Spatio-Temporal Characteristics of the Supply and Demand Coupling Coordination of Elderly Care Service Resources in China
Abstract
1. Introduction
2. Literature Review
3. Materials and Methods
3.1. Index System
3.2. Data Collection
3.3. Methods
3.3.1. BP Neural Network Time Series Prediction
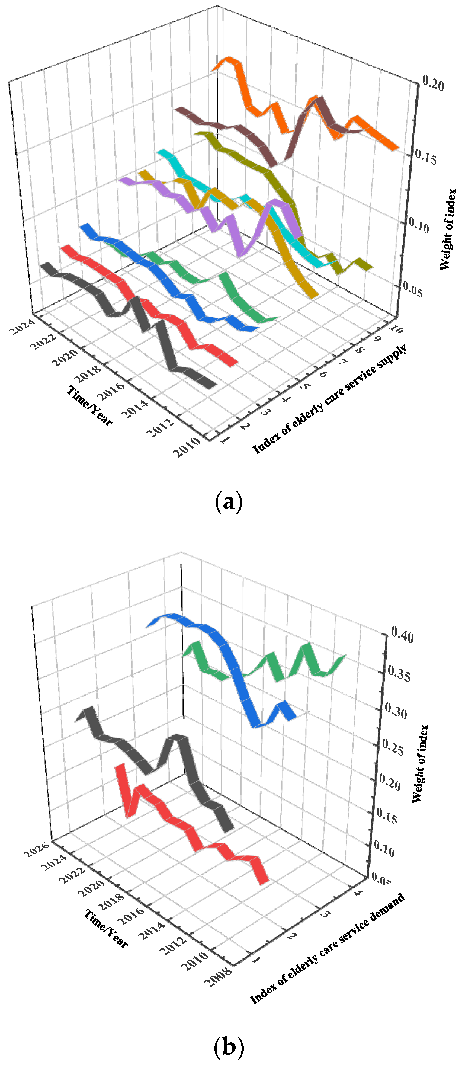
3.3.2. The Entropy Weight Method
3.3.3. The Coupling Coordination Model
3.3.4. The Spatial Autocorrelation Model
4. Results
5. Discussion
5.1. Analysis Based on Actual Data from 2010 to 2019
5.2. Analysis Based on Forecast Data from 2020 to 2024
6. Conclusions
- (1)
- Among all indicators, the building area of pension service institution, the number of elderly enjoying the old-age allowance, elderly welfare spending, the level of subsidy for ageing agencies, the number of community pension service institutions and the number of beds for community day care have a great influence on the coupling level of the supply and demand of elderly care service resources. The government can focus on improving the level of these indicators, so as to improve the coupling coordination level of elderly service resource supply and demand in this region.
- (2)
- From the perspective of the coupling coordination degree of the supply and demand of the elderly service resources in each region, the coupling growth in each region is slow. In terms of spatial correlation, there is a weak positive correlation effect in each region, and the eight regions in the southeast are characterized by high–high aggregation in spatial autocorrelation.
- (3)
- In most regions in China, the coupling degree between the supply and demand of pension service resources is barely imbalanced and close to imbalanced, and the regional differences are obvious. This shows that the coupling coordination degree of the supply and demand of elderly care service resources in the western and northern regions is lower than that in the eastern and southern regions.
Author Contributions
Funding
Institutional Review Board Statement
Informed Consent Statement
Data Availability Statement
Conflicts of Interest
Appendix A




Appendix B
| 2010 | 2011 | 2012 | 2013 | 2014 | 2015 | 2016 | 2017 | 2018 | 2019 | |
|---|---|---|---|---|---|---|---|---|---|---|
| X1 | 0.0574 | 0.0568 | 0.0562 | 0.0506 | 0.0802 | 0.0665 | 0.0857 | 0.0661 | 0.0606 | 0.0704 |
| X2 | 0.0642 | 0.0652 | 0.0649 | 0.0572 | 0.069 | 0.0681 | 0.063 | 0.0678 | 0.0632 | 0.0711 |
| X3 | 0.081 | 0.0759 | 0.0776 | 0.0685 | 0.0643 | 0.0747 | 0.0699 | 0.0767 | 0.0812 | 0.0792 |
| X4 | 0.0799 | 0.0718 | 0.0737 | 0.0775 | 0.09 | 0.0791 | 0.0714 | 0.0712 | 0.0759 | 0.0692 |
| X5 | 0.1302 | 0.1471 | 0.1455 | 0.1137 | 0.0946 | 0.1196 | 0.1026 | 0.115 | 0.1069 | 0.113 |
| X6 | 0.0785 | 0.084 | 0.0941 | 0.1112 | 0.1205 | 0.1233 | 0.112 | 0.1148 | 0.1167 | 0.0965 |
| X7 | 0.0968 | 0.0876 | 0.0898 | 0.0946 | 0.0995 | 0.1106 | 0.1053 | 0.1094 | 0.1006 | 0.096 |
| X8 | 0.1816 | 0.1766 | 0.1769 | 0.1914 | 0.1764 | 0.1396 | 0.1294 | 0.1398 | 0.1439 | 0.1459 |
| X9 | 0.0744 | 0.0763 | 0.0593 | 0.0693 | 0.06 | 0.0618 | 0.0929 | 0.1002 | 0.1085 | 0.1081 |
| X10 | 0.156 | 0.1589 | 0.1621 | 0.166 | 0.1454 | 0.1568 | 0.1678 | 0.139 | 0.1324 | 0.1507 |
| Y1 | 0.2106 | 0.2332 | 0.2312 | 0.2493 | 0.3004 | 0.2958 | 0.2462 | 0.2262 | 0.2355 | 0.242 |
| Y2 | 0.1021 | 0.1286 | 0.12 | 0.1083 | 0.1183 | 0.1081 | 0.0913 | 0.1145 | 0.1133 | 0.1111 |
| Y3 | 0.3175 | 0.3011 | 0.3163 | 0.2779 | 0.2671 | 0.2961 | 0.332 | 0.3568 | 0.3673 | 0.3692 |
| Y4 | 0.3697 | 0.3371 | 0.3324 | 0.3645 | 0.3141 | 0.3 | 0.3305 | 0.3025 | 0.2838 | 0.2778 |
| 2020 | 2021 | 2022 | 2023 | 2024 | |
|---|---|---|---|---|---|
| X1 | 0.0702 | 0.0695 | 0.0675 | 0.0622 | 0.0653 |
| X2 | 0.0711 | 0.0716 | 0.0713 | 0.0685 | 0.0712 |
| X3 | 0.0808 | 0.0826 | 0.0797 | 0.0752 | 0.0806 |
| X4 | 0.0717 | 0.0637 | 0.0589 | 0.0612 | 0.0615 |
| X5 | 0.1099 | 0.1146 | 0.1097 | 0.1031 | 0.1028 |
| X6 | 0.1122 | 0.1094 | 0.101 | 0.0969 | 0.1015 |
| X7 | 0.0993 | 0.1001 | 0.1001 | 0.1101 | 0.1112 |
| X8 | 0.1398 | 0.1388 | 0.135 | 0.1375 | 0.1382 |
| X9 | 0.1083 | 0.1103 | 0.1085 | 0.1161 | 0.1122 |
| X10 | 0.1365 | 0.1394 | 0.1684 | 0.1691 | 0.1555 |
| Y1 | 0.2469 | 0.2406 | 0.2373 | 0.2705 | 0.2445 |
| Y2 | 0.1259 | 0.1267 | 0.1351 | 0.0757 | 0.15 |
| Y3 | 0.3631 | 0.3663 | 0.3643 | 0.3559 | 0.3351 |
| Y4 | 0.2642 | 0.2664 | 0.2633 | 0.298 | 0.2703 |
References
- The Word Bank. 2020. Available online: https://data.worldbank.org.cn/ (accessed on 12 October 2021).
- National Health Commission of the People Republic of China. 2020. Available online: http://www.nhc.gov.cn/ (accessed on 5 April 2022).
- Krings, M.F.; van Wijngaarden, J.D.; Yuan, S.; Huijsman, R. China’s Elder Care Policies 1994–2020: A Narrative Document Analysis. Int. J. Environ. Res. Public Health 2022, 19, 6141. [Google Scholar] [CrossRef] [PubMed]
- Angel, R.; Angel, J.L. Who Will Care Us? Aging and Long--Term Care in a Multicultural America; NYU Press: New York, NY, USA, 1999. [Google Scholar]
- Wu, L.C.; Chou, M.Y.; Liang, C.K.; Lin, Y.T.; Ku, Y.C.; Wang, R.H. Association of home care needs and functional recovery among community-dwelling elderly hip fracture patients. Arch. Gerontol. Geriatr. 2013, 57, 383–388. [Google Scholar] [CrossRef] [PubMed]
- Zhang, Y.; Zhang, M.; Hu, H.; He, X. Research on Supply and Demand of Aged Services Resource Allocation in China: A System Dynamics Model. Systems 2022, 10, 59. [Google Scholar] [CrossRef]
- Aboagye, E.; Agyemang, O.S.; Tjerbo, T. Elderly Demand for Family-based Care and Support: Evidence from a Social Intervention Strategy. Glob. J. Health Sci. 2013, 6, 94–104. [Google Scholar] [CrossRef] [PubMed][Green Version]
- Gomi, I.; Fukushima, H.; Shiraki, M.; Miwa, Y.; Ando, T.; Takai, K.; Moriwaki, H. Relationship between serum albumin level and aging in community-dwelling self-supported elderly population. J. Nutr. Sci. Vitaminol. 2007, 53, 37. [Google Scholar] [CrossRef] [PubMed]
- Valkila, N.; Saari, A. The productivity impact of the voice link between elderly and nurses: An assisted living facility pilot. Arch. Gerontol. Geriatr. 2011, 52, e44–e49. [Google Scholar] [CrossRef]
- Cheung, J.C.; Kwan, A.Y.; Chan, S.S.; Ngan, R.M.; Ng, S.H.; Leung, E.M.; Lau, A. Quality of life in older adults: Benefits from caring services in Hong Kong. Soc. Indic. Res. 2005, 71, 291–334. [Google Scholar] [CrossRef]
- Pillemer, K.A.; Macadam, M.; Wolf, R.S. Services to families with dependent elders. J. Aging Soc. Policy 1989, 1, 67–88. [Google Scholar] [CrossRef]
- De Carvalho, I.A.; Epping-Jordan, J.; Pot, A.M.; Kelley, E.; Toro, N.; Thiyagarajan, J.A.; Beard, J. Organizing integrated health-care services to meet older people’s needs. Bull. World Health Organ. 2017, 95, 756–763. [Google Scholar] [CrossRef]
- Evashwick, C.; Rowe, G.; Diehr, P.; Branch, L. Factors explaining the use of health care services by the elderly. Health Serv. Res. 1984, 19, 357. [Google Scholar]
- Béland, F.; Hollander, M.J. Integrated models of care delivery for the frail elderly: International perspectives. Gac. Sanit. 2011, 25, 138–146. [Google Scholar] [CrossRef]
- Blanco-Encomienda, F.J.; Callejón-Céspedes, J. Current Challenges for Long-Term Care Management in Spain. Procedia Soc. Behav. Sci. 2013, 81, 264–269. [Google Scholar] [CrossRef][Green Version]
- Zhou, S.; Ni, Z.; Ogihara, A.; Wang, X. Behavioral Patterns of Supply and Demand Sides of Health Services for the Elderly in Sustainable Digital Transformation: A Mixed Methods Study. Int. J. Environ. Res. Public Health 2022, 19, 8221. [Google Scholar] [CrossRef]
- Soo-Young, K.; Moon, K.-J.; Soohyeon, J.; Do-Yup, K. An Study on the Gap Between Demands and Supplies of the Elderly Welfare Services in Local Government. J. Local Gov. Studis 2014, 26, 87–112. [Google Scholar] [CrossRef]
- Feng, Q.; Zhao, W.; Duan, B.; Hu, X.; Cherubini, F. Coupling trade-offs and supply-demand of ecosystem services (ES): A new opportunity for ES management. Geogr. Sustain. 2021, 2, 275–280. [Google Scholar] [CrossRef]
- Luo, L. Analysis of Coupling Coordination Degree between Big Health Industry and Pension Service. J. Healthc. Eng. 2022, 2022, 6427024. [Google Scholar] [CrossRef]
- Yang, Y.; Wang, R.; Tan, J.L. Coupling Coordination and Prediction Research of Tourism Industry Development and Ecological Environment in China. Discret. Dyn. Nat. Soc. 2021, 2021, 6647781. [Google Scholar] [CrossRef]
- Liu, X.; Nie, W. Study on the coupling coordination mechanism of green technology innovation, environmental regulation, and green finance. Environ. Sci. Pollut. Res. 2022, 2022, 1–14. [Google Scholar] [CrossRef]
- Wang, Q.; Mao, Z.; Xian, L.; Liang, Z. A study on the coupling coordination between tourism and the low-carbon city. Asia Pacific. J. Tour. Res. 2019, 24, 550–562. [Google Scholar]
- Li, Y.; Li, Y.; Zhou, Y.; Shi, Y.; Zhu, X. Investigation of a coupling model of coordination between urbanization and the environment. J. Environ. Manag. 2012, 98, 127–133. [Google Scholar] [CrossRef]
- Wu, J.; Fu, J.; Wang, H.; Zhao, Y.; Yi, T. Identifying Spatial Matching between the Supply and Demand of Medical Resource and Accessing Carrying Capacity: A Case Study of Shenzhen, China. Int. J. Environ. Res. Public Health 2022, 19, 2354. [Google Scholar] [CrossRef] [PubMed]
- Liu, D.; Kwan, M.P.; Kan, Z. Analyzing disparities in transit-based healthcare accessibility in the Chicago Metropolitan Area. Can. Geogr./Le Géographe Can. 2021, 66, 248–262. [Google Scholar] [CrossRef]
- Munoz, U.H.; Kallestal, C. Geographical accessibility and spatial coverage modeling of the primary health care network in the Western Province of Rwanda. Int. J. Health Geogr. 2012, 11, 1001–1007. [Google Scholar]
- Zhang, H.; Feng, J.; Zhang, Z.; Liu, K.; Gao, X.; Wang, Z. Regional spatial management based on supply–demand risk of ecosystem services—A case study of the fenghe river watershed. Int. J. Environ. Res. Public Health 2020, 17, 4112. [Google Scholar] [CrossRef] [PubMed]
- Ohashi, K.; Fujiwara, K.; Tanikawa, T.; Bando, K.; Aoki, T.; Ogasawara, K. Differences in spatial patterns of long-term care depending on severity in Hokkaido, Japan. Geospat. Health 2022, 17, 1007. [Google Scholar] [CrossRef] [PubMed]
- Domnich, A.; Arata, L.; Amicizia, D.; Signori, A.; Gasparini, R.; Panatto, D. Assessing spatial inequalities in accessing community pharmacies: A mixed geographically weighted approach. Geospat. Health 2016, 11, 240–250. [Google Scholar] [CrossRef] [PubMed]
- Wang, P.; Li, H.H.; Tan, S.W.; Huang, X.Y. Multivariate Global Sensitivity Analysis for Casing String Using Neural Network. Int. J. Comput. Methods 2020, 17, 1940015. [Google Scholar] [CrossRef]
- Wang, P.; Li, C.; Liu, F.; Zhou, H. Global sensitivity analysis of failure probability of structures with uncertainties of random variable and their distribution parameters. Eng. Comput. 2021, 2021, 1–19. [Google Scholar] [CrossRef]








| Subsystem | First-Class Index | Second-Class Index | Unit |
|---|---|---|---|
| Elderly care service supply system X | Human resources | X1 Number of employees in pension institutions at the end of the year | pp |
| X2 Number of community service center employees at the end of the year | pp | ||
| Material resources | X3 Number of pension institutions | pcs | |
| X4 Number of beds for pension | pcs | ||
| X5 Building area of pension institution | |||
| X6 Number of community pension institutions | pcs | ||
| X7 Number of community day care beds | pcs | ||
| Financial resources | X8 Number of elderly receiving the old-age allowance | pp | |
| X9 Expenditure of welfare funds for the elderly | RMB Million Yuan | ||
| X10 The level of subsidy provided by ageing agencies | yuan/pp·year |
| Subsystem | Index | Unit |
|---|---|---|
| Elderly care service demand system Y | Y1 Number of people aged over 65 | pp |
| Y2 elderly dependency ratio | % | |
| Y3 Disposable income | yuan | |
| Y4 Number of elderly in pension institutions at the end of the year | pp |
| Coupling Coordination Degree D | Coupling Coordination Level | Coordination Degree | Coupling Coordination Degree D | Coupling Coordination Level | Coordination Degree |
|---|---|---|---|---|---|
| [0, 0.1) | Extreme imbalance | Poor Coordination | [0.5, 0.6) | Barely balance | |
| [0.1, 0.2) | Serious imbalance | [0.6, 0.7) | Primary balance | Excellent Coordination | |
| [0.2, 0.3) | Moderate imbalance | [0.7, 0.8) | Moderate balance | ||
| [0.3, 0.4) | Mild imbalance | [0.8, 0.9) | Good balance | ||
| [0.4, 0.5) | Close to imbalance | Medium Coordination | [0.9, 1) | Excellent balance |
| 2010 | 2011 | 2012 | 2013 | 2014 | 2015 | 2016 | 2017 | 2018 | 2019 | Average | |
|---|---|---|---|---|---|---|---|---|---|---|---|
| Beijing | 0.6171 | 0.6162 | 0.5946 | 0.6075 | 0.5594 | 0.6172 | 0.6342 | 0.6312 | 0.6192 | 0.6455 | 0.6142 |
| Tianjin | 0.4328 | 0.4147 | 0.4171 | 0.3823 | 0.3677 | 0.3985 | 0.3857 | 0.3929 | 0.4367 | 0.4574 | 0.4086 |
| Hebei | 0.5573 | 0.5516 | 0.5824 | 0.6522 | 0.6368 | 0.6470 | 0.6189 | 0.6313 | 0.6437 | 0.6425 | 0.6164 |
| Shanxi | 0.3941 | 0.3823 | 0.3842 | 0.3675 | 0.3687 | 0.3908 | 0.4232 | 0.3838 | 0.4051 | 0.4090 | 0.3909 |
| Inner Mongoria | 0.3971 | 0.4063 | 0.3988 | 0.4011 | 0.4440 | 0.4289 | 0.4142 | 0.4365 | 0.4321 | 0.4171 | 0.4176 |
| Liaoning | 0.5365 | 0.5235 | 0.5397 | 0.5369 | 0.5314 | 0.5675 | 0.5363 | 0.5558 | 0.5684 | 0.5558 | 0.5452 |
| Jilin | 0.3621 | 0.3567 | 0.3374 | 0.3260 | 0.3059 | 0.3803 | 0.4199 | 0.4442 | 0.4562 | 0.4674 | 0.3856 |
| Heilongjiang | 0.3973 | 0.3945 | 0.3889 | 0.3834 | 0.3947 | 0.4436 | 0.4402 | 0.4764 | 0.4842 | 0.4763 | 0.4280 |
| Shanghai | 0.6962 | 0.6484 | 0.6519 | 0.6328 | 0.5963 | 0.6684 | 0.7225 | 0.7396 | 0.7514 | 0.7615 | 0.6869 |
| Jiangsu | 0.8455 | 0.8624 | 0.8904 | 0.8561 | 0.8643 | 0.8839 | 0.8568 | 0.8571 | 0.8678 | 0.8478 | 0.8632 |
| Zhejiang | 0.7020 | 0.7304 | 0.7231 | 0.6911 | 0.7175 | 0.7217 | 0.7128 | 0.7440 | 0.7576 | 0.7342 | 0.7234 |
| Anhui | 0.6421 | 0.6234 | 0.6298 | 0.6286 | 0.5901 | 0.5750 | 0.5520 | 0.5889 | 0.6011 | 0.5991 | 0.6030 |
| Fujian | 0.4133 | 0.4246 | 0.4532 | 0.4228 | 0.4109 | 0.4288 | 0.4248 | 0.4366 | 0.4438 | 0.4532 | 0.4312 |
| Jiangxi | 0.5487 | 0.5261 | 0.4997 | 0.5135 | 0.4901 | 0.5054 | 0.4325 | 0.5138 | 0.5240 | 0.5293 | 0.5083 |
| Shandong | 0.8767 | 0.8566 | 0.8292 | 0.8093 | 0.8188 | 0.8053 | 0.7711 | 0.7351 | 0.7822 | 0.7810 | 0.8065 |
| Henan | 0.6554 | 0.6386 | 0.6328 | 0.6361 | 0.5958 | 0.5576 | 0.5382 | 0.5509 | 0.5673 | 0.6744 | 0.6047 |
| Hubei | 0.5944 | 0.6003 | 0.6097 | 0.5921 | 0.5801 | 0.6390 | 0.6269 | 0.6297 | 0.6471 | 0.6571 | 0.6176 |
| Hunan | 0.5745 | 0.5713 | 0.5839 | 0.5675 | 0.5465 | 0.5911 | 0.5757 | 0.5836 | 0.5880 | 0.6126 | 0.5795 |
| Guangdong | 0.6478 | 0.6591 | 0.6960 | 0.6747 | 0.6753 | 0.7002 | 0.7022 | 0.7305 | 0.7331 | 0.7243 | 0.6943 |
| Guangxi | 0.4428 | 0.4431 | 0.4191 | 0.4447 | 0.5025 | 0.4746 | 0.4459 | 0.4430 | 0.4335 | 0.4178 | 0.4467 |
| Hainan | 0.3138 | 0.3149 | 0.3250 | 0.3038 | 0.2657 | 0.3102 | 0.3110 | 0.2712 | 0.2364 | 0.2855 | 0.2938 |
| Chongqing | 0.5240 | 0.5367 | 0.5362 | 0.5054 | 0.4556 | 0.4953 | 0.4805 | 0.4864 | 0.4937 | 0.5079 | 0.5022 |
| Sichuan | 0.6983 | 0.7056 | 0.7095 | 0.7110 | 0.6492 | 0.7612 | 0.7377 | 0.7404 | 0.7361 | 0.7299 | 0.7179 |
| Guizhou | 0.3331 | 0.3519 | 0.4020 | 0.4270 | 0.3720 | 0.4631 | 0.4448 | 0.4434 | 0.4634 | 0.4438 | 0.4145 |
| Yunnan | 0.4568 | 0.4513 | 0.4402 | 0.4134 | 0.3528 | 0.4305 | 0.4197 | 0.3942 | 0.3886 | 0.3950 | 0.4143 |
| Tibet | 0.1660 | 0.1412 | 0.1303 | 0.0884 | 0.0796 | 0.1115 | 0.1424 | 0.1306 | 0.1473 | 0.0789 | 0.1216 |
| Shaanxi | 0.4415 | 0.4638 | 0.5136 | 0.5126 | 0.4471 | 0.4632 | 0.4925 | 0.4938 | 0.5042 | 0.5155 | 0.4848 |
| Gansu | 0.3080 | 0.3366 | 0.3440 | 0.3445 | 0.2879 | 0.3064 | 0.3443 | 0.3512 | 0.3581 | 0.3315 | 0.3313 |
| Qinghai | 0.2170 | 0.2193 | 0.1912 | 0.2117 | 0.1851 | 0.2047 | 0.2095 | 0.2230 | 0.2136 | 0.2229 | 0.2098 |
| Ningxia | 0.2203 | 0.1951 | 0.1853 | 0.1837 | 0.1721 | 0.2034 | 0.2163 | 0.2420 | 0.2318 | 0.2279 | 0.2078 |
| Xinjiang | 0.2856 | 0.3294 | 0.3043 | 0.3299 | 0.2811 | 0.3029 | 0.3027 | 0.3026 | 0.3246 | 0.3034 | 0.3067 |
| 2020 | 2021 | 2022 | 2023 | 2024 | Average | |
|---|---|---|---|---|---|---|
| Beijing | 0.6186 | 0.6353 | 0.6407 | 0.6443 | 0.6281 | 0.6334 |
| Tianjin | 0.4243 | 0.4178 | 0.4189 | 0.4176 | 0.4302 | 0.4218 |
| Hebei | 0.6131 | 0.6224 | 0.6181 | 0.6383 | 0.6314 | 0.6247 |
| Shanxi | 0.3841 | 0.3954 | 0.3878 | 0.3973 | 0.3901 | 0.3909 |
| Inner Mongoria | 0.3968 | 0.4039 | 0.3926 | 0.4086 | 0.4006 | 0.4005 |
| Liaoning | 0.5317 | 0.5346 | 0.5096 | 0.5324 | 0.5347 | 0.5286 |
| Jilin | 0.4435 | 0.4476 | 0.4298 | 0.4408 | 0.4283 | 0.4380 |
| Heilongjiang | 0.4329 | 0.4559 | 0.4399 | 0.4602 | 0.4608 | 0.4499 |
| Shanghai | 0.7021 | 0.7049 | 0.7008 | 0.7145 | 0.7161 | 0.7077 |
| Jiangsu | 0.7783 | 0.8069 | 0.7885 | 0.8241 | 0.8272 | 0.8050 |
| Zhejiang | 0.6878 | 0.6906 | 0.6661 | 0.6741 | 0.6915 | 0.6820 |
| Anhui | 0.5757 | 0.5840 | 0.5670 | 0.5938 | 0.5870 | 0.5815 |
| Fujian | 0.4209 | 0.4369 | 0.4312 | 0.4429 | 0.4365 | 0.4337 |
| Jiangxi | 0.4871 | 0.4977 | 0.4905 | 0.5112 | 0.5088 | 0.4991 |
| Shandong | 0.7407 | 0.7456 | 0.7416 | 0.7625 | 0.7653 | 0.7511 |
| Henan | 0.6262 | 0.6468 | 0.6686 | 0.7229 | 0.7040 | 0.6737 |
| Hubei | 0.6239 | 0.6263 | 0.6162 | 0.6499 | 0.6392 | 0.6311 |
| Hunan | 0.5719 | 0.5886 | 0.5759 | 0.5987 | 0.5826 | 0.5835 |
| Guangdong | 0.6869 | 0.7199 | 0.7000 | 0.7246 | 0.7157 | 0.7094 |
| Guangxi | 0.3907 | 0.3999 | 0.3890 | 0.3949 | 0.3921 | 0.3933 |
| Hainan | 0.2560 | 0.2941 | 0.2920 | 0.3140 | 0.2956 | 0.2903 |
| Chongqing | 0.4785 | 0.4752 | 0.4649 | 0.4807 | 0.4917 | 0.4782 |
| Sichuan | 0.7036 | 0.7183 | 0.6820 | 0.7039 | 0.6900 | 0.6996 |
| Guizhou | 0.4261 | 0.4290 | 0.4044 | 0.4110 | 0.4213 | 0.4184 |
| Yunnan | 0.3501 | 0.3764 | 0.3641 | 0.3805 | 0.3683 | 0.3679 |
| Tibet | 0.0510 | 0.1905 | 0.0670 | 0.0710 | 0.0659 | 0.0891 |
| Shaanxi | 0.5007 | 0.5016 | 0.4701 | 0.4877 | 0.4872 | 0.4895 |
| Gansu | 0.2635 | 0.2693 | 0.3045 | 0.3087 | 0.3414 | 0.2975 |
| Qinghai | 0.3370 | 0.2944 | 0.3056 | 0.2909 | 0.3141 | 0.3084 |
| Ningxia | 0.1758 | 0.2305 | 0.2419 | 0.2377 | 0.2479 | 0.2268 |
| Xinjiang | 0.4015 | 0.3517 | 0.3361 | 0.3150 | 0.3548 | 0.3518 |
| Year | 2010 | 2011 | 2012 | 2013 | 2014 |
|---|---|---|---|---|---|
| Moran’s I | 0.186 | 0.201 | 0.146 | 0.143 | 0.153 |
| Year | 2015 | 2016 | 2017 | 2018 | 2019 |
| Moran’s I | 0.107 | 0.186 | 0.201 | 0.146 | 0.143 |
| Year | 2020 | 2021 | 2022 | 2023 | 2024 |
| Moran’s I | 0.153 | 0.107 | 0.186 | 0.201 | 0.146 |
Publisher’s Note: MDPI stays neutral with regard to jurisdictional claims in published maps and institutional affiliations. |
© 2022 by the authors. Licensee MDPI, Basel, Switzerland. This article is an open access article distributed under the terms and conditions of the Creative Commons Attribution (CC BY) license (https://creativecommons.org/licenses/by/4.0/).
Share and Cite
Zhang, Y.; Zhang, M.; Hu, H.; He, X. Spatio-Temporal Characteristics of the Supply and Demand Coupling Coordination of Elderly Care Service Resources in China. Int. J. Environ. Res. Public Health 2022, 19, 10397. https://doi.org/10.3390/ijerph191610397
Zhang Y, Zhang M, Hu H, He X. Spatio-Temporal Characteristics of the Supply and Demand Coupling Coordination of Elderly Care Service Resources in China. International Journal of Environmental Research and Public Health. 2022; 19(16):10397. https://doi.org/10.3390/ijerph191610397
Chicago/Turabian StyleZhang, Yijie, Mingli Zhang, Haiju Hu, and Xiaolong He. 2022. "Spatio-Temporal Characteristics of the Supply and Demand Coupling Coordination of Elderly Care Service Resources in China" International Journal of Environmental Research and Public Health 19, no. 16: 10397. https://doi.org/10.3390/ijerph191610397
APA StyleZhang, Y., Zhang, M., Hu, H., & He, X. (2022). Spatio-Temporal Characteristics of the Supply and Demand Coupling Coordination of Elderly Care Service Resources in China. International Journal of Environmental Research and Public Health, 19(16), 10397. https://doi.org/10.3390/ijerph191610397

