A 6-Month Home-Based Functional Electrical Stimulation Program for Foot Drop in a Post-Stroke Patient: Considerations on a Time Course Analysis of Walking Performance
Abstract
:1. Introduction
2. Case Presentation
3. Investigation
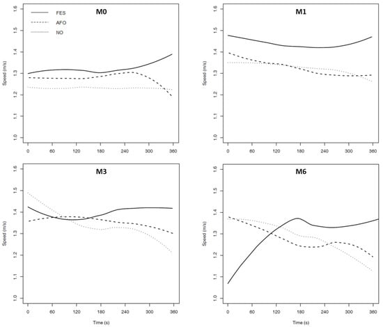
4. Results
5. Discussion
6. Conclusions
Author Contributions
Funding
Institutional Review Board Statement
Informed Consent Statement
Data Availability Statement
Acknowledgments
Conflicts of Interest
References
- Hendricks, H.T.; van Limbeek, J.; Geurts, A.C.; Zwarts, M.J. Motor recovery after stroke: A systematic review of the literature. Arch. Phys. Med. Rehabil. 2002, 83, 1629–1637. [Google Scholar] [CrossRef] [PubMed]
- Dobkin, B.H. Rehabilitation after Stroke. N. Engl. J. Med. 2005, 352, 1677–1684. [Google Scholar] [CrossRef] [PubMed] [Green Version]
- Dobkin, B.H. Strategies for stroke rehabilitation. Lancet Neurol. 2004, 3, 528–536. [Google Scholar] [CrossRef] [Green Version]
- Kluding, P.M.; Dunning, K.; O’dell, M.W.; Wu, S.S.; Ginosian, J.; Feld, J.; McBride, K. Foot Drop Stimulation Versus Ankle Foot Orthosis After Stroke. Stroke 2013, 44, 1660–1669. [Google Scholar] [CrossRef] [Green Version]
- Liberson, W.T.; Holmquest, H.J.; Scot, D.; Dow, M. Functional electrotherapy: Stimulation of the peroneal nerve synchronized with the swing phase of the gait of hemiplegic patients. Arch. Phys. Med. Rehabil. 1961, 42, 101–105. [Google Scholar]
- Thrasher, T.; Popovic, M. Functional electrical stimulation of walking: Function, exercise and rehabilitation. Ann. Readapt. Med. Phys. 2008, 51, 452–460. [Google Scholar] [CrossRef]
- Prenton, S.; Hollands, K.; Kenney, L.; Onmanee, P. Functional electrical stimulation and ankle foot orthoses provide equivalent therapeutic effects on foot drop: A meta-analysis providing direction for future research. J. Rehabil. Med. 2018, 50, 129–139. [Google Scholar] [CrossRef] [Green Version]
- Wade, D.; Langton-Hewer, R.; Wood, V.A. Stroke: The influence of age upon outcome. Age Ageing 1984, 13, 357–362. [Google Scholar] [CrossRef]
- Kugler, C.; Lochner, P.; Ferbert, A. Does age influence early recovery from ischemic stroke? J. Neurol. 2003, 250, 676–681. [Google Scholar] [CrossRef]
- Nakayama, H.; Jørgensen, H.S.; Raaschou, H.O.; Olsen, T.S. The influence of age on stroke outcome. The Copenhagen Stroke Study. Stroke 1994, 25, 808–813. [Google Scholar] [CrossRef] [Green Version]
- Luk, J.K.; Cheung, R.T.; Ho, S.; Li, L. Does Age Predict Outcome in Stroke Rehabilitation? A Study of 878 Chinese Subjects. Cerebrovasc. Dis. 2006, 21, 229–234. [Google Scholar] [CrossRef]
- Kelly-Hayes, M.; Beiser, A.; Kase, C.S.; Scaramucci, A.; D’Agostino, R.B.; Wolf, P.A. The influence of gender and age on disability following ischemic stroke: The Framingham study. J. Stroke Cerebrovasc. Dis. 2003, 12, 119–126. [Google Scholar] [CrossRef]
- Lynch, J.; Mead, G.; Greig, C.; Young, A.; Lewis, S.; Sharpe, M. Fatigue after stroke: The development and evaluation of a case definition. J. Psychosom. Res. 2007, 63, 539–544. [Google Scholar] [CrossRef]
- Farid, L.; Jacobs, D.; Do Santos, J.; Simon, O.; Gracies, J.-M.; Hutin, E. FeetMe® Monitor-connected insoles are a valid and reliable alternative for the evaluation of gait speed after stroke. Top. Stroke Rehabil. 2020, 28, 127–134. [Google Scholar] [CrossRef]
- Jacobs, D.; Farid, L.; Ferré, S.; Herraez, K.; Gracies, J.-M.; Hutin, E. Evaluation of the Validity and Reliability of Connected Insoles to Measure Gait Parameters in Healthy Adults. Sensors 2021, 21, 6543. [Google Scholar] [CrossRef]
- Perera, S.; Mody, S.H.; Woodman, R.C.; Studenski, S.A. Meaningful Change and Responsiveness in Common Physical Performance Measures in Older Adults. J. Am. Geriatr. Soc. 2006, 54, 743–749. [Google Scholar] [CrossRef]
- Hiengkaew, V.; Jitaree, K.; Chaiyawat, P. Minimal Detectable Changes of the Berg Balance Scale, Fugl-Meyer Assessment Scale, Timed “Up & Go” Test, Gait Speeds, and 2-Minute Walk Test in Individuals With Chronic Stroke With Different Degrees of Ankle Plantarflexor Tone. Arch. Phys. Med. Rehabil. 2012, 93, 1201–1208. [Google Scholar] [CrossRef]
- Fulk, G.D.; He, Y. Minimal Clinically Important Difference of the 6-Minute Walk Test in People With Stroke. J. Neurol. Phys. Ther. 2018, 42, 235–240. [Google Scholar] [CrossRef]
- Bohannon, R.W.; Crouch, R. Minimal clinically important difference for change in 6-minute walk test distance of adults with pathology: A systematic review. J. Evaluation Clin. Pr. 2016, 23, 377–381. [Google Scholar] [CrossRef]
- Tyson, S.; Connell, L. The psychometric properties and clinical utility of measures of walking and mobility in neurological conditions: A systematic review. Clin. Rehabil. 2009, 23, 1018–1033. [Google Scholar] [CrossRef]
- Salbach, N.M.; O’Brien, K.K.; Brooks, D.; Irvin, E.; Martino, R.; Takhar, P.; Chan, S.; Howe, J.-A. Considerations for the Selection of Time-Limited Walk Tests Poststroke: A Systematic Review of Test Protocols and Measurement Properties. J. Neurol. Phys. Ther. 2017, 41, 3–17. [Google Scholar] [CrossRef]
- Billot, M.; Calvani, R.; Urtamo, A.; Sánchez-Sánchez, J.L.; Ciccolari-Micaldi, C.; Chang, M.; Roller-Wirnsberger, R.; Wirnsberger, G.; Sinclair, A.; Vaquero-Pinto, M.N.; et al. Preserving Mobility in Older Adults with Physical Frailty and Sarcopenia: Opportunities, Challenges, and Recommendations for Physical Activity Interventions. Clin. Interv. Aging 2020, 15, 1675–1690. [Google Scholar] [CrossRef]
- Fritz, S.; Lusardi, M. White paper: “walking speed: The sixth vital sign”. J. Geriatr. Phys. Ther. 2009, 32, 46–49. [Google Scholar] [CrossRef] [Green Version]
- Kwong, P.W.H.; Ng, S.M.S.; Chung, R.C.K.; Ng, G.Y.F. A structural equation model of the relationship between muscle strength, balance performance, walking endurance and community integration in stroke survivors. PLoS ONE 2017, 12, e0185807. [Google Scholar] [CrossRef] [Green Version]
- Cohen, J.W.; Ivanova, T.D.; Brouwer, B.; Miller, K.J.; Bryant, D.; Garland, S.J. Do Performance Measures of Strength, Balance, and Mobility Predict Quality of Life and Community Reintegration After Stroke? Arch. Phys. Med. Rehabil. 2018, 99, 713–719. [Google Scholar] [CrossRef]
- Gandevia, S.C. Spinal and Supraspinal Factors in Human Muscle Fatigue. Physiol. Rev. 2001, 81, 1725–1789. [Google Scholar] [CrossRef]
- Gewandter, J.S.; McDermott, M.P.; Evans, S.; Katz, N.P.; Markman, J.D.; Simon, L.S.; Turk, D.C.; Dworkin, R.H. Composite outcomes for pain clinical trials: Considerations for design and interpretation. Pain 2021, 162, 1899–1905. [Google Scholar] [CrossRef]
- Rigoard, P.; Ounajim, A.; Goudman, L.; Louis, P.-Y.; Yousri, S.; Roulaud, M.; Bouche, B.; Wood, C.; Page, P.; Lorgeoux, B.; et al. A Novel Multi-Dimensional Clinical Response Index Dedicated to Improve Pain Global Assessment in Patients with Persistent Spinal Pain Syndrome after Spinal Surgery, Based on a Real-Life Prospective Multicentric Study (PREDIBACK) and Machine Learning Techniques. J. Clin. Med. 2021, 10, 4910. [Google Scholar] [CrossRef]
- Goudman, L.; Billot, M.; Duarte, R.V.; Eldabe, S.; Rigoard, P.; Moens, M. Gradation of Clinical Holistic Response as New Composite Outcome to Evaluate Success in Spinal Cord Stimulation Studies for Pain. Neuromodulation 2022. [Google Scholar] [CrossRef]
- Ounajim, A.; Billot, M.; Louis, P.-Y.; Slaoui, Y.; Frasca, D.; Goudman, L.; Roulaud, M.; Naiditch, N.; Lorgeoux, B.; Baron, S.; et al. Finite Mixture Models Based on Pain Intensity, Functional Disability and Psychological Distress Composite Assessment Allow Identification of Two Distinct Classes of Persistent Spinal Pain Syndrome after Surgery Patients Related to Their Quality of Life. J. Clin. Med. 2021, 10, 4676. [Google Scholar] [CrossRef]
- Di Pino, G.; Pellegrino, G.; Assenza, G.; Capone, F.; Ferreri, F.; Formica, D.; Ranieri, F.; Tombini, M.; Ziemann, U.; Rothwell, J.; et al. Modulation of brain plasticity in stroke: A novel model for neurorehabilitation. Nat. Rev. Neurol. 2014, 10, 597–608. [Google Scholar] [CrossRef] [PubMed]
- Schaechter, J.D. Motor rehabilitation and brain plasticity after hemiparetic stroke. Prog. Neurobiol. 2004, 73, 61–72. [Google Scholar] [CrossRef] [PubMed]
- Morone, G.; Fusco, A.; Di Capua, P.; Coiro, P.; Pratesi, L. Walking Training with Foot Drop Stimulator Controlled by a Tilt Sensor to Improve Walking Outcomes: A Randomized Controlled Pilot Study in Patients with Stroke in Subacute Phase. Stroke Res. Treat. 2012, 2012, 523564. [Google Scholar] [CrossRef]
- Chantraine, F.; Filipetti, P.; Schreiber, C.; Remacle, A.; Kolanowski, E.; Moissenet, F. Proposition of a Classification of Adult Patients with Hemiparesis in Chronic Phase. PLoS ONE 2016, 11, e0156726. [Google Scholar] [CrossRef] [Green Version]
- Ngueleu, A.M.; Blanchette, A.K.; Maltais, D.; Moffet, H.; McFadyen, B.J.; Bouyer, L.; Batcho, C.S. Validity of Instrumented Insoles for Step Counting, Posture and Activity Recognition: A Systematic Review. Sensors 2019, 19, 2438. [Google Scholar] [CrossRef] [Green Version]
- Girard, V.; Bellavance-Tremblay, H.; Gaudet-Drouin, G.; Lessard, G.; Dupont, M.; Gagnon, M.-A.; Ngueleu, A.M.; Mandigout, S.; Batcho, C.S. Cardiorespiratory strain during stroke rehabilitation: Are patients trained enough? A systematic review. Ann. Phys. Rehabil. Med. 2020, 64, 101443. [Google Scholar] [CrossRef]
- Gagnon, M.-A.; Batcho, C.S.; Best, K.L. A description of physical activity behaviors, barriers, and motivators in stroke survivors in Quebec. Disabil. Health J. 2022, 15, 101265. [Google Scholar] [CrossRef]
- Mandigout, S.; Chaparro, D.; Borel, B.; Kammoun, B.; Salle, J.-Y.; Compagnat, M.; Daviet, J.-C. Effect of individualized coaching at home on walking capacity in subacute stroke patients: A randomized controlled trial (Ticaa’dom). Ann. Phys. Rehabil. Med. 2020, 64, 101453. [Google Scholar] [CrossRef]
- Salisbury, L.; Shiels, J.; Todd, I.; Dennis, M. A feasibility study to investigate the clinical application of functional electrical stimulation (FES), for dropped foot, during the sub-acute phase of stroke – A randomized controlled trial. Physiother. Theory Pr. 2012, 29, 31–40. [Google Scholar] [CrossRef] [Green Version]
- Sheffler, L.R.; Taylor, P.N.; Gunzler, D.D.; Buurke, J.H.; Ijzerman, M.J.; Chae, J. Randomized Controlled Trial of Surface Peroneal Nerve Stimulation for Motor Relearning in Lower Limb Hemiparesis. Arch. Phys. Med. Rehabil. 2013, 94, 1007–1014. [Google Scholar] [CrossRef] [Green Version]
- Everaert, D.G.; Stein, R.B.; Abrams, G.M.; Dromerick, A.W.; Francisco, G.E.; Hafner, B.J.; Huskey, T.N.; Munin, M.C.; Nolan, K.J.; Kufta, C.V. Effect of a Foot-Drop Stimulator and Ankle–Foot Orthosis on Walking Performance After Stroke. Neurorehabilit. Neural Repair 2013, 27, 579–591. [Google Scholar] [CrossRef]
- Kottink, A.I.; Hermens, H.J.; Nene, A.V.; Tenniglo, M.J.B.; Groothuis-Oudshoorn, C.G.M.; Ijzerman, M. Therapeutic Effect of an Implantable Peroneal Nerve Stimulator in Subjects With Chronic Stroke and Footdrop: A Randomized Controlled Trial. Phys. Ther. 2008, 88, 437–448. [Google Scholar] [CrossRef] [Green Version]

| M0 | M1 | M3 | M6 | |
|---|---|---|---|---|
| 10-MWT (speed in m.s−1) | ||||
| NO | 1.28 | 1.31 | 1.29 | 1.60 |
| AFO | 1.44 | 1.34 | 1.12 | 1.58 |
| FES | 1.37 | 1.29 | 1.08 | 1.73 |
| TUG (duration in seconds) | ||||
| NO | 6.0 | 7.2 | 5.0 | 4.9 |
| AFO | 7.8 | 6.0 | 7.0 | 5.0 |
| FES | 6.0 | 6.0 | 5.0 | 4.6 |
| 6-MWT (distance in meters) | ||||
| NO | 427.3 | 446.5 | 449.7 | 451.0 |
| AFO | 429.5 | 439.5 | 445.1 | 449.8 |
| FES | 459.0 | 472.3 | 454.5 | 462.8 |
Publisher’s Note: MDPI stays neutral with regard to jurisdictional claims in published maps and institutional affiliations. |
© 2022 by the authors. Licensee MDPI, Basel, Switzerland. This article is an open access article distributed under the terms and conditions of the Creative Commons Attribution (CC BY) license (https://creativecommons.org/licenses/by/4.0/).
Share and Cite
David, R.; Billot, M.; Ojardias, E.; Parratte, B.; Roulaud, M.; Ounajim, A.; Louis, F.; Meklat, H.; Foucault, P.; Lombard, C.; et al. A 6-Month Home-Based Functional Electrical Stimulation Program for Foot Drop in a Post-Stroke Patient: Considerations on a Time Course Analysis of Walking Performance. Int. J. Environ. Res. Public Health 2022, 19, 9204. https://doi.org/10.3390/ijerph19159204
David R, Billot M, Ojardias E, Parratte B, Roulaud M, Ounajim A, Louis F, Meklat H, Foucault P, Lombard C, et al. A 6-Month Home-Based Functional Electrical Stimulation Program for Foot Drop in a Post-Stroke Patient: Considerations on a Time Course Analysis of Walking Performance. International Journal of Environmental Research and Public Health. 2022; 19(15):9204. https://doi.org/10.3390/ijerph19159204
Chicago/Turabian StyleDavid, Romain, Maxime Billot, Etienne Ojardias, Bernard Parratte, Manuel Roulaud, Amine Ounajim, Frédéric Louis, Hachemi Meklat, Philippe Foucault, Christophe Lombard, and et al. 2022. "A 6-Month Home-Based Functional Electrical Stimulation Program for Foot Drop in a Post-Stroke Patient: Considerations on a Time Course Analysis of Walking Performance" International Journal of Environmental Research and Public Health 19, no. 15: 9204. https://doi.org/10.3390/ijerph19159204
APA StyleDavid, R., Billot, M., Ojardias, E., Parratte, B., Roulaud, M., Ounajim, A., Louis, F., Meklat, H., Foucault, P., Lombard, C., Jossart, A., Mainini, L., Lavallière, M., Goudman, L., Moens, M., Laroche, D., Salga, M., Genêt, F., Daviet, J.-C., ... Rigoard, P. (2022). A 6-Month Home-Based Functional Electrical Stimulation Program for Foot Drop in a Post-Stroke Patient: Considerations on a Time Course Analysis of Walking Performance. International Journal of Environmental Research and Public Health, 19(15), 9204. https://doi.org/10.3390/ijerph19159204

