The Association between the Burden of PM2.5-Related Neonatal Preterm Birth and Socio-Demographic Index from 1990 to 2019: A Global Burden Study
Abstract
:1. Introduction
2. Methods
2.1. Data
2.2. Statistics
3. Results
3.1. Global Burden of PM2.5-Related Preterm Birth in 1990–2019
3.2. PM2.5-Related Preterm Birth Burden by Socio-Demographic Index Regions
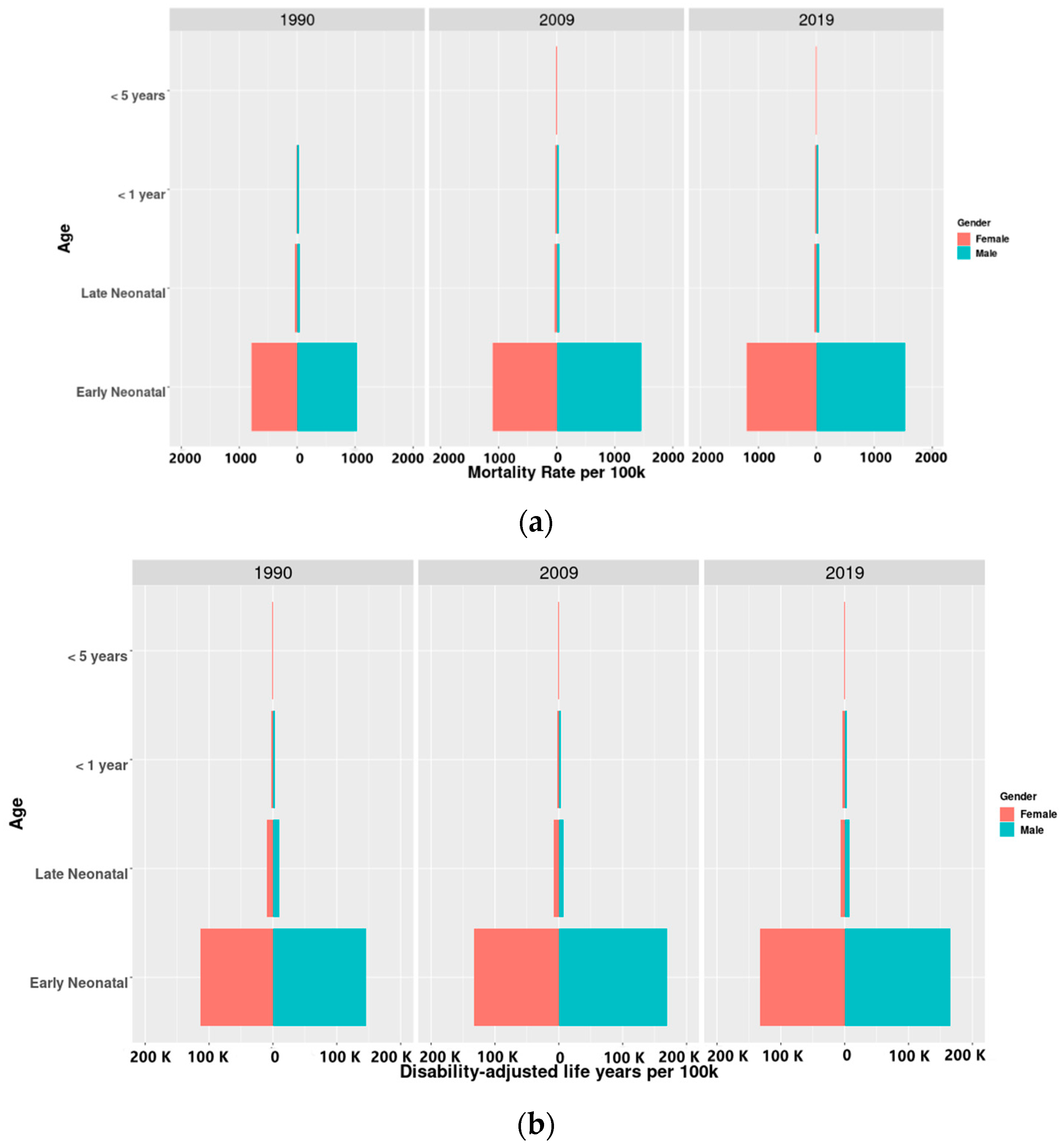
3.3. The Burden of PM2.5-Related Preterm Birth in Different Age and Sex Groups
3.4. The Burden of PM2.5-Related Preterm Birth by Countries
4. Discussion
5. Conclusions
Supplementary Materials
Author Contributions
Funding
Institutional Review Board Statement
Informed Consent Statement
Data Availability Statement
Conflicts of Interest
References
- World Health Organization. WHO: Recommended definitions, terminology and format for statistical tables related to the perinatal period and use of a new certificate for cause of perinatal deaths. Modifications recommended by FIGO as amended October 14, 1976. Acta Obstet. Gynecol. Scand. 1977, 56, 247–253. [Google Scholar]
- Blencowe, H.; Cousens, S.; Oestergaard, M.Z.; Chou, D.; Moller, A.-B.; Narwal, R.; Adler, A.; Garcia, C.V.; Rohde, S.; Say, L.; et al. National, regional, and worldwide estimates of preterm birth rates in the year 2010 with time trends since 1990 for selected countries: A systematic analysis and implications. Lancet 2012, 379, 2162–2172. [Google Scholar] [CrossRef]
- Liu, L.; Johnson, H.L.; Cousens, S.; Perin, J.; Scott, S.; Lawn, J.E.; Rudan, I.; Campbell, H.; Cibulskis, R.; Li, M.; et al. Global, regional, and national causes of child mortality: An updated systematic analysis for 2010 with time trends since 2000. Lancet 2012, 379, 2151–2161. [Google Scholar] [CrossRef]
- Mwaniki, M.K.; Atieno, M.; Lawn, J.E.; Newton, C.R.J.C. Long-term neurodevelopmental outcomes after intrauterine and neonatal insults: A systematic review. Lancet 2012, 379, 445–452. [Google Scholar] [CrossRef]
- Behrman, R.E.; Butler, A.S. Preterm Birth: Causes, Consequences, and Prevention; Behrman, R.E., Butler, A.S., Eds.; The National Academic Press: Washington, DC, USA, 2007. [Google Scholar]
- Goldenberg, R.L.; Cliver, S.P.; Mulvihill, F.X.; Hickey, C.A.; Hoffman, H.J.; Klerman, L.V.; Johnson, M.J. Medical, psychosocial, and behavioral risk factors do not explain the increased risk for low birth weight among black women. Am. J. Obstet. Gynecol. 1996, 175, 1317–1324. [Google Scholar] [CrossRef]
- Fiscella, K. Race, perinatal outcome, and amniotic infection. Obstet. Gynecol. Surv. 1996, 51, 60–66. [Google Scholar] [CrossRef] [PubMed]
- Smith, L.K.; Draper, E.S.; Manktelow, B.N.; Dorling, J.S.; Field, D.J. Socioeconomic inequalities in very preterm birth rates. Arch. Dis. Child Fetal. Neonatal. Ed. 2007, 92, F11–F14. [Google Scholar] [CrossRef] [PubMed]
- Brett, K.M.; Strogatz, D.S.; Savitz, D.A. Employment, job strain, and preterm delivery among women in North Carolina. Am. J. Public Health 1997, 87, 199–204. [Google Scholar] [CrossRef]
- Thompson, J.M.D.; Irgens, L.M.; Rasmussen, S.; Daltveit, A.K. Secular trends in socio-economic status and the implications for preterm birth. Paediatr. Perinat. Epidemiol. 2006, 20, 182–187. [Google Scholar] [CrossRef]
- Smith, G.C.S.; Pell, J.P.; Dobbie, R. Interpregnancy interval and risk of preterm birth and neonatal death: Retrospective cohort study. BMJ 2003, 327, 313. [Google Scholar] [CrossRef]
- Tamura, T.; Goldenberg, R.L.; Freeberg, L.E.; Cliver, S.P.; Cutter, G.R.; Hoffman, H.J. Maternal serum folate and zinc concentrations and their relationships to pregnancy outcome. Am. J. Clin. Nutr. 1992, 56, 365–370. [Google Scholar] [CrossRef]
- Hendler, I.; Goldenberg, R.L.; Mercer, B.M.; Iams, J.D.; Meis, P.J.; Moawad, A.H.; MacPherson, C.A.; Caritis, S.N.; Miodovnik, M.; Menard, K.M.; et al. The Preterm Prediction Study: Association between maternal body mass index and spontaneous and indicated preterm birth. Am. J. Obstet. Gynecol. 2005, 192, 882–886. [Google Scholar] [CrossRef] [PubMed]
- Scholl, T.O. Iron status during pregnancy: Setting the stage for mother and infant. Am. J. Clin. Nutr. 2005, 81, 1218S–1222S. [Google Scholar] [CrossRef] [PubMed]
- Mercer, B.M.; Goldenberg, R.L.; Moawad, A.H.; Meis, P.J.; Iams, J.D.; Das, A.F.; Caritis, S.N.; Miodovnik, M.; Menard, M.; Thurnau, G.R.; et al. The preterm prediction study: Effect of gestational age and cause of preterm birth on subsequent obstetric outcome. National Institute of Child Health and Human Development Maternal-Fetal Medicine Units Network. Am. J. Obstet. Gynecol. 1999, 181 Pt 1, 1216–1221. [Google Scholar] [CrossRef]
- Romero, R.; Espinoza, J.; Kusanovic, J.P.; Gotsch, F.; Hassan, S.; Erez, O.; Chaiworapongsa, T.; Mazor, M. The preterm parturition syndrome. BJOG Int. J. Obstet. Gynaecol. 2006, 113 (Suppl. S3), 17–42. [Google Scholar] [CrossRef] [PubMed]
- Copper, R.L.; Goldenberg, R.L.; Das, A.; Elder, N.; Swain, M.; Norman, G.; Ramsey, R.; Cotroneo, P.; Collins, B.A.; Johnson, F.; et al. The preterm prediction study: Maternal stress is associated with spontaneous preterm birth at less than thirty-five weeks’ gestation. National Institute of Child Health and Human Development Maternal-Fetal Medicine Units Network. Am. J. Obstet. Gynecol. 1996, 175, 1286–1292. [Google Scholar] [CrossRef]
- Lobel, M.; Dunkel-Schetter, C.; Scrimshaw, S.C. Prenatal maternal stress and prematurity: A prospective study of socioeconomically disadvantaged women. Health Psychol. 1992, 11, 32–40. [Google Scholar] [CrossRef]
- Bekkar, B.; Pacheco, S.; Basu, R.; DeNicola, N. Association of Air Pollution and Heat Exposure With Preterm Birth, Low Birth Weight, and Stillbirth in the US: A Systematic Review. JAMA Netw. Open 2020, 3, e208243. [Google Scholar] [CrossRef] [PubMed]
- Ottone, M.; Broccoli, S.; Parmagnani, F.; Giannini, S.; Scotto, F.; Bonvicini, L.; Luberto, F.; Bacco, D.; Trentini, A.; Poluzzi, V.; et al. Source-related components of fine particulate matter and risk of adverse birth outcomes in Northern Italy. Environ. Res. 2020, 186, 109564. [Google Scholar] [CrossRef]
- Bachwenkizi, J.; Liu, C.; Meng, X.; Zhang, L.; Wang, W.; van Donkelaar, A.; Martin, R.V.; Hammer, M.S.; Chen, R.; Kan, H. Maternal exposure to fine particulate matter and preterm birth and low birth weight in Africa. Environ. Int. 2021, 160, 107053. [Google Scholar] [CrossRef]
- He, Y.; Jiang, Y.; Yang, Y.; Xu, J.; Zhang, Y.; Wang, Q.; Shen, H.; Zhang, Y.; Yan, D.; Peng, Z.; et al. Composition of fine particulate matter and risk of preterm birth: A nationwide birth cohort study in 336 Chinese cities. J. Hazard. Mater. 2021, 425, 127645. [Google Scholar] [CrossRef] [PubMed]
- Kannan, S.; Misra, D.P.; Dvonch, J.T.; Krishnakumar, A. Exposures to airborne particulate matter and adverse perinatal outcomes: A biologically plausible mechanistic framework for exploring potential effect modification by nutrition. Environ. Health Perspect 2006, 114, 1636–1642. [Google Scholar] [CrossRef] [PubMed]
- Brook, R.D.; Urch, B.; Dvonch, J.T.; Bard, R.L.; Speck, M.; Keeler, G.; Morishita, M.; Marsik, F.J.; Kamal, A.S.; Kaciroti, N.; et al. Insights into the mechanisms and mediators of the effects of air pollution exposure on blood pressure and vascular function in healthy humans. Hypertension 2009, 54, 659–667. [Google Scholar] [CrossRef] [PubMed]
- GBD 2015 Mortality and Causes of Death Collaborators. Global, regional, and national life expectancy, all-cause mortality, and cause-specific mortality for 249 causes of death, 1980–2015: A systematic analysis for the Global Burden of Disease Study 2015. Lancet 2016, 388, 1459–1544. [Google Scholar] [CrossRef]
- Institute for Health Metrics and Evaluation (IHME). Rethinking Development and Health: Findings from the Global Burden of Disease Study; Institute for Health Metrics and Evaluation: Seattle, WA, USA, 2016. [Google Scholar]
- Li, N.; Deng, Y.; Zhou, L.; Tian, T.; Yang, S.; Wu, Y.; Zheng, Y.; Zhai, Z.; Hao, Q.; Song, D.; et al. Global burden of breast cancer and attributable risk factors in 195 countries and territories, from 1990 to 2017: Results from the Global Burden of Disease Study 2017. J. Hematol. Oncol. 2019, 12, 140. [Google Scholar] [CrossRef]
- Sun, H.; Gong, T.-T.; Jiang, Y.-T.; Zhang, S.; Zhao, Y.-H.; Wu, Q.-J. Global, regional, and national prevalence and disability-adjusted life-years for infertility in 195 countries and territories, 1990–2017: Results from a global burden of disease study, 2017. Aging 2019, 11, 10952–10991. [Google Scholar] [CrossRef]
- Deng, Y.; Li, H.; Wang, M.; Li, N.; Tian, T.; Wu, Y.; Xu, P.; Yang, S.; Zhai, Z.; Zhou, L.; et al. Global Burden of Thyroid Cancer From 1990 to 2017. JAMA Netw. Open 2020, 3, e208759. [Google Scholar] [CrossRef]
- Van Donkelaar, A.; Martin, R.V.; Brauer, M.; Hsu, N.C.; Kahn, R.A.; Levy, R.C.; Lyapustin, A.; Sayer, A.M.; Winker, D.M. Global Estimates of Fine Particulate Matter using a Combined Geophysical-Statistical Method with Information from Satellites, Models, and Monitors. Environ. Sci. Technol. 2016, 50, 3762–3772. [Google Scholar] [CrossRef]
- Hammer, M.S.; van Donkelaar, A.; Li, C.; Lyapustin, A.; Sayer, A.M.; Hsu, N.C.; Levy, R.C.; Garay, M.J.; Kalashnikova, O.V.; Kahn, R.A.; et al. Global Estimates and Long-Term Trends of Fine Particulate Matter Concentrations (1998–2018). Environ. Sci. Technol. 2020, 54, 7879–7890. [Google Scholar] [CrossRef] [PubMed]
- Chawanpaiboon, S.; Vogel, J.P.; Moller, A.-B.; Lumbiganon, P.; Petzold, M.; Hogan, D.; Landoulsi, S.; Jampathong, N.; Kongwattanakul, K.; Laopaiboon, M.; et al. Global, regional, and national estimates of levels of preterm birth in 2014: A systematic review and modelling analysis. Lancet Glob. Health 2019, 7, e37–e46. [Google Scholar] [CrossRef]
- Malley, C.S.; Kuylenstierna, J.C.; Vallack, H.W.; Henze, D.K.; Blencowe, H.; Ashmore, M.R. Preterm birth associated with maternal fine particulate matter exposure: A global, regional and national assessment. Environ. Int. 2017, 101, 173–182. [Google Scholar] [CrossRef] [PubMed]
- Cohen, A.J.; Brauer, M.; Burnett, R.; Anderson, H.R.; Frostad, J.; Estep, K.; Balakrishnan, K.; Brunekreef, B.; Dandona, L.; Dandona, R.; et al. Estimates and 25-year trends of the global burden of disease attributable to ambient air pollution: An analysis of data from the Global Burden of Diseases Study 2015. Lancet 2017, 389, 1907–1918. [Google Scholar] [CrossRef]
- Liu, C.; Wang, B.; Liu, S.; Li, S.; Zhang, K.; Luo, B.; Yang, A. Type 2 diabetes attributable to PM2.5: A global burden study from 1990 to 2019. Environ. Int. 2021, 156, 106725. [Google Scholar] [CrossRef] [PubMed]
- GBD 2019 Risk Factors Collaborators. Global burden of 87 risk factors in 204 countries and territories, 1990–2019: A systematic analysis for the Global Burden of Disease Study 2019. Lancet 2020, 396, 1223–1249. [Google Scholar] [CrossRef]
- GBD 2019 Diseases and Injuries Collaborators. Global burden of 369 diseases and injuries in 204 countries and territories, 1990-2019: A systematic analysis for the Global Burden of Disease Study 2019. Lancet 2020, 396, 1204–1222. [Google Scholar] [CrossRef]
- GBD 2017 Disease and Injury Incidence and Prevalence Collaborators. Global, regional, and national incidence, prevalence, and years lived with disability for 354 diseases and injuries for 195 countries and territories, 1990–2017: A systematic analysis for the Global Burden of Disease Study 2017. Lancet 2018, 392, 1789–1858. [Google Scholar] [CrossRef]
- Oza, S.; Lawn, J.E.; Hogan, D.R.; Mathers, C.; Cousens, S.N. Neonatal cause-of-death estimates for the early and late neonatal periods for 194 countries: 2000–2013. Bull. World Health Organ. 2015, 93, 19–28. [Google Scholar] [CrossRef]
- Brauer, M.; Freedman, G.; Frostad, J.; van Donkelaar, A.; Martin, R.V.; Dentener, F.; van Dingenen, R.; Estep, K.; Amini, H.; Apte, J.; et al. Ambient Air Pollution Exposure Estimation for the Global Burden of Disease 2013. Environ. Sci. Technol. 2016, 50, 79–88. [Google Scholar] [CrossRef]
- GBD 2015 Risk Factors Collaborators. Global, regional, and national comparative risk assessment of 79 behavioural, environmental and occupational, and metabolic risks or clusters of risks, 1990–2015: A systematic analysis for the Global Burden of Disease Study 2015. Lancet 2016, 388, 1659–1724. [Google Scholar] [CrossRef]
- Burnett, R.T.; Pope, C.A.; Ezzati, M.; Olives, C.; Lim, S.S.; Mehta, S.; Shin, H.H.; Singh, G.; Hubbell, B.; Brauer, M.; et al. An integrated risk function for estimating the global burden of disease attributable to ambient fine particulate matter exposure. Environ. Health Perspect. 2014, 122, 397–403. [Google Scholar] [CrossRef] [PubMed]
- Lim, S.S.; Vos, T.; Flaxman, A.D.; Danaei, G.; Shibuya, K.; Adair-Rohani, H.; Al Mazroa, M.A.; Amann, M.; Anderson, H.R.; Andrews, K.G.; et al. A comparative risk assessment of burden of disease and injury attributable to 67 risk factors and risk factor clusters in 21 regions, 1990–2010: A systematic analysis for the Global Burden of Disease Study 2010. Lancet 2012, 380, 2224–2260. [Google Scholar] [CrossRef]
- Shin, H.H.; Cohen, A.J.; Pope, C.A.; Ezzati, M.; Lim, S.S.; Hubbell, B.J.; Burnett, R.T. Meta-Analysis Methods to Estimate the Shape and Uncertainty in the Association Between Long-Term Exposure to Ambient Fine Particulate Matter and Cause-Specific Mortality Over the Global Concentration Range. Risk Anal. 2016, 36, 1813–1825. [Google Scholar] [CrossRef] [PubMed]
- GBD 2015 DALYs and HALE Collaborators. Global, regional, and national disability-adjusted life-years (DALYs) for 315 diseases and injuries and healthy life expectancy (HALE), 1990–2015: A systematic analysis for the Global Burden of Disease Study 2015. Lancet 2016, 388, 1603–1658. [Google Scholar] [CrossRef]
- Global Burden of Disease Cancer Collaboration. Global, Regional, and National Cancer Incidence, Mortality, Years of Life Lost, Years Lived With Disability, and Disability-Adjusted Life-years for 32 Cancer Groups, 1990 to 2015: A Systematic Analysis for the Global Burden of Disease Study. JAMA Oncol. 2017, 3, 524–548. [Google Scholar] [CrossRef]
- Mehdipour, P.; Navidi, I.; Parsaeian, M.; Mohammadi, Y.; Lakeh, M.M.; Rezaei Darzi, E.; Nourijelyani, K.; Farzadfar, F. Application of Gaussian Process Regression (GPR) in estimating under-five mortality levels and trends in Iran 1990–2013, study protocol. Arch. Iran. Med. 2014, 17, 189–192. [Google Scholar] [PubMed]
- GBD 2019 Ethiopia Subnational-Level Disease Burden Initiative Collaborators. Progress in health among regions of Ethiopia, 1990–2019: A subnational country analysis for the Global Burden of Disease Study 2019. Lancet 2022, 399, 1322–1335. [Google Scholar] [CrossRef]
- R Core Team. R: A Language and Environment for Statistical Computing; R Foundation for Statistical Computing: Vienna, Austria, 2019. [Google Scholar]
- Kim, H.-J.; Fay, M.P.; Feuer, E.J.; Midthune, D.N. Permutation tests for joinpoint regression with applications to cancer rates. Stat. Med. 2000, 19, 335–351. [Google Scholar] [CrossRef]
- Joinpoint Regression Program; Version 4.9.1.0; Statistical Methodology and Applications Branch, Surveillance Research Program; National Cancer Institute: Bethesda, Maryland, 2022.
- Karatzoglou, A.; Smola, A.; Hornik, K.; Zeileis, A. kernlab—An S4 Package for Kernel Methods in R. J. Stat. Softw. 2004, 11, 1–20. [Google Scholar] [CrossRef]
- Becker, R.A.; Wilks, A.R.; Brownrigg, R.; Minka, T.P.; Deckmyn, A. Maps: Draw Geographical Maps. R Package Version 3.4.0. 2021. Available online: https://CRAN.R-project.org/package=maps (accessed on 4 January 2022).
- Wickham, H. ggplot2: Elegant Graphics for Data Analysis; Springer: Berlin/Heidelberg, Germany, 2016. [Google Scholar]
- Adesina, J.A.; Piketh, S.J.; Qhekwana, M.; Burger, R.; Language, B.; Mkhatshwa, G. Contrasting indoor and ambient particulate matter concentrations and thermal comfort in coal and non-coal burning households at South Africa Highveld. Sci. Total. Environ. 2020, 699, 134403. [Google Scholar] [CrossRef] [PubMed]
- HEI International Scientific Oversight Committee. Outdoor Air Pollution and Health in Developing Countries of Asia: A Comprehensive Review; Special Report 18; Health Effects Institute: Boston, MA, USA, 2010. [Google Scholar]
- Sidebotham, P.; Fraser, J.; Covington, T.; Freemantle, J.; Petrou, S.; Pulikottil-Jacob, R.; Cutler, T.; Ellis, C. Understanding why children die in high-income countries. Lancet 2014, 384, 915–927. [Google Scholar] [CrossRef]
- Lawn, J.E.; Blencowe, H.; Oza, S.; You, D.; Lee, A.C.C.; Waiswa, P.; Lalli, M.; Bhutta, Z.; Barros, A.J.D.; Christian, P.; et al. Every Newborn: Progress, priorities, and potential beyond survival. Lancet 2014, 384, 189–205. [Google Scholar] [CrossRef]
- Levin-Zamir, D.; Bertschi, I. Media Health Literacy, eHealth Literacy, and the Role of the Social Environment in Context. Int. J. Environ. Res. Public Health 2018, 15, 1643. [Google Scholar] [CrossRef]
- Lawn, J.E.; Cousens, S.; Zupan, J. 4 million neonatal deaths: When? Where? Why? Lancet 2005, 365, 891–900. [Google Scholar] [CrossRef]
- Luo, Z.-C.; Kierans, W.J.; Wilkins, R.; Liston, R.M.; Mohamed, J.; Kramer, M.S. Disparities in birth outcomes by neighborhood income: Temporal trends in rural and urban areas, british columbia. Epidemiology 2004, 15, 679–686. [Google Scholar] [CrossRef] [PubMed]
- UNICEF. State of the World’s Children Report 2001; UNICEF: New York, NY, USA, 2000. [Google Scholar]
- Peterson, S.; Nsungwa-Sabiiti, J.; Were, W.; Nsabagasani, X.; Magumba, G.; Nambooze, J.; Mukasa, G. Coping with paediatric referral—Ugandan parents’ experience. Lancet 2004, 363, 1955–1956. [Google Scholar] [CrossRef]
- Massett, H.A.; Greenup, M.; Ryan, C.E.; Staples, D.A.; Green, N.S.; Maibach, E.W. Public perceptions about prematurity: A national survey. Am. J. Prev. Med. 2003, 24, 120–127. [Google Scholar] [CrossRef]
- Callaghan, W.M.; MacDorman, M.F.; Rasmussen, S.A.; Qin, C.; Lackritz, E.M. The contribution of preterm birth to infant mortality rates in the United States. Pediatrics 2006, 118, 1566–1573. [Google Scholar] [CrossRef]
- ACOG Committee on Obstetric Practice; ACOG Committee on Gynecologic Practice; ACOG Committee on Genetics. ACOG Committee Opinion# 324: Perinatal risks associated with assisted reproductive technology. Obstet. Gynecol. 2005, 106 Pt 1, 1143–1146. [Google Scholar]
- Heijnen, E.M.; Eijkemans, M.J.; de Klerk, C.; Polinder, S.; Beckers, N.G.; Klinkert, E.R.; Broekmans, F.J.; Passchier, J.; Velde, E.R.T.; Macklon, N.S.; et al. A mild treatment strategy for in-vitro fertilisation: A randomised non-inferiority trial. Lancet 2007, 369, 743–749. [Google Scholar] [CrossRef]
- Iams, J.D.; Romero, R.; Culhane, J.F.; Goldenberg, R.L. Primary, secondary, and tertiary interventions to reduce the morbidity and mortality of preterm birth. Lancet 2008, 371, 164–175. [Google Scholar] [CrossRef]
- Min, J.K.; Claman, P.; Hughes, E.; Cheung, A.P.; Fluker, M.; Goodrow, G.J.; Graham, J.; Graves, G.R.; Lapensée, L.; Stewart, S.; et al. Guidelines for the Number of Embryos toTransfer Following In Vitro Fertilization. J. Obstet. Gynaecol. Can. 2006, 28, 799–813. [Google Scholar] [CrossRef]
- Jain, T.; Missmer, S.A.; Hornstein, M.D. Trends in embryo-transfer practice and in outcomes of the use of assisted reproductive technology in the United States. New Engl. J. Med. 2004, 350, 1639–1645. [Google Scholar] [CrossRef]
- Di Renzo, G.; Moscioni, P.; Perazzi, A.; Papiernik, E.; Breart, G.; Saurel-Cubizolles, M. Social policies in relation to employment and pregnancy in European countries. Prenat. Neonatal Med. 1998, 3, 147–156. [Google Scholar]
- Papiernik, E.; Bouyer, J.; Dreyfus, J.; Collin, D.; Winisdorffer, G.; Guegen, S.; Lecomte, M.; Lazar, P. Prevention of preterm births: A perinatal study in Haguenau, France. Pediatrics 1985, 76, 154–158. [Google Scholar] [CrossRef]
- Cai, S.; Wang, Y.; Zhao, B.; Wang, S.; Chang, X.; Hao, J. The impact of the “Air Pollution Prevention and Control Action Plan” on PM concentrations in Jing-Jin-Ji region during 2012–2020. Sci. Total Environ. 2017, 580, 197–209. [Google Scholar] [CrossRef]
- Zhang, F.; Shi, Y.; Fang, D.; Ma, G.; Nie, C.; Krafft, T.; He, L.; Wang, Y. Monitoring history and change trends of ambient air quality in China during the past four decades. J. Environ. Manag. 2020, 260, 110031. [Google Scholar] [CrossRef] [PubMed]
- Correia, A.W.; Pope, C.A., 3rd; Dockery, D.W.; Wang, Y.; Ezzati, M.; Dominici, F. Effect of air pollution control on life expectancy in the United States: An analysis of 545 U.S. counties for the period from 2000 to 2007. Epidemiology 2013, 24, 23–31. [Google Scholar] [CrossRef]
- Dedoussi, I.C.; Eastham, S.D.; Monier, E.; Barrett, S.R.H. Premature mortality related to United States cross-state air pollution. Nature 2020, 578, 261–265. [Google Scholar] [CrossRef]
- Yanqiu, G.; Ronsmans, C.; Lin, A. Time trends and regional differences in maternal mortality in China from 2000 to 2005. Bull. World Health Organ. 2009, 87, 913–920. [Google Scholar] [CrossRef]
- Feng, X.L.; Zhu, J.; Zhang, L.; Song, L.; Hipgrave, D.; Guo, S.; Ronsmans, C.; Guo, Y.; Yang, Q. Socio-economic disparities in maternal mortality in China between 1996 and 2006. BJOG: Int. J. Obstet. Gynaecol. 2010, 117, 1527–1536. [Google Scholar] [CrossRef]
- Gao, Y.; Barclay, L.; Kildea, S.; Hao, M.; Belton, S. Barriers to increasing hospital birth rates in rural Shanxi Province, China. Reprod. Health Matters 2010, 18, 35–45. [Google Scholar] [CrossRef]
- Feng, X.L.; Xu, L.; Guo, Y.; Ronsmans, C. Socioeconomic inequalities in hospital births in China between 1988 and 2008. Bull. World Health Organ. 2011, 89, 432–441. [Google Scholar] [CrossRef] [PubMed]
- Feng, X.L.; Guo, S.; Hipgrave, D.; Zhu, J.; Zhang, L.; Song, L.; Yang, Q.; Guo, Y.; Ronsmans, C. China’s facility-based birth strategy and neonatal mortality: A population-based epidemiological study. Lancet 2011, 378, 1493–1500. [Google Scholar] [CrossRef]
- Li, Q.; Li, X.; Zhang, Q.; Zhang, Y.; Liu, L.; Cheng, X.; Yi, B.; Mao, J.; Chen, C.; He, S.; et al. A Cross-Sectional Nationwide Study on Accessibility and Availability of Neonatal care Resources in Hospitals of China: Current Situation, Mortality and Regional Differences: Neonatal Care Resources and Newborn Mortality in China. Lancet Reg. Health West. Pac. 2021, 14, 100212. [Google Scholar] [CrossRef] [PubMed]
- Saigal, S.; Doyle, L.W. An overview of mortality and sequelae of preterm birth from infancy to adulthood. Lancet 2008, 371, 261–269. [Google Scholar] [CrossRef]
- Doyle, L.W. Cost evaluation of intensive care for extremely tiny babies. Semin. Neonatol. 1996, 1, 289–296. [Google Scholar] [CrossRef]
- Zondervan, H.; Oosting, J.; Hardeman, M.; Smorenberg-Schoorl, M.; Treffers, P. The influence of maternal whole blood viscosity on fetal growth. Eur. J. Obstet. Gynecol. Reprod. Biol. 1987, 25, 187–194. [Google Scholar] [CrossRef]
- Knottnerus, J.; Delgado, L.; Knipschild, P.; Essed, G.; Smits, F. Haematologic parameters and pregnancy outcome A prospective cohort study in the third trimester. J. Clin. Epidemiol. 1990, 43, 461–466. [Google Scholar] [CrossRef]
- Edwards, A.; Megens, A.; Peek, M.; Wallace, E.M. Sexual origins of placental dysfunction. Lancet 2000, 355, 203–204. [Google Scholar] [CrossRef]
- Ghidini, A.; Salafia, C.M. Gender differences of placental dysfunction in severe prematurity. BJOG Int. J. Obstet. Gynaecol. 2005, 112, 140–144. [Google Scholar] [CrossRef]
- Chen, B.; Huang, S.; He, J.; He, Q.; Chen, S.; Liu, X.; Peng, S.; Luo, D.; Duan, Y. Sex-specific influence of prenatal air pollutant exposure on neonatal neurobehavioral development and the sensitive window. Chemosphere 2020, 254, 126824. [Google Scholar] [CrossRef] [PubMed]
- Ulizzi, L.; Zonta, L.A. Sex differential patterns in perinatal deaths in Italy. Hum. Biol. 2002, 74, 879–888. [Google Scholar] [CrossRef] [PubMed]
- Crawford, M.; Doyle, W.; Meadows, N. Gender differences at birth and differences in fetal growth. Hum. Reprod. 1987, 2, 517–520. [Google Scholar] [CrossRef] [PubMed]
- Zonta, L.; Astolfi, P.; Ulizzi, L. Heterogeneous effects of natural selection on the Italian newborns. Ann. Hum. Genet. 1997, 61, 137–142. [Google Scholar] [CrossRef]
- Wells, J.C. Natural selection and sex differences in morbidity and mortality in early life. J. Theor. Biol. 2000, 202, 65–76. [Google Scholar] [CrossRef] [PubMed]
- Cavalli-Sforza, L.L.; Bodmer, W.F. The Genetics of Human Populations; Dover Publications: Mineola, NY, USA, 1999. [Google Scholar]
- Nielsen, B.B.; Liljestrand, J.; Hedegaard, M.; Thilsted, S.H.; Joseph, A. Reproductive pattern, perinatal mortality, and sex preference in rural Tamil Nadu, south India: Community based, cross sectional study. BMJ 1997, 314, 1521–1524. [Google Scholar] [CrossRef]
- Victora, C.G.; Wagstaff, A.; Schellenberg, J.A.; Gwatkin, D.; Claeson, M.; Habicht, J.-P. Applying an equity lens to child health and mortality: More of the same is not enough. Lancet 2003, 362, 233–241. [Google Scholar] [CrossRef]





| Regions | Age-Standardized Mortality Rate in 1990 | Age-Standardized Mortality Rate in 2019 | Percentage of Changes in 1990–2019 | Annual Percentage Change (Part 1) | Annual Percentage Change (Part 2) | Annual Percentage Change (Part 3) | Average Annual Percentage Change in 1990–2019 |
|---|---|---|---|---|---|---|---|
| Global and Regions divided by Socio-Demographic Index | |||||||
| Global | 0.71 (0.43, 1.11) | 0.76 (0.55, 1.02) | 7.04% | 0.4 (0.3, 0.5) * | 2.2 (1.5, 2.9) * | −3.0 (−3.6, −2.3) * | 0.2 (0.0, 0.4) * |
| Low SDI | 0.44 (0.14, 1.02) | 0.67 (0.36, 1.12) | 52.27% | 1.5 (1.2, 1.7) * | 5.7 (3.2, 8.3) * | −1.5 (−3.2, 0.2) | 1.7 (1.1, 2.2) * |
| Low-middle SDI | 0.71 (0.28, 1.42) | 1.19 (0.81, 1.65) | 67.61% | 1.7 (1.5, 1.9) * | 4.5 (3.8, 5.3) * | −1.6 (−2.8, −0.4) * | 1.9 (1.6, 2.2) * |
| Middle SDI | 0.93 (0.62, 1.28) | 0.79 (0.61, 0.98) | −15.05% | 1.2 (0.7, 1.7) * | −0.2 (−0.4, 0.0) * | −5.0 (−5.9, −4.0) * | −0.7 (−0.9, −0.4) * |
| High-middle SDI | 0.77 (0.55, 1.04) | 0.37 (0.29, 0.46) | −51.95% | −0.2 (−0.9, 0.4) | −2.5 (−2.7, −2.3) * | −6.2 (−7.3, −5.1) * | −2.6 (−2.9, −2.3) * |
| High SDI | 0.35 (0.29, 0.42) | 0.13 (0.11, 0.16) | −62.86% | −1.7 (−1.9, −1.4) * | −5.0 (−6.0, −3.9) * | −4.4 (−4.8, −3.9) * | −3.2 (−3.5, −2.9) * |
| Regions divided by Geography | |||||||
| Central Europe | 0.70 (0.45, 0.93) | 0.17 (0.11, 0.23) | −75.71% | −1.6 (−4.1, 1.0) | −7.9 (−10.3, −5.5) * | −4.3 (−4.5, −4.1) * | −4.6 (−5.1, −4.1) * |
| Australasia | 0.20 (0.02, 0.57) | 0.06 (0.01, 0.16) | −70.00% | −8.3 (−9.8, −6.8) * | −1.2 (−1.9, −0.6) * | −6.7 (−9.8, −3.6) * | −4.2 (−4.9, −3.5) * |
| Central Asia | 0.47 (0.25, 0.76) | 0.52 (0.31, 0.78) | 10.64% | 2.2 (0.7, 3.7) * | 0.6 (0.5, 0.7) * | −3.8 (−5.9, −1.5) * | 0.3 (0.0, 0.7) * |
| Central Latin America | 0.73 (0.42, 1.09) | 0.32 (0.21, 0.45) | −56.16% | 0.5 (−0.4, 1.3) | −4.9 (−6.9, −3.0) * | −3.5 (−3.9, −3.1) * | −2.6 (−3.1, −2.1) * |
| Tropical Latin America | 0.59 (0.30, 1.03) | 0.29 (0.18, 0.45) | −50.85% | −0.5 (−0.9, 0.0) * | −2.2 (−2.8, −1.6) * | −4.7 (−5.2, −4.3) * | −2.5 (−2.8, −2.2) * |
| Caribbean | 0.37 (0.18, 0.66) | 0.41 (0.19, 0.74) | 10.81% | 0.6 (0.4, 0.8) * | 4.4 (−2.4, 11.6) | −1.8 (−2.9, −0.7) * | 0.5 (−0.2, 1.2) * |
| Eastern Europe | 0.38 (0.27, 0.53) | 0.08 (0.05, 0.12) | −78.95% | −5.0 (−5.4, −4.5) * | −14.4 (−30.7, 5.7) | 0.6 (−18.5, 24.2) | −5.6 (−7.9, −3.2) * |
| Southeast Asia | 0.59 (0.28, 1.05) | 0.40 (0.25, 0.59) | −32.20% | 1.4 (0.4, 2.3) * | −1.0 (−1.1, −0.9) * | −3.3 (−3.6, −3.1) * | −1.4 (−1.6, −1.2) * |
| Western Europe | 0.29 (0.22, 0.38) | 0.09 (0.06, 0.12) | −68.97% | −4.6 (−5.0, −4.1) * | −3.8 (−4.1, −3.6) * | −1.9 (−8.2, 4.9) | −4.0 (−4.4, −3.5) * |
| Southern Latin America | 0.58 (0.14, 1.29) | 0.28 (0.06, 0.64) | −51.72% | −3.2 (−3.8, −2.7) * | −0.6 (−1.2, −0.1) * | −4.1 (−4.8, −3.3) * | −2.5 (−2.8, −2.2) * |
| High-income Asia Pacific | 0.15 (0.08, 0.26) | 0.04 (0.02, 0.07) | −73.33% | −6.5 (−8.4, −4.5) * | 0.6 (−19.7, 26.1) | −4.5 (−5.3, −3.8) * | −4.6 (−6.8, −2.4) * |
| Andean Latin America | 0.91 (0.39, 1.61) | 0.44 (0.21, 0.74) | −51.65% | −2.8 (−3.1, −2.6) * | −1.3 (−1.7, −1.0) * | −3.9 (−4.4, −3.4) * | −2.5 (−2.7, −2.4) * |
| Oceania | 0.13 (0.03, 0.36) | 0.17 (0.04, 0.44) | 30.77% | 0.6 (0.4, 0.8) * | 3.5 (−2.2, 9.5) | 0.4 (−0.1, 0.9) | 0.8 (0.3, 1.4) * |
| East Asia | 0.48 (0.22, 0.83) | 0.31 (0.23, 0.39) | −35.42% | 5.1 (0.8, 9.6) * | −1.4 (−1.8, −1.0) * | −7.0 (−9.7, −4.2) * | −1.5 (−2.3, −0.8) * |
| North Africa and Middle East | 1.86 (1.33, 2.49) | 0.95 (0.70, 1.28) | −48.92% | −1.0 (−1.2, −0.8) * | −1.9 (−2.1, −1.8) * | −5.1 (−5.5, −4.6) * | −2.3 (−2.4, −2.1) * |
| South Asia | 0.94 (0.37, 1.84) | 1.49 (1.05, 2.02) | 58.51% | 1.6 (1.3, 1.9) * | 4.9 (3.9, 5.9) * | −2.8 (−4.3, −1.2) * | 1.7 (1.3, 2.1) * |
| Central Sub-Saharan Africa | 0.32 (0.09, 0.80) | 0.53 (0.24, 0.98) | 65.62% | 0.2 (0.0, 0.3) * | 6.2 (5.0, 7.3) * | 1.7 (0.6, 2.8) * | 1.6 (1.3, 1.9) * |
| Eastern Sub-Saharan Africa | 0.17 (0.05, 0.43) | 0.26 (0.12, 0.48) | 52.94% | −1.3 (−3.9, 1.4) | 2.4 (2.2, 2.6) * | −1.0 (−3.5, 1.7) | 1.4 (0.9, 1.9) * |
| High-income North America | 0.38 (0.28, 0.49) | 0.16 (0.11, 0.21) | −57.89% | −3.6 (−4.2, −3.0) * | −1.8 (−2.4, −1.1) * | −3.3 (−3.5, −3.1) * | −3.0 (−3.2, −2.7) * |
| Southern Sub-Saharan Africa | 0.84 (0.51, 1.26) | 1.22 (0.80, 1.78) | 45.24% | 1.7 (0.8, 2.7) * | 4.8 (4.4, 5.2) * | −2.2 (−2.6, −1.8) * | 1.5 (1.2, 1.7) * |
| Western Sub-Saharan Africa | 0.53 (0.20, 1.21) | 1.13 (0.63, 1.84) | 113.21% | 2.5 (2.3, 2.6) * | 6.9 (4.4, 9.4) * | 0.2 (−0.9, 1.2) | 2.7 (2.3, 3.0) * |
| Regions | Age-Standardized Disability-Adjusted Life Years Rate in 1990 | Age-Standardized Disability-Adjusted Life Years Rate in 2019 | Percentage of Changes in 1990–2019 | Annual Percentage Change (Part 1) | Annual Percentage Change (Part 2) | Annual Percentage Change (Part 3) | Average Annual Percentage Change in 1990–2019 |
|---|---|---|---|---|---|---|---|
| Global and Regions divided by Socio-Demographic Index | |||||||
| Global | 63.21 (37.82, 98.71) | 67.71 (48.59, 91.17) | 7.12% | 0.4 (0.3, 0.5) * | 2.2 (1.4, 2.9) * | −2.9 (−3.6, −2.2) * | 0.2 (0.0, 0.4) * |
| Low SDI | 39.43 (12.68, 91.07) | 59.69 (32.08, 99.72) | 51.38% | 1.4 (1.2, 1.6) * | 5.8 (3.2, 8.4) * | −1.4 (−3.1, 0.4) | 1.7 (1.1, 2.2) * |
| Low-middle SDI | 63.28 (25.08, 125.96) | 105.99 (71.96, 147.00) | 67.49% | 1.7 (1.5, 1.9) * | 4.5 (3.7, 5.3) * | −1.6 (−2.8, −0.3) * | 1.9 (1.6, 2.2) * |
| Middle SDI | 82.58 (55.38, 113.47) | 69.89 (54.12, 87.25) | −15.37% | 1.2 (0.7, 1.6) * | −0.2 (−0.4, 0.0) * | −5.0 (−5.9, −4.0) * | −0.7 (−0.9, −0.5) * |
| High middle SDI | 68.27 (48.56, 92.15) | 32.84 (25.47, 41.02) | −51.90% | 0.7 (−0.4, 1.9) | −2.4 (−2.5, −2.2) * | −6.5 (−7.5, −5.4) * | −2.6 (−2.8, −2.3) * |
| High-SDI | 31.05 (25.42, 37.63) | 11.75 (9.39, 14.57) | −62.16% | −1.7 (−1.8, −1.6) * | −5.0 (−5.6, −4.4) * | −4.4 (−4.6, −4.1) * | −3.2 (−3.4, −3.1) * |
| Regions divided by Geography | |||||||
| Central Europe | 62.23 (40.00, 82.66) | 14.75 (9.70, 20.60) | −76.30% | −1.5 (−4.0, 1.1) | −7.9 (−10.2, −5.5) * | −4.4 (−4.6, −4.2) * | −4.6 (−5.1, −4.1) * |
| Australasia | 17.77 (1.70, 51.06) | 5.47 (0.57, 14.10) | −69.22% | −7.5 (−8.2, −6.7) * | −1.2 (−1.6, −0.8) * | −6.7 (−8.4, −4.8) * | −4.1 (−4.5, −3.7) * |
| Central Asia | 42.15 (22.44, 67.35) | 46.35 (27.97, 69.60) | 9.96% | 1.7 (0.7, 2.8) * | 0.6 (0.4, 0.7) * | −3.7 (−5.9, −1.5) * | 0.3 (0.0, 0.6) * |
| Central Latin America | 64.97 (37.19, 96.88) | 28.10 (18.56, 40.46) | −56.75% | 0.5 (−0.4, 1.4) | −5.0 (−7.0, −2.9) * | −3.5 (−3.9, −3.1) * | −2.6 (−3.1, −2.1) * |
| Tropical Latin America | 52.52 (26.44, 91.57) | 26.14 (15.81, 39.64) | −50.23% | −0.5 (−0.9, 0.0) * | −2.2 (−2.8, −1.6) * | −4.6 (−5.1, −4.2) * | −2.5 (−2.7, −2.2) * |
| Caribbean | 33.25 (16.04, 58.34) | 36.44 (16.97, 65.50) | 9.59% | 0.6 (0.4, 0.7) * | 4.8 (−2.1, 12.1) | −1.9 (−3.0, −0.8) * | 0.5 (−0.2, 1.2) * |
| Eastern Europe | 33.86 (23.64, 47.31) | 6.93 (4.43, 10.26) | −79.53% | 0.0 (−9.4, 10.4) | −5.3 (−5.9, −4.7) * | −9.3 (−12.3, −6.2) * | −5.6 (−6.8, −4.5) * |
| Southeast Asia | 52.10 (24.99, 93.34) | 35.73 (22.47, 52.13) | −31.42% | 1.5 (0.7, 2.3) * | −1.0 (−1.1, −0.9) * | −3.3 (−3.5, −3.0) * | −1.4 (−1.5, −1.2) * |
| Western Europe | 25.87 (19.23, 34.00) | 7.67 (5.10, 10.92) | −70.35% | −4.6 (−4.8, −4.4) * | −3.7 (−3.8, −3.6) * | −4.6 (−5.9, −3.4) * | −4.1 (−4.2, −4.0) * |
| Southern Latin America | 51.27 (12.10, 114.70) | 25.10 (5.40, 56.80) | −51.04% | −3.2 (−3.7, −2.7) * | −0.6 (−1.1, −0.1) * | −4.1 (−4.7, −3.4) * | −2.5 (−2.8, −2.2) * |
| High-income Asia Pacific | 13.75 (6.71, 23.11) | 3.74 (1.87, 6.32) | −72.80% | −7.3 (−8.9, −5.6) * | 0.0 (−14.8, 17.4) | −4.1 (−4.6, −3.6) * | −4.6 (−6.2, −3.0) * |
| Andean Latin America | 81.13 (35.10, 143.43) | 38.98 (18.97, 65.41) | −51.95% | −3.0 (−3.3, −2.7) * | −1.4 (−1.7, −1.1) * | −3.9 (−4.4, −3.4) * | −2.5 (−2.7, −2.4) * |
| Oceania | 11.25 (2.61, 32.32) | 14.88 (3.55, 39.15) | 32.27% | 0.7 (0.6, 0.9) * | 3.0 (−1.3, 7.5) | 0.7 (0.4, 1.1) * | 1.0 (0.5, 1.4) * |
| East Asia | 42.23 (19.54, 73.90) | 27.45 (20.51, 34.5) | −35.00% | 5.4 (1.1, 9.8) * | −1.4 (−1.8, −1.1) * | −7.1 (−9.8, −4.3) * | −1.5 (−2.3, −0.8) * |
| North Africa and Middle East | 165.27 (117.83, 221.37) | 84.93 (61.99, 113.69) | −48.61% | −1.0 (−1.2, −0.8) * | −1.9 (−2.1, −1.8) * | −5.0 (−5.4, −4.6) * | −2.3 (−2.4, −2.1) * |
| South Asia | 83.40 (33.15, 163.94) | 132.13 (93.40, 179.52) | 58.43% | 1.7 (1.5, 2.0) * | 5.3 (4.0, 6.6) * | −2.9 (−4.5, −1.4) * | 1.8 (1.3, 2.2) * |
| Central Sub-Saharan Africa | 28.80 (7.78, 71.11) | 47.16 (21.27, 87.17) | 63.75% | 0.3 (0.2, 0.4) * | 7.4 (6.2, 8.6) * | 1.4 (0.6, 2.2) * | 1.7 (1.5, 1.9) * |
| Eastern Sub-Saharan Africa | 15.25 (4.71, 37.98) | 22.91 (10.39, 42.77) | 50.23% | −0.9 (−3.5, 1.8) | 2.4 (2.1, 2.6) * | −1.1 (−3.7, 1.6) | 1.4 (0.9, 2.0) * |
| High-income North America | 33.77 (24.89, 43.13) | 13.89 (9.78, 18.98) | −58.87% | −3.7 (−4.5, −2.9) * | −2.0 (−2.5, −1.4) * | −3.2 (−3.4, −3.0) * | −2.9 (−3.2, −2.7) * |
| Southern Sub-Saharan Africa | 74.31 (45.02, 111.60) | 108.68 (71.13, 158.01) | 46.25% | 1.5 (0.6, 2.4) * | 5.2 (4.8, 5.6) * | −1.8 (−2.1, −1.5) * | 1.5 (1.2, 1.8) * |
| Western Sub-Saharan Africa | 47.56 (17.66, 107.89) | 100.06 (56.43, 163.93) | 110.39% | 2.4 (2.3, 2.6) * | 7.0 (4.6, 9.4) * | 0.2 (−0.8, 1.2) | 2.7 (2.3, 3.0) * |
Publisher’s Note: MDPI stays neutral with regard to jurisdictional claims in published maps and institutional affiliations. |
© 2022 by the authors. Licensee MDPI, Basel, Switzerland. This article is an open access article distributed under the terms and conditions of the Creative Commons Attribution (CC BY) license (https://creativecommons.org/licenses/by/4.0/).
Share and Cite
Tang, Z.; Jia, J. The Association between the Burden of PM2.5-Related Neonatal Preterm Birth and Socio-Demographic Index from 1990 to 2019: A Global Burden Study. Int. J. Environ. Res. Public Health 2022, 19, 10068. https://doi.org/10.3390/ijerph191610068
Tang Z, Jia J. The Association between the Burden of PM2.5-Related Neonatal Preterm Birth and Socio-Demographic Index from 1990 to 2019: A Global Burden Study. International Journal of Environmental Research and Public Health. 2022; 19(16):10068. https://doi.org/10.3390/ijerph191610068
Chicago/Turabian StyleTang, Zeyu, and Jinzhu Jia. 2022. "The Association between the Burden of PM2.5-Related Neonatal Preterm Birth and Socio-Demographic Index from 1990 to 2019: A Global Burden Study" International Journal of Environmental Research and Public Health 19, no. 16: 10068. https://doi.org/10.3390/ijerph191610068
APA StyleTang, Z., & Jia, J. (2022). The Association between the Burden of PM2.5-Related Neonatal Preterm Birth and Socio-Demographic Index from 1990 to 2019: A Global Burden Study. International Journal of Environmental Research and Public Health, 19(16), 10068. https://doi.org/10.3390/ijerph191610068

