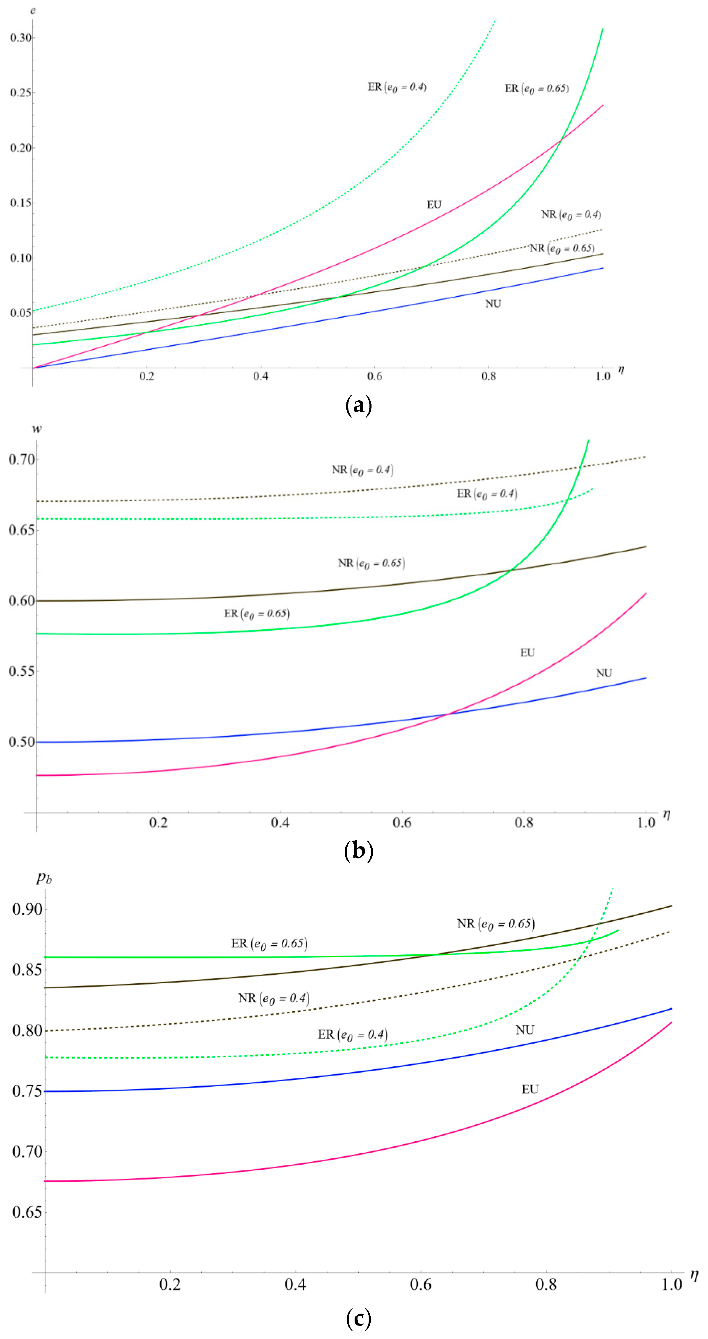
5.2. Impact of and on the Carbon Emission Levels
5.3. The Impact of and on the Optimal Manufacturer’s Profits When the Total Carbon Quota Is Insufficient () and Sufficient ()
5.4. Impact of Cost Coefficient of Emission Reduction in Different Scenarios
5.5. Impact of Consumer’s Online Channel Preference in Different Scenarios
5.6. Impact of Product Substitutions and Commission Rates in the Two Encroachment Scenarios
6. Discussion
7. Conclusions
- (1)
- The encroachment decision is always profitable for the manufacturer when the government decides not to implement cap-and-trade regulation, and the retailer always loses profit. When the carbon quota is sufficient, cap-and-trade regulation is always beneficial to the manufacturer because trading excess carbon quota can gain more profit. Moreover, when the government’s carbon quota is insufficient, the manufacturer’s encroachment decision depends on the initial unit amount of carbon emissions and unit carbon price. As a result, an increase in the unit carbon price is not always bad for the manufacturer who has encroached into the market. Managers of the manufacturer should care about the initial unit amount of carbon emissions and the unit carbon price policy to avoid profit decrease.
- (2)
- Consumers’ low-carbon preference and the unit carbon price have a joint impact on carbon emission reduction levels. The carbon emission reduction in encroachment is always higher than in the no-encroachment scenario without cap-and-trade regulation. The manufacturer’s carbon emission reduction in the no-encroachment scenario is higher than in the encroachment scenario if the consumers’ low-carbon preference is low. With the consumers’ low-carbon preference increasing, manufacturers who encroach would have higher carbon emission reduction. Unless the unit carbon price exceeds a certain threshold, relatively high consumer’s low-carbon preference in the encroachment supply chain could more effectively encourage the manufacturer to reduce carbon emissions than in the no-encroachment supply chain.
- (3)
- Consumers with a high level of low-carbon preference can benefit all three members. Additionally, under the cap-and-trade regulation, the manufacturer’s encroachment decision can alleviate the wholesale price pressure with the increasing consumers’ low-carbon preference. This conclusion indicates that making more consumers cultivate low-carbon consciousness is an important issue because it benefits both the chain members’ profit and the carbon neutrality achievement of countries. The online platform’s profit increase with the consumer’s low-carbon preference. It indicates that online platform managers should enhance the environmental supervision of their suppliers.
- (4)
- The commission rate, online channel preference, and product substitution influence the platform’s profits. For commission rates, platform profit to increase first and then decrease if the commission rate is relatively high. For channel preference, higher online channel preference would attract more consumers to switch from retail to online platforms, and the platform profit increases with more consumers prefer the online channel. For product substitution, cap-and-trade regulation increases the chain members’ carbon emissions reduction levels and profits. However, it would slightly decrease platform profits if both FB and NB products become more substitutes.
Supplementary Materials
Author Contributions
Funding
Institutional Review Board Statement
Informed Consent Statement
Data Availability Statement
Acknowledgments
Conflicts of Interest
References
- Anand, K.; Giraud-Carrier, F. Pollution Regulation of Competitive Markets. Manag. Sci. 2020, 66, 4193–4206. [Google Scholar] [CrossRef]
- Ding, H.; Zhao, Q.; An, Z.; Tang, O. Collaborative mechanism of a sustainable supply chain with environmental constraints and carbon caps. Int. J. Prod. Econ. 2016, 181, 191–207. [Google Scholar] [CrossRef]
- National Bereau of Statistics of China. Available online: http://www.stats.gov.cn/tjsj/ndsj/2021/indexch.htm (accessed on 12 August 2022).
- Wittneben, B. Exxon is right: Let us re-examine our choice for a cap-and-trade system over a carbon tax. Energy Policy 2009, 37, 2462–2464. [Google Scholar] [CrossRef]
- Drake, D.; Kleindorfer, P.; Van Wassenhove, L. Technology Choice and Capacity Portfolios under Emissions Regulation. Prod. Oper. Manag. 2016, 25, 1006–1025. [Google Scholar] [CrossRef]
- Benjaafar, S.; Li, Y.; Daskin, M. Carbon Footprint and the Management of Supply Chains: Insights from Simple Models. IEEE Trans. Autom. Sci. Eng. 2013, 10, 99–116. [Google Scholar] [CrossRef]
- Turki, S.; Sauvey, C.; Rezg, N. Modelling and optimization of a manufacturing/remanufacturing system with storage facility under carbon cap and trade policy. J. Clean. Prod. 2018, 193, 441–458. [Google Scholar] [CrossRef]
- Xu, X.; He, P.; Zhang, S. Channel addition from marketplace or reselling under regional carbon cap-and-trade regulation. Int. J. Prod. Econ. 2021, 236, 108–130. [Google Scholar] [CrossRef]
- Xue, K.; Sun, G. Impacts of Supply Chain Competition on Firms’ Carbon Emission Reduction and Social Welfare under Cap-and-Trade Regulation. Int. J. Environ. Res. Public Health 2022, 19, 3226. [Google Scholar] [CrossRef]
- Mondal, C.; Giri, B. Retailers’ competition and cooperation in a closed-loop green supply chain under governmental intervention and cap-and-trade policy. Oper. Res. 2020, 22, 859–894. [Google Scholar] [CrossRef]
- Tesla First Quarter Report. Available online: https://ir.tesla.com/#tab-quarterly-disclosure (accessed on 11 June 2022).
- Chen, J.; Liang, L.; Yao, D. Factory encroachment and channel selection in an outsourced supply chain. Int. J. Prod. Econ. 2019, 215, 73–83. [Google Scholar] [CrossRef]
- Zhang, Z.; Song, H.; Gu, X.; Shi, V.; Zhu, J. How to compete with a supply chain partner: Retailer’s store brand vs. manufacturer’s encroachment. Omega 2021, 103, 102412. [Google Scholar] [CrossRef]
- Pinduoduo Inc. Annual Report. Available online: https://investor.pinduoduo.com/index.php/financial-information/annual-reports (accessed on 11 June 2022).
- Wall Street Journal. Franchisees Resist Poaching via Software, Kiosks, Internet. 30 October 1995. Available online: https://apnews.com/article/dcbd6623cdbbcb7697c9be1caa72e9f2 (accessed on 11 June 2022).
- ‘Green’ Goods Get Red Flags. The Wall Street Journal. Available online: https://www.wsj.com/articles/SB10001424052702304506904575180210758367310 (accessed on 12 August 2022).
- Unilever. Available online: https://www.unilever.com/news/press-and-media/press-releases/2017/report-shows-a-third-of-consumers-prefer-sustainable-brands/ (accessed on 12 August 2022).
- Xu, X.; Zhang, M.; Chen, L.; Yu, Y. The region-cap allocation and delivery time decision in the marketplace mode under the cap-and-trade regulation. Int. J. Prod. Econ. 2022, 247, 108407. [Google Scholar] [CrossRef]
- Hua, Y.; Dong, F. China’s Carbon Market Development and Carbon Market Connection: A Literature Review. Energies 2019, 12, 1663. [Google Scholar] [CrossRef] [Green Version]
- Liu, Z.; Wan, M.D.; Zheng, X.X.; LennyKoh, S.C. Fairness concerns and extended producer responsibility transmission in a circular supply chain. Ind. Mark. Manag. 2022, 102, 216–228. [Google Scholar] [CrossRef]
- Liu, Z.; Zheng, X.; Li, D.; Liao, C.; Sheu, J. A novel cooperative game-based method to coordinate a sustainable supply chain under psychological uncertainty in fairness concerns. Transp. Res. Part E Logist. Transp. Rev. 2021, 147, 102237. [Google Scholar] [CrossRef]
- Yang, L.; Ji, J.N.; Wang, M.Z.; Wang, Z.Z. The manufacturer’s joint decisions of channel selections and carbon emission reductions under the cap-and-trade regulation. J. Clean. Prod. 2018, 193, 506–523. [Google Scholar] [CrossRef]
- Liu, J.; Ke, H. Firms’ preferences for retailing formats considering one manufacturer’s emission reduction investment. Int. J. Prod. Res. 2020, 59, 3062–3083. [Google Scholar] [CrossRef]
- Ji, T.; Xu, X.; Yan, X.; Yu, Y. The production decisions and cap setting with wholesale price and revenue sharing contracts under cap-and-trade regulation. Int. J. Prod. Res. 2020, 58, 128–147. [Google Scholar] [CrossRef]
- Yu, Y.; Li, X.; Xu, X. Correction to: Reselling or marketplace mode for an online platform: The choice between cap-and-trade and carbon tax regulation. Ann. Oper. Res. 2022, 310, 293–329. [Google Scholar] [CrossRef]
- Chiang, W.; Chhajed, D.; Hess, J. Direct Marketing, Indirect Profits: A Strategic Analysis of Dual-Channel Supply-Chain Design. Manag. Sci. 2003, 49, 1–20. [Google Scholar] [CrossRef] [Green Version]
- Arya, A.; Mittendorf, B.; Sappington, D.E. The bright side of supplier encroachment. Mark. Sci. 2007, 26, 651–659. [Google Scholar] [CrossRef]
- Cai, G. Channel Selection and Coordination in Dual-Channel Supply Chains. J. Retail. 2010, 86, 22–36. [Google Scholar] [CrossRef]
- Carrillo, J.; Vakharia, A.; Wang, R. Environmental implications for online retailing. Eur. J. Oper. Res. 2014, 239, 744–755. [Google Scholar] [CrossRef]
- Ji, J.; Zhang, Z.; Yang, L. Comparisons of initial carbon allowance allocation rules in an O2O retail supply chain with the cap-and-trade regulation. Int. J. Prod. Econ. 2017, 187, 68–84. [Google Scholar] [CrossRef]
- Ji, J.N.; Zhang, Z.Y.; Yang, L. Carbon emission reduction decisions in the retail-/dual-channel supply chain with consumers’ preference. J. Clean. Prod. 2017, 141, 852–867. [Google Scholar] [CrossRef]
- Xu, L.; Wang, C.; Zhao, J. Decision and coordination in the dual-channel supply chain considering cap-and-trade regulation. J. Clean. Prod. 2018, 197, 551–561. [Google Scholar] [CrossRef]
- Qi, Q.; Wang, J.; Xu, J. A Dual-Channel Supply Chain Coordination under Carbon Cap-and-Trade Regulation. Int. J. Environ. Res. Public Health 2018, 15, 1316. [Google Scholar] [CrossRef] [Green Version]
- Zhang, L.; Yao, J.; Xu, L. Emission reduction and market encroachment: Whether the manufacturer opens a direct channel or not? J. Clean. Prod. 2020, 269, 121932. [Google Scholar] [CrossRef]
- Wang, Z.; Wu, Q. Carbon emission reduction and product collection decisions in the closed-loop supply chain with cap-and-trade regulation. Int. J. Prod. Res. 2020, 59, 4359–4383. [Google Scholar] [CrossRef]
- Kushwaha, S.; Ghosh, A.; Rao, A. Collection activity channels selection in a reverse supply chain under a carbon cap-and-trade regulation. J. Clean. Prod. 2020, 260, 121034. [Google Scholar] [CrossRef]
- Geng, X.; Tan, Y.; Wei, L. How Add-on Pricing Interacts with Distribution Contracts. Prod. Oper. Manag. 2018, 27, 605–623. [Google Scholar] [CrossRef]
- Zhang, Z.; Xu, H.; Chen, K.; Zhao, Y.; Liu, Z. Channel mode selection for an e-platform supply chain in the presence of a secondary marketplace. Eur. J. Oper. Res. 2022, in press. [Google Scholar] [CrossRef]
- Ghosh, S.; Seikh, M.; Chakrabortty, M. Analyzing a stochastic dual-channel supply chain under consumers’ low carbon preferences and cap-and-trade regulation. Comput. Ind. Eng. 2020, 149, 106765. [Google Scholar] [CrossRef]
- JD Environmental Social and Government Report. Available online: https://ir.jd.com/static-files/b83d0a39-6e0a-4984-825a-db55b86f104b (accessed on 11 June 2022).
- Hartman, R.; Wheeler, D.; Singh, M. The cost of air pollution abatement. Appl. Econ. 1997, 29, 759–774. [Google Scholar] [CrossRef]














| Papers | Dual Channel | Platform | Cap-and-Trade Regulation | Products |
|---|---|---|---|---|
| Anand et al., 2020 [1] | No | No | Yes | n |
| Ji et al., 2017 [31] | Yes | No | Yes | 1 |
| Chen et al., 2019 [12] | Yes | No | No | 2 |
| Liu et al., 2020 [23] | No | Yes | Yes | 1 |
| Xu et al., 2022 [18] | No | Yes | Yes | 1 |
| Xu et al., 2021 [8] | Yes | Yes | Yes | 1 |
| Xu et al., 2018 [32] | Yes | No | Yes | 1 |
| Yang et al., 2018 [22] | Yes | No | Yes | 1 |
| Yu et al., 2022 [25] | No | Yes | Yes | 1 |
| Drake et al., 2016 [5] | No | No | Yes | n |
| Zhang et al., 2020 [34] | Yes | No | No | 2 |
| This research | Yes | Yes | Yes | 2 |
| (a) Encroachment occurs without cap-and-trade regulation | |||||||||||
| 0.4 | 0.5 | 0.05 | 0.134 | 0.526 | 0.716 | 0.163 | 0.328 | 0.259 | 0.06 | 0.16 | 0.0027 |
| 0.1 | 0.126 | 0.521 | 0.717 | 0.164 | 0.299 | 0.262 | 0.061 | 0.156 | 0.0049 | ||
| 0.2 | 0.111 | 0.511 | 0.721 | 0.166 | 0.237 | 0.269 | 0.064 | 0.15 | 0.0079 | ||
| 0.3 | 0.098 | 0.501 | 0.748 | 0.17 | 0.166 | 0.277 | 0.068 | 0.145 | 0.0085 | ||
| 1 | 0.05 | 0.112 | 0.509 | 0.676 | 0.273 | 0.228 | 0.267 | 0.053 | 0.175 | 0.003 | |
| 0.1 | 0.107 | 0.503 | 0.677 | 0.277 | 0.205 | 0.274 | 0.056 | 0.171 | 0.0056 | ||
| 0.2 | 0.096 | 0.49 | 0.682 | 0.286 | 0.151 | 0.29 | 0.062 | 0.162 | 0.0085 | ||
| 0.3 | 0.086 | 0.478 | 0.709 | 0.294 | 0.086 | 0.308 | 0.071 | 0.154 | 0.0076 | ||
| 0.7 | 0.5 | 0.05 | 0.114 | 0.512 | 0.687 | 0.243 | 0.238 | 0.265 | 0.055 | 0.189 | 0.0029 |
| 0.1 | 0.109 | 0.506 | 0.688 | 0.246 | 0.214 | 0.271 | 0.058 | 0.171 | 0.0053 | ||
| 0.2 | 0.09 | 0.494 | 0.693 | 0.253 | 0.161 | 0.284 | 0.063 | 0.159 | 0.0081 | ||
| 0.3 | 0.088 | 0.483 | 0.719 | 0.264 | 0.097 | 0.299 | 0.071 | 0.151 | 0.0036 | ||
| 1 | 0.05 | 0.104 | 0.502 | 0.6 | 0.415 | 0.216 | 0.351 | 0.036 | 0.21 | 0.0045 | |
| 0.1 | 0.1 | 0.492 | 0.602 | 0.421 | 0.183 | 0.349 | 0.042 | 0.202 | 0.0077 | ||
| 0.2 | 0.09 | 0.474 | 0.609 | 0.437 | 0.107 | 0.345 | 0.056 | 0.189 | 0.0093 | ||
| 0.3 | 0.082 | 0.457 | 0.641 | 0.46 | 0.015 | 0.398 | 0.073 | 0.177 | 0.002 | ||
| (b) Encroachment occurs with cap-and-trade regulation | |||||||||||
| 0.4 | 0.5 | 0.05 | 0.293 | 0.602 | 0.834 | 0.242 | 0.26 | 0.41 | 0.06 | 0.275 | 0.005 |
| 0.1 | 0.404 | 0.599 | 0.834 | 0.246 | 0.265 | 0.717 | 0.062 | 0.267 | 0.018 | ||
| 0.2 | 0.619 | 0.58 | 0.823 | 0.243 | 0.274 | 1.367 | 0.067 | 0.24 | 0.067 | ||
| 0.3 | 0.788 | 0.548 | 0.799 | 0.225 | 0.282 | 1.954 | 0.071 | 0.202 | 0.132 | ||
| 1 | 0.05 | 0.175 | 0.591 | 0.792 | 0.353 | 0.268 | 0.11 | 0.05 | 0.295 | 0.002 | |
| 0.1 | 0.157 | 0.587 | 0.796 | 0.362 | 0.278 | 0.051 | 0.058 | 0.292 | 0.002 | ||
| 0.2 | 0.118 | 0.583 | 0.806 | 0.386 | 0.299 | 0 | 0.067 | 0.286 | 0.006 | ||
| 0.3 | 0.073 | 0.583 | 0.827 | 0.422 | 0.325 | 0 | 0.079 | 0.284 | 0.034 | ||
| 0.7 | 0.5 | 0.05 | 0.17 | 0.593 | 0.803 | 0.326 | 0.266 | 0.559 | 0.056 | 0.291 | 0.002 |
| 0.1 | 0.147 | 0.59 | 0.806 | 0.335 | 0.022 | 0.274 | 0.06 | 0.287 | 0.001 | ||
| 0.2 | 0.098 | 0.587 | 0.818 | 0.358 | 0 | 0.29 | 0 | 0.283 | −0.01 | ||
| 0.3 | 0.04 | 0.59 | 0.839 | 0.394 | 0 | 0.315 | 0 | 0.285 | −0.04 | ||
| 1 | 0.05 | 0.182 | 0.585 | 0.72 | 0.502 | 0.284 | 0.155 | 0.037 | 0.33 | 0.004 | |
| 0.1 | 0.172 | 0.578 | 0.721 | 0.513 | 0.309 | 0.105 | 0.044 | 0.323 | 0.005 | ||
| 0.2 | 0.151 | 0.566 | 0.734 | 0.544 | 0.365 | 0 | 0.06 | 0.31 | 0.001 | ||
| 0.3 | 0.127 | 0.559 | 0.758 | 0.588 | 0.433 | 0 | 0.087 | 0.302 | 0.029 | ||
| Four Different Scenarios | Details |
|---|---|
| NU |
|
| NR |
|
| EU |
|
| ER |
|
Publisher’s Note: MDPI stays neutral with regard to jurisdictional claims in published maps and institutional affiliations. |
© 2022 by the authors. Licensee MDPI, Basel, Switzerland. This article is an open access article distributed under the terms and conditions of the Creative Commons Attribution (CC BY) license (https://creativecommons.org/licenses/by/4.0/).
Share and Cite
Ding, F.; Lu, Z.; Jin, M.; Sun, L. Manufacturer’s Encroachment and Carbon Emission Reduction Decisions Considering Cap-and-Trade Regulation and Consumers’ Low-Carbon Preference. Int. J. Environ. Res. Public Health 2022, 19, 10407. https://doi.org/10.3390/ijerph191610407
Ding F, Lu Z, Jin M, Sun L. Manufacturer’s Encroachment and Carbon Emission Reduction Decisions Considering Cap-and-Trade Regulation and Consumers’ Low-Carbon Preference. International Journal of Environmental Research and Public Health. 2022; 19(16):10407. https://doi.org/10.3390/ijerph191610407
Chicago/Turabian StyleDing, Fan, Zhangping Lu, Mengfan Jin, and Licheng Sun. 2022. "Manufacturer’s Encroachment and Carbon Emission Reduction Decisions Considering Cap-and-Trade Regulation and Consumers’ Low-Carbon Preference" International Journal of Environmental Research and Public Health 19, no. 16: 10407. https://doi.org/10.3390/ijerph191610407
APA StyleDing, F., Lu, Z., Jin, M., & Sun, L. (2022). Manufacturer’s Encroachment and Carbon Emission Reduction Decisions Considering Cap-and-Trade Regulation and Consumers’ Low-Carbon Preference. International Journal of Environmental Research and Public Health, 19(16), 10407. https://doi.org/10.3390/ijerph191610407
