Abstract
The application of iron powder stimulated the growth of iron-reducing bacteria as a respiratory substrate and enhanced their nitrogen (N)-fixing activity in flooded paddy soils. High N fertilization (urea) in the flooded paddy soils has caused adverse environmental impacts such as ammonia (NH3) volatilization, nitrous oxide (N2O) emissions, and nitrate (NO3−) leaching. This study aims to investigate the effects of N fertilization rates in combination with an iron amendment on rice yields and N losses from flooded paddy fields. We performed a 2-year field plot experiment with traditional rice–wheat rotation in China’s Yangtze River Delta. The investigation consisted of seven treatments, including 100%, 80%, 60%, and 0% of the conventional N (urea and commercial organic manure) fertilization rate, and 80%, 60%, and 0% of the conventional N with the iron powder (≥99% purity) amendment. The rice yields decreased with a reduction in the conventional N fertilization rate, whereas they were comparable after the iron application under the 80% and 60% conventional N rate. The critical N losses, including NH3 volatilization, N2O emissions, and NO3− and NH4+ leaching, generally decreased with a reduction in the conventional N fertilization rate. These N losses were significantly greater after the iron amendment compared with the non-amended treatments under the 80% and 60% conventional N fertilization rate in the first rice-growing season. However, it was comparable between the iron-amended and the non-amended treatments in the second season. Furthermore, NO3− leaching was the most significant N loss throughout the two rice seasons, followed by NH3 volatilization. The iron amendment significantly increased soil Fe2+ content compared with the non-amended treatments irrespective of N fertilization, suggesting the reduction of amended iron by iron-reducing bacteria and their simultaneous N fixation. A combination of the iron application with 60–80% of the conventional N fertilization rate could maintain rice yields similar to the conventional N fertilization rate while reducing the critical N losses in the flooded paddy field tested in this study. Our study leads to the establishment of novel and practical rice cultivation, which is a step towards the development of green agriculture.
1. Introduction
Rice (Oryza sativa L.) is one of the most important cereal crops planted worldwide [1,2]. The application of synthetic fertilizer, particularly N fertilizer, is an important and effective way to increase rice yield and meet the global demand for food. The growing demand for cereal crops keeps increasing the use of N fertilizer due to the world’s growing population [3,4,5]. However, synthetic fertilizer production is a high energy consumption process, accounting for about 1.2% of global energy consumption, of which 93% is used for the production of N fertilizer [6,7]. Moreover, a large amount of N fertilizer is used inefficiently and, thus, has decreased N use efficiency and caused critical N loss such as NH3 volatilization, N2O emissions, and NO3− leaching [8,9,10,11]. The N losses have aggravated environmental pollution, such as air haze, global warming, water eutrophication, and excessive NO3− in groundwater, thereby threatening the health and safety of human beings and the wider environment [8,12,13,14].
China’s rice yield and planting area rank first and second worldwide, respectively, to effectively ensure national food security. From 1997–2006, the Chinese national average N application rate for rice increased by two-fold (145 kg N hm−2 in 1997 to 300 kg N hm−2 in 2006), which is significantly higher than the global average. The average N fertilization rate is ca. 180 kg N hm−2 in flooded paddy fields across China, which is 75% higher than that of global flooded paddy fields and two times that of flooded paddy fields across Japan [8,15,16]. Consequently, the environmental issues caused by the extensive or even excessive use of N fertilizer have aroused public concern. The Chinese government launched a national strategy for reducing synthetic fertilizer use in 2015 [17]. Measures for developing green agriculture are greatly encouraged to enhance crop yields and reduce environmental pollution.
Biological N fixation (BNF) refers to the conversion of N2 to NH3 under the action of nitrogenase produced by N-fixing bacteria at an average temperature and pressure [18]. BNF is receiving increasing attention worldwide since it consumes almost no energy from fossil fuels and does not cause N pollution [19,20,21,22]. Previous studies have shown that BNF can contribute significantly to the N fertility of soil without supplying synthetic fertilizers for thousands of years to the flooded paddy soils in Asia [23,24]. For example, using the 15N-labeled soil method, the ratio of non-symbiotic N fixation to the total N uptake by rice was between 19.6 and 23.0% in the three paddy soils in the Taihu Lake regions [23]. The average is 21.7%, equivalent to 11–16 kg N hm−2 of the BNF each season [23].
It has long been believed that photosynthetic bacteria (such as blue-green algae) and plant symbiotic bacteria (such as azolla and anabaena) are the main microorganisms responsible for BNF in the flooded paddy fields [25]. We recently found that the iron-reducing bacteria within Deltaproteobacteria can also fix N [26,27]. This group consists of two genera, Anaeromyxobacter and Geobacter, which are dominant microbial communities in the flooded paddy soils [26,27,28,29]. They usually use organic compounds such as acetic acid derived from straw decomposition as electron donors and Fe3+ as an electron acceptor for energy metabolism [30]. They may obtain electrons and transfer them to Fe3+ or ferric iron oxides through the respiratory chain and couple N fixation in this process when oxidizing organic compounds in anaerobic conditions [26,27,31]. Actually, in our previous study, the application of ferric iron oxides and rice straw to paddy soil microcosms enhanced the N-fixing activity of the soil, where Anaeromyxobacter and Geobacter might be involved in the enhancement of the soil N-fixing activity. In addition, the application of iron powder to paddy soil also enhanced the soil N-fixing activity [27]. Iron application also significantly enhanced the soil N-fixing activity of alfalfa, because iron is necessary in the synthesis of nitrogenase [32].
Accordingly, we hypothesize that reducing the N fertilization rate to paddy soil results in a reduction in rice yield, whereas iron powder application can alleviate the yield reduction, possibly through the enhancement of N-fixing activity of the iron-reducing bacteria. Further, a combination of less N fertilizer with iron powder ensures rice yield and simultaneously reduces the environmental N burden. We, therefore, conducted a 2-year field plot experiment to investigate the effects of such a combination on rice yield compared with conventional N fertilization. We also quantified the environmental N burden under different N fertilization rates alone or in combination with iron powder.
2. Materials and Methods
2.1. Field Site
The field site is located in Liuhe County, Nanjing, Jiangsu Province, China (118.69° E, 32.58° N), where the climate is a subtropical monsoon with around 254 frost-free days per year (Figure S1). The annual mean temperature and precipitation is 15.6 °C and 941.6 mm, respectively. The field site is a long-term traditional rice–wheat rotation land. The soil is a stagnic anthrosol [33,34]. Before the experiment began in June 2019, the soil at 0–20 °C m depth had a pH (H2O) of 5.9, total N and organic matter of 1.68 and 25.4 g kg−1 soil, and available P and K of 32 and 108 mg kg−1 soil, respectively.
2.2. Experimental Field and Design
Rice (Oryza sativa cv. Ninggeng 8) and wheat (Triticum aestivum cv. Zhenmai 168) were cultivated between 2019 and 2020 in twenty-eight 4 m × 5 m plots (Figure S1). Each plot was separated by a ridge of field compacted with soil. The rotation schedule was (1) rice from June to November and (2) wheat from November to June each year. Seven treatments were applied randomly, with four replicates of each; the treatments were 100%, 80%, 60%, and 0% of the conventional N fertilization rate, and 80%, 60%, and 0% of the conventional N with an iron amendment (Table 1). A pelleted poultry manure was applied basally at 1000 kg hm−2, except for the non-N treatment; this contained 7% of N, 3% of P2O5, 6% of K2O, and ≥20% of organic matter. The rest of the N in basal fertilizer was supplemented with urea. The supplementary fertilizer was urea only. During each rice-growing season, 60% of the N was applied basally before transplanting; 30% and 10% were used for supplementary fertilization at the tillering and jointing-booting stages, respectively. Calcium-magnesium phosphate (60 kg P2O5 hm−2), potassium chloride (105 kg K2O hm−2), and the pelleted poultry manure were applied, in addition to the urea, as basal fertilizers during each rice-growing season. Moreover, wheat or rice straw was incorporated into the soil at approximately 500 kg hm−2 or 1000 kg hm−2 before the cultivation of the next crop. Prior to the initiation of waterlogging in May 2019, the iron powder (zero-valent iron, >99% purity, Shijiazhuang, China) was applied to the soil surface at 5000 kg hm−2 and left to oxidize. The iron powder was applied only at the initial stage of the experiment in 2019. The irrigation, cultivation, and weed management practices were conventional, as used by local farmers. The paddy field was subjected to an intermittent irrigation regime. Briefly, the field surface was in a state of flood during the rice regreening stage, and dried under the sun in the late tillering stage. The field water was drained in the yellow maturity stage, and left under intermittent irrigation during the rest of the rice-growing stages. The rice yields were estimated by measuring the rice weight of each field plot.
Table 1.
Treatments and fertilization rate in the field plots.
2.3. Measurement of Soil Fe2+ Contents
Soil samples for Fe2+ content measurement were collected at 0–20 cm in the 2020 rice-growing season. Fe2+ content was measured spectrophotometrically with o-phenanthroline as a chromogenic reagent [35]. Briefly, 5.0 g of soil was passed through a 0.25 mm sieve and extracted with HCl solution. Then, 5 mL of the suspension were transferred into 50 mL of the volumetric flask and received 8 mL of a 100 g L−1 sodium acetate solution to adjust pH to 5.0. For color development, the chromogenic reagent was added as 10 mL of 1 g L−1 o-phenanthroline. Absorbance was measured with a spectrophotometer (UV754N, INESA (Group) Co., Ltd., Shanghai, China) at 510 nm after incubation for 30 min. Soil Fe2+ content was calculated using a standard curve made with (NH4)2Fe(SO4)2·6H2O.
2.4. NH3 Volatilization Measurement
A modified continuous airflow enclosure method measured the NH3 volatilization flux, which excluded plants in the chamber (20 cm diameter, 15 cm height) after the basal and supplementary fertilization [36,37]. The NH3 volatilization flux was determined twice daily, usually 7:00–9:00 and 14:00–16:00. In brief, the air was pumped by a vacuum pump at 15–20 chamber volumes min−1, then went through a tube into the NH3 absorbent (H3BO3 (2% v:v) plus mixed indicators of methyl red, bromocresol green, and ethanol). The measurements were conducted daily using the chemical titration method until the NH3 volatilization flux from each N fertilized plot was below the detection limit. The cumulative NH3 volatilization was calculated by the sum of daily NH3 emissions throughout the rice-growing season. The NH3 volatilization intensity was calculated by NH3 volatilization per unit of rice yield. Meanwhile, field surface water was collected from each field plot, and the NH4+ concentration and pH were determined spectrophotometrically or with a glass electrode (HI 2211, Hanna Instruments, Limena, Italy) [35].
2.5. N2O Emission Measurement
A closed chamber method evaluated the N2O flux from each field plot [37,38,39]. The N2O flux was measured every 3–5 days if higher than the background flux level and every 7–10 days if closer to the background flux level throughout the rice-growing season. In brief, each chamber base was tightly closed by a chamber box (0.5 m × 0.5 m × 0.6–1.2 m) with its height adjusted from 0.6 to 1.2 m depending on the heights of the plants. A gas sample was collected into a 15 mL vial every 15 min for a total period of 30 min (i.e., 0, 15, and 30 min); the temperature inside the chamber was also measured at each sampling. Soil moisture and temperature at a 10 cm depth were measured every hour with the Decagon 5TM volumetric water content and temperature sensor and recorded by a Meter ZL6 Advanced Cloud Data Logger (Meter Group, Inc., Pullman, Washington, DC, USA). The concentration of N2O was determined by a gas chromatograph with an electron capture detector (Agilent 7890B, Wilmington, DE, USA). N2O flux was generated by calculating the slope of N2O concentrations at three time points. The cumulative N2O emissions were calculated from each flux and the time between measurements.
2.6. NO3− and NH4+ Leaching Measurement
A modified lysimetric method was used to collect NO3− leaching samples in each field plot [37]. In brief, the lysimeter tube (10 cm diameter), made from 1 cm-thick hard plastic, was filled with quartz sand. The pipe wall had holes with a diameter of approximately 0.6 cm. After being wrapped with a nylon net, three lysimeters were embedded in the subsoils of each plot at a depth of 30, 60, and 90 cm (Figure S2). The leachate water was pumped through a soft plastic sampling tube connected to the lysimeters. The total volume of leachate water in the lysimeters was measured with a graduated cylinder, and the NO3− and NH4+ concentrations were measured spectrophotometrically [35]. The leachate water was collected from the lysimeters every 2–3 weeks.
2.7. Statistical Analyses
Results were subjected to an analysis of variance (ANOVA) to determine the significance of the differences in data (means ± SD, n = 4) with SPSS 19.0 for Windows (IBM Corp., Armonk, NY, USA). Least significant difference (LSD) post hoc tests were performed to determine the differences between the individual treatments. Significant differences of means in all treatments were evaluated by LSD multiple comparison tests at the 5% level with SPSS 19.0 for Windows. A two-tailed significance test was performed to analyze the correlation between the NH3 volatilization flux and the NH4+ concentration and pH of field surface water.
3. Results
3.1. Soil Fe2+ Contents
N fertilization had no significant effect on soil Fe2+ content (Figure 1). The iron application significantly increased soil Fe2+ content compared with the non-applied treatments, irrespective of the N fertilization rate.
Figure 1.
Fe2+ content of soil under various nitrogen fertilization rates with or without iron amendment in 2020. Conventional N fertilization rate (315 kg N hm−2 season−1) for rice in lower Yangtze River Delta is 100%N. Fe was applied at 5000 kg hm−2 as iron powder (>99% purity) when the field experiment was initiated. Treatments that have the same letter above their bars (means ± SD, n = 4) are not significantly different at p < 0.05 as determined by analysis of variance (one-way ANOVA), followed by least significance difference (LSD) post hoc test.
3.2. Rice Yield
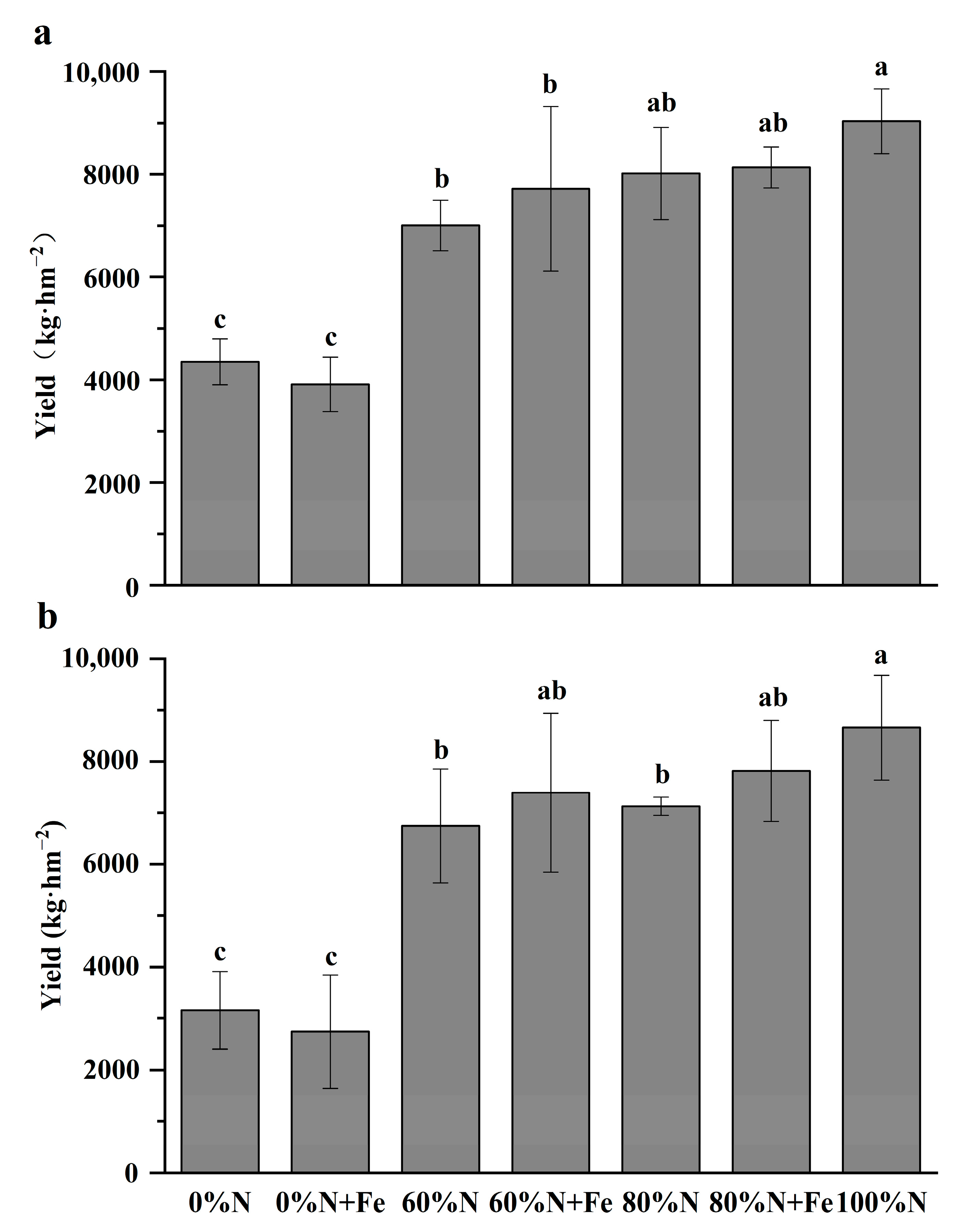
The rice yields decreased with a reduction in the conventional N fertilization rate (Figure 2). In the first rice-growing season (2019), the rice yields significantly decreased when there was a ≥40%N reduction in the conventional N fertilization rate, irrespective of the iron application (Figure 2a). In the second season, the yields significantly declined with the decreasing N fertilization rate when the iron powder was not applied (Figure 2b). However, the yields were comparable to the conventional N rate after the application of 80% and 60% of the conventional N rate in combination with iron powder for both seasons. During the 2020 season, we observed that 60%N + Fe supplementation resulted in a better rice yield than 80%N with no Fe supplementation. Moreover, we observed an increase of 9.7% and 9.6% after the iron application compared with the non-applied controls under these two N fertilization rates, respectively.
Figure 2.
Rice yields under various nitrogen fertilization rates with or without iron amendment in 2019 (a) and 2020 (b). The conventional N fertilization rate (315 kg N hm−2 season−1) for rice in the lower Yangtze River Delta is 100%N. Fe was applied at 5000 kg hm−2 as iron powder (>99% purity) when the field experiment started. Treatments that have the same letter above their bars (means ± SD, n = 4) are not significantly different at p < 0.05 as determined by analysis of variance (one-way ANOVA), followed by least significance difference (LSD) post hoc test.
3.3. NH3 Volatilization
The NH3 volatilization lasted for 10–14 days after the basal and first supplementary fertilization, whereas it lasted for 3–5 days after the second supplementary fertilization (Figure 3). The flux peaked 1–3 days after the basal and supplementary fertilization and then gradually declined to the background flux level. Overall, we observed that the NH3 volatilization flux decreased with a reduction in the conventional N fertilization rate. The flux peaks were more prominent under 80% of the conventional N plus the iron application than under the conventional N fertilization rate after the first supplementary fertilization. The flux was more pronounced in the first rice-growing season (Figure 3a) than in the second season (Figure 3b).
Figure 3.
Ammonia volatilization flux from a paddy field under various nitrogen fertilization rates with or without iron amendment in 2019 (a) and 2020 (b). Conventional N fertilization rate (315 kg N hm−2 season−1) for rice in lower Yangtze River Delta is 100%N. Fe was applied at 5000 kg hm−2 as iron powder (>99% purity) when the field experiment was initiated.
The cumulative NH3 volatilization and volatilization intensity generally decreased with a reduction in the conventional N fertilization rate (Table 2). They significantly decreased when the conventional N fertilization rate was reduced by ≤40%, irrespective of the iron application in the first rice-growing season. They were the least significant under the non-fertilized treatments while not significantly different among the N fertilized treatments in the second season. Moreover, no significant difference was observed between the iron application and the non-applied controls in both seasons. The cumulative NH3 volatilization and NH3 volatilization intensity were much lower in the second season than in the first season.
Table 2.
Cumulative ammonia volatilization and ammonia volatilization intensity under various nitrogen fertilization rates with or without iron amendment in two rice-growing seasons.
The NH4+ concentration in the field surface water notably increased after the N fertilization (Figure S3). It generally decreased with a reduction in the conventional N fertilization rate. It was greatest in the 80%N + Fe treatment after the second supplementary fertilization in the first rice-growing season (Figure S3a). The pH of the field surface water generally increased after the N fertilization (Figure S4). The NH4 + -N concentration (r = 0.682, p < 0.05) and pH (r = 0.302, p < 0.05) were significantly correlated with the NH3 volatilization flux, respectively.
3.4. N2O Emissions
The pulse emission peaks were observed following the basal and supplementary fertilization (Figure 4). The N2O flux generally decreased with a reduction in the conventional N fertilization rate. In the first rice-growing season, the emission peaks were observed 15 days after the basal fertilization and 5 days after the supplementary fertilization (Figure 4a). Moreover, the last emission peak was observed at the drainage stage of the rice field, at which the soil moisture dropped (Figure S5). The emission peaks were observed 16 days after the basal fertilization and 10 days after the supplementary fertilization (Figure 4b).
Figure 4.
Nitrous oxide flux from a paddy under various nitrogen fertilization rates with or without iron amendment in 2019 (a) and 2020 (b). The conventional N fertilization rate (315 kg N hm−2 season−1) for rice in the lower Yangtze River Delta is 100%N. Fe was applied at 5000 kg hm−2 as iron powder (>99% purity) when the field experiment was initiated.
In general, the cumulative N2O emissions and emission intensity decreased with a reduction in the conventional N fertilization rate, or was even negative under the 0%N treatment (Table 3). However, the cumulative N2O emissions decreased more rapidly than the reduction in the N fertilizer rate. Both N2O flux and cumulative emissions were much higher in the first rice-growing season than in the second season. The cumulative N2O emissions were generally higher after the iron application than the non-applied treatments under the same N fertilization rate. Further, it was significantly greater after the iron application in the 80%N treatment in the second rice-growing season.
Table 3.
Cumulative nitrous oxide (N2O) emissions and N2O emission intensity under various nitrogen fertilization rates with or without iron amendment in two rice-growing seasons.
3.5. NO3− and NH4+ Leaching
In general, the NO3− leaching decreased with a reduction in the conventional N fertilization rate or soil depth, whereas the NH4+ leaching fluctuated with the N fertilization rate and soil depth (Table 4 and Table 5). In the first rice-growing season, the NO3− and NH4+ concentrations significantly increased after the iron application compared with the non-applied treatment under 80% of the conventional N rate at a depth of 30 cm (Table 4), as did the NO3− concentration under 60% of the conventional N rate at a depth of 90 cm. The NO3− concentration was generally higher in the second season than in the first season for the same treatments (Table 5). Moreover, it was comparable between the iron application and the non-applied treatments under the same N fertilization rate.
Table 4.
Ammonium and nitrate leaching from a paddy field at a soil depth of 30, 60, and 90 cm under various nitrogen fertilization rates with or without iron amendment in 2019.
Table 5.
Ammonium and nitrate leaching from a paddy field at a soil depth of 30, 60, and 90 cm under various nitrogen fertilization rates with or without iron amendment in 2020.
The cumulative N losses generally decreased with a reduction in the conventional N fertilization rate (Figure 5). Furthermore, the leaching N was the main N-loss pattern throughout the two rice-growing seasons. They accounted for 52.6–80.6% of the cumulated N losses in the first season and 82.9–95.9% in the second season. The NH3 volatilization accounted for 19.8–45.7% of the cumulative N losses in the first season and 4.8–17.0% in the second season. Moreover, the N2O emissions accounted for <2% of the cumulative N losses in the first season, and <1% in the second season.
Figure 5.
Nitrogen losses through ammonia volatilization, nitrous oxide emissions, and leaching N from a paddy field under various nitrogen fertilization rates with or without iron amendment in 2019 (a) and 2020 (b). the conventional N fertilization rate (315 kg N hm−2 season−1) for rice in the lower Yangtze River Delta is 100%N. Fe was applied at 5000 kg hm−2 as iron powder (>99% purity) when the field experiment was initiated. Treatments that have the same letter above their bars (means ± SD, n = 4) are not significantly different at p < 0.05 as determined by analysis of variance (one-way ANOVA), followed by least significance difference (LSD) post hoc test.
4. Discussion
The present study showed that the N fertilization rate could be reduced with an iron amendment, probably through the enhancement of the N-fixing activity of the iron-reducing bacteria. Iron powder was applied to the soil surface at 5000 kg hm−2 and left to oxidize, which is equivalent to increasing the free iron oxide content in soil by 0.5% [27]. Soil nitrogen-fixing activity might be significantly enhanced by the addition of the generated ferric iron oxides to the paddy soil. The ferric iron oxides could provide electron acceptors for the iron-reducing bacteria, Anaeromyxobacter and Geobacter, to utilize for anaerobic respiration, thereby enhancing the soil nitrogen-fixing activity [27]. Moreover, a reduction in the conventional N fertilizer input decreased N losses from the field, such as NH3 volatilization, N2O emissions, and NO3− leaching. This study may enable the establishment of novel and practical rice cultivation as a step towards green agriculture.
Studies have documented that BNF mostly accounted for the N fertility of the soil in the flooded paddy fields for thousands of years, before the use of synthetic fertilizers [18,23,24,40,41]. Significant measures were attempted to enhance BNF in the flooded paddy fields, including planting green manure crops before the rice-growing season and inoculating with Cyanobacteria, such as Azolla diazotrophic bacteria [42]. In this study, the iron amendment combined with crop straw is a feasible and straightforward method to enhance the BNF. It is critical to apply iron powder and straw and leave them for several days under the non-flooded condition to oxidize the iron to ferric iron oxides, since the ferric iron oxides such as ferrihydrite and lepidocrocite are electron acceptors in the energy metabolism of the iron-reducing bacteria [27,43]. Moreover, the acetic acid from the rice straw decomposition could serve as an electron donor for the iron-reducing bacteria [44]. An increase in soil Fe2+ content in iron powder-applied treatments compared with non-applied treatments suggests that the reduction of oxidized iron powder by iron-reducing bacteria and simultaneous N fixation probably occurred in the soil.
BNF usually decreases with an increase in N input, because high NH4+ concentration inhibits the growth and activity of diazotrophic Anaeromyxobacter [22,31]. Combining the iron amendment with 60–80% of the conventional N fertilization rate could ensure rice yields similar to those tested in this study, probably because the straw manure resulted in an increasing C:N ratio and alleviated the inhibition of high NH4+ on BNF. However, the iron amendment alone (0%N + Fe) could not increase rice yields, possibly because the current rice variety might have adapted to the nutrient-rich environment. No detrimental effects on wheat growth were observed between the rice crops in this two-year field experiment. Furthermore, the wheat yields in the 80%N + Fe treatment were comparable to the conventional N fertilization rate and increased by 9.7% compared with 80%N only in the third year of the field experiment.
The NH3 volatilization was reduced with a decrease in the N fertilization rate in this study, in agreement with the previous studies in flooded paddy fields [45,46,47]. Moreover, most NH3 volatilization occurred ≤3 days after the basal or supplementary fertilization [47]. In this study, the proportion of the NH3 volatilization to the applied N was 10.5–17.5% in the first rice-growing reason and 4.8–7.5% in the second season, which was higher than 1.4% in a Japanese paddy field [48]. Rice plants may be a channel for NH3 exchange between the soil and atmosphere, thereby underestimating the NH3 volatilization. In turn, dry deposition of NH3 is compensated to rice fields at ca. 7.3 kg N hm−2 year−1 [49].
The NH4+-N concentration in the field surface water (r = 0.682, p < 0.05) and pH (r = 0.302, p < 0.05) were significantly correlated with the NH3 volatilization flux. NH3 volatilization is influenced by several factors, in particular, N fertilization rate, pH, wind speed, NH4+-N concentration in the liquid phase, and temperature of the field surface water in the flooded paddy fields [45,47,50]. These factors generally show the following order in their strength: pH > wind speed > NH4+ concentration in liquid phase > temperature. The NH3 volatilization flux and cumulative NH3 volatilization were much lower in the second rice-growing season than in the first season, possibly because the rainfall was more frequent and lasted for longer periods. Prolonged rainfall and the N fertilization rate are crucial factors in determining NH3 volatilization loss [50]. Given the excessive longer rainfall periods and the varied N fertilization rates coupled with low pH, we can possibly interpret that these factors played a significant role in the loss of NH3 volatilization.
The N2O emissions were generally more pronounced after the iron amendment in the two rice-growing seasons and significantly higher under 80% of the conventional N fertilization rate in the second season. N2O emissions and Fe2+ were higher when N fertilization was supplemented with iron, probably because the iron oxides generated from iron powder dramatically increased the gene abundances of nirS and nirK, which encode nitrite reductase [11]. Moreover, the iron amendment might have enhanced the BNF of iron-reducing bacteria, and thus, enlarged the N pool of the paddy soils, thereby leading to N2O emissions from these soils via denitrification.
The N2O emissions were much lower in the second rice-growing season than in the first season, probably because the N2O reduction to N2 was enhanced under the strong reducing condition created by long and frequent rainfall. It also explains the lower N2O emissions during the early rice-growing period as compared to the middle and late period of the second season. The paddy soils were N2O sources and sinks, particularly under anaerobic conditions [51]. Long and frequent rainfall resulted in higher soil moisture in the second season than in the first season (Figure S5), which could enhance the N2O reduction to N2 in strong reductive conditions.
The NO3− was the predominant N form of the total leached inorganic N in these constant charge paddy soils [52,53], which was notably decreased with a decrease in the N fertilization rate. The NO3− leaching was much more significant in the second rice-growing season than in the first season because of frequent and more prolonged rainfall. However, this contribution may be overestimated because the total leaching losses were the sum of leaching losses at a depth of 30, 60, and 90 cm. The plants probably utilized NH4+ and NO3− leaching at a depth of 30 and 60 cm due to the upward migration of water [54]. Overall, the cumulative N losses measured in this study decreased with a reduction in the conventional N fertilization rate.
The field site was located in the lower Yangtze River Delta, where the rice originated and has been cultivated for thousands of years. Long-term ecological experiments are an important tool to clarify the effects of iron powder applied with less N fertilizer on rice yields and critical N losses from paddy fields. Therefore, our field experiment is expected to be maintained for a longer term to confirm these effects in China’s lower Yangtze River Delta. Further field experiments may be constructed to investigate the effects of iron powder applied with less N fertilizer in the main paddy soils across China and Japan.
5. Conclusions
The iron powder application at 5000 kg hm−2 when the field experiment was initiated ensured rice yields with a 20–40% reduction in the conventional N fertilization level of ca. 315 kg N hm−2 in a paddy field in China’s Yangtze River Delta. The rice yields were significantly decreased with a 20–40% reduction in the conventional N fertilization rate with the treatment time extended, whereas they increased by 9.7% and 9.6% after the iron application relative to the non-applied controls. Furthermore, the measured N losses, such as NH3 volatilization, N2O emissions, and NO3− leaching, were generally minimized due to the reduction in the conventional N fertilization rate. The N losses were notable with regard to NO3− leaching, higher with regard to NH3 volatilization, and the least with regard to N2O emissions. Combining the iron application with a 20–40% reduction in the conventional N fertilization rate could maintain rice yields while reducing the critical N losses from the flooded paddy soil in China’s Yangtze River Delta. Our study leads to the establishment of novel and practical rice cultivation as a step towards green agriculture in this area.
Supplementary Materials
The following are available online at https://www.mdpi.com/article/10.3390/ijerph19148707/s1, Figure S1: Field experiment testing rice yields and critical nitrogen loss from flooded paddy fields under various nitrogen fertilization rates with or without iron amendment, Figure S2: Leachate collection device to collect NO3− leaching samples in each field plot, Figure S3: Ammonia concentration in field surface water under various nitrogen fertilization rates with or without iron amendment in 2019 (a) and 2020 (b), Figure S4: PH of field surface water under various nitrogen fertilization rates with or without iron amendment in 2019 (a) and 2020 (b), Figure S5: Soil moisture and temperature in the experimental field in 2019 (a) and 2020 (b).
Author Contributions
Conceptualization, W.S., N.G., Y.M., H.I., H.O., Y.S. and K.S.; methodology, Y.L. and Z.Q.; software, Y.L.; validation, W.S. and Y.L.; formal analysis, Y.L.; investigation, W.S., Y.L. and Z.Q.; resources, W.S., N.G. and K.S.; data curation, Y.L. and Z.Q.; writing—original draft preparation, N.G.; writing—review and editing, A.R. and K.S.; visualization, Y.L.; supervision, W.S., N.G. and K.S.; project administration, W.S. and K.S.; funding acquisition, W.S. and K.S. All authors have read and agreed to the published version of the manuscript.
Funding
This research was funded by the Jiangsu Agricultural Science and Technology Innovation Fund (CX(21)3183), National Natural Science Foundation of China (41771291), JSPS KAKENHI (JP20H05679), and JST-Mirai Program (JPMJMI20E5).
Institutional Review Board Statement
Not applicable.
Informed Consent Statement
Not applicable.
Data Availability Statement
Not applicable.
Conflicts of Interest
The authors declare no conflict of interest.
References
- Greenland, D.J. CAB International and the International Rice Research Institute, Manila, Philippines. In The Sustainability of Rice Farming; CAB International: Wallingford, UK, 1998. [Google Scholar]
- Woolston, C. Rice. Nature 2014, 514, S49. [Google Scholar] [CrossRef] [PubMed] [Green Version]
- Tilman, D.; Cassman, K.G.; Matson, P.A.; Naylor, R.; Polasky, S. Agricultural sustainability and intensive production practices. Nature 2002, 418, 671–677. [Google Scholar] [CrossRef] [PubMed]
- Roberts, T. The role of fertilizer in growing the world’s food. Better Crops 2009, 93, 12–15. [Google Scholar]
- Timsina, J. Can organic sources of nutrients increase crop yields to meet global food demand? Agronomy 2018, 8, 214. [Google Scholar] [CrossRef] [Green Version]
- Gellings, C.W.; Parmenter, K.E. Energy efficiency in fertilizer production and use. In Efficient Use and Conversation of Energy; Encyclopedia of Life Support Systems (EOLSS): Oxford, UK, 2004. [Google Scholar]
- Tenkorang, F.; Lowenberg-DeBoer, J. Forecasting long-term global fertilizer demand. Nutr. Cycl. Agroecosystems 2009, 83, 233–247. [Google Scholar] [CrossRef]
- Ju, X.T.; Xing, G.X.; Chen, X.P.; Zhang, S.L.; Zhang, L.J.; Liu, X.J.; Cui, Z.L. Reducing environmental risk by improving N management in intensive Chinese agricultural systems. Proc. Natl. Acad. Sci. USA 2009, 106, 3041–3046. [Google Scholar] [CrossRef] [Green Version]
- Liu, X.J.; Zhang, Y.; Han, W.X.; Tang, A.H.; Shen, J.L.; Cui, Z.L.; Vitousek, P. Enhanced nitrogen deposition over China. Nature 2013, 494, 459–462. [Google Scholar] [CrossRef]
- Zhang, W.F.; Dou, Z.X.; He, P.; Powlson, D.; Chadwick, D.; Norse, D.; Lu, Y.L. New technologies reduce greenhouse gas emissions from nitrogenous fertilizer in China. Proc. Natl. Acad. Sci. USA 2013, 110, 8375–8380. [Google Scholar] [CrossRef] [Green Version]
- Zhang, C.; Ju, X.T.; Powlson, D.; Oenema, O.; Smith, P. Nitrogen surplus benchmarks for controlling N pollution in the main cropping systems of China. Environ. Sci. Technol. 2019, 53, 6678–6687. [Google Scholar] [CrossRef]
- Jansen, R.C.; Shi, Y.; Chen, J.; Hu, Y.; Xu, C.; Hong, S.; Li, J.; Zhang, M. Using hourly measurements to explore the role of secondary inorganic aerosol in PM2.5 during haze and fog in Hangzhou, China. Adv. Atmos. Sci. 2014, 31, 1427–1434. [Google Scholar] [CrossRef]
- David, B.; Mejdell, C.; Michel, V.; Lund, V.; Moe, R.O. Air quality in alternative housing systems may have an impact on laying hen welfare. Part II—Ammonia. Animals 2015, 5, 886–896. [Google Scholar] [PubMed] [Green Version]
- Zhang, X.; Davidson, E.A.; Mauzerall, D.L.; Searchinger, T.D.; Dumas, P.; Shen, Y. Managing nitrogen for sustainable development. Nature 2015, 528, 51–59. [Google Scholar] [CrossRef] [PubMed] [Green Version]
- Peng, S.B.; Buresh, R.J.; Huang, J.L.; Zhong, X.H.; Zou, Y.B.; Yang, J.C.; Wang, G.H. Improving nitrogen fertilization in rice by site specific management. A review. Agron. Sustain. Dev. 2010, 30, 649–656. [Google Scholar] [CrossRef]
- Shindo, S.; Okamoto, K.; Kawashima, H. A model-based estimation of nitrogen flow in the food production–supply system and its environmental effects in East Asia. Ecol. Model. 2003, 169, 197–212. [Google Scholar] [CrossRef]
- Jin, S.Q.; Zhou, F. Zero Growth of Chemical Fertilizer and Pesticide Use: China’s objectives, progress and challenges. J. Resour. Ecology. 2018, 9, 50–58. [Google Scholar]
- De Bruijn, F.J. Biological nitrogen fixation. In Principles of Plant-Microbe Interactions; Springer: Cham, Switzerland, 2015. [Google Scholar]
- Santi, C.; Bogusz, D.; Franche, C. Biological nitrogen fixation in non-legume plants. Ann. Bot. 2013, 111, 743–767. [Google Scholar] [CrossRef] [PubMed] [Green Version]
- Vitousek, P.M.; Menge, D.N.L.; Reed, S.C.; Cleveland, C.C. Biological nitrogen fixation: Rates, patterns and ecological controls in terrestrial ecosystems. Philos. Trans. R. Soc. B Biol. Sci. 2013, 368, 20130119. [Google Scholar] [CrossRef] [Green Version]
- Dai, X.L.; Song, D.L.; Guo, Q.K.; Zhou, W.; Liu, G.R.; Ma, R.P.; Liang, G.Q.; He, P.; Sun, G.; Yuan, F.S.; et al. Predicting the influence of fertilization regimes on potential N fixation through their effect on free-living diazotrophic community structure in double rice cropping systems. Soil Biol. Biochem. 2021, 156, 108220. [Google Scholar] [CrossRef]
- Zhang, Y.H.; Hu, T.L.; Wang, H.; Jin, H.Y.; Liu, Q.; Lin, Z.B.; Liu, B.J.; Liu, H.T.; Chen, Z.; Lin, X.W.; et al. How do different nitrogen application levels and irrigation practices impact biological nitrogen fixation and its distribution in paddy system? Plant Soil. 2021, 467, 329–344. [Google Scholar] [CrossRef]
- Zhu, Z.L. Contribution of non-symbiotic nitrogen fixation in paddy field to nitrogen uptake by rice in current season. Soils 1986, 5, 225–229. (In Chinese) [Google Scholar]
- Wang, X.; Liu, B.; Ma, J.; Zhang, Y.; Hu, T.; Zhang, H.; Feng, Y.C. Soil aluminum oxides determine biological nitrogen fixation and diazotrophic communities across major types of paddy soils in China. Soil Biol. Biochem. 2019, 131, 81–89. [Google Scholar] [CrossRef]
- Yao, Y.L.; Zhang, M.; Tian, Y.H.; Zhao, M.; Zhang, B.W.; Zeng, K.; Zhao, M.; Yin, B. Urea deep placement in combination with Azolla for reducing nitrogen loss and improving fertilizer nitrogen recovery in rice field. Field Crops Res. 2018, 218, 141–149. [Google Scholar] [CrossRef]
- Masuda, Y.; Itoh, H.; Shiratori, Y.; Isobe, K.; Otsuka, S.; Senoo, K. Predominant but previously-overlooked prokaryotic drivers of reductive nitrogen transformation in paddy soils, revealed by metatranscriptomics. Microbes Environ. 2017, 32, 180–183. [Google Scholar] [CrossRef] [PubMed] [Green Version]
- Masuda, Y.; Shiratori, Y.; Ohba, H.; Ishida, T.; Takano, R.; Satoh, S.; Shen, W.S. Enhancement of the nitrogen-fixing activity of paddy soils owing to iron application. Soil Sci. Plant Nutr. 2021, 67, 243–247. [Google Scholar] [CrossRef]
- Ding, L.J.; Su, J.Q.; Xu, H.J.; Jia, Z.J.; Zhu, Y.G. Long-term nitrogen fertilization of paddy soil shifts iron-reducing microbial community revealed by RNA-13C-acetate probing coupled with pyrosequencing. ISME J. 2015, 9, 721–734. [Google Scholar] [CrossRef]
- Kim, Y.; Liesack, W. Differential Assemblage of Functional Units in Paddy Soil Microbiomes. PLoS ONE 2015, 10, e0122221. [Google Scholar] [CrossRef] [Green Version]
- Glissmann, K.; Conrad, R. Fermentation Pattern of Methanogenic Degradation of Rice Straw in Anoxic Paddy Soil. FEMS Microbiol. Ecol. 2000, 31, 117–126. [Google Scholar] [CrossRef]
- Masuda, Y.; Yamanaka, H.; Xu, Z.X.; Shiratori, Y.; Aono, T.; Amachi, S.; Senoo, K.; Itoh, H. Diazotrophic Anaeromyxobacter Isolates from Soils. Appl. Environ. Microbiol. 2020, 86, 16. [Google Scholar] [CrossRef]
- Symanowicz, B.; Skorupka, W.; Becher, M.; Jaremko, D.; Krasuski, S. The Effect of Alfalfa Mineral Fertilization and Times of Soil Sampling on Enzymatic Activity. Agronomy 2021, 11, 1335. [Google Scholar] [CrossRef]
- Gong, Z.T. Chinese Soil Taxonomy; Science Press: Beijing, China; New York, NY, USA, 2001. [Google Scholar]
- IUSS Working Group WRB. World Reference Base for Soil Resources 2006; World Soil Resources Reports No. 103; FAO: Rome, Italy, 2006. [Google Scholar]
- Lu, R.K. Methods of Soil Agricultural Chemical Analysis; China Agriculture Science & Technology Press: Beijing, China, 2000. (In Chinese) [Google Scholar]
- Kissel, D.E.; Brewer, H.L.; Arkin, G.F. Design and test of a field sampler for ammonia volatilization. Soil Sci. Soc. Am. J. 1977, 41, 1133–1138. [Google Scholar] [CrossRef]
- Min, J.; Sun, H.J.; Kronzucker, H.J.; Wang, Y.; Shi, W.M. Comprehensive assessment of the effects of nitrification inhibitor application on reactive nitrogen losses in intensive vegetable production systems. Agric. Ecosyst. Environ. 2021, 307, 107227. [Google Scholar] [CrossRef]
- Klein, C.A.M.; Harvey, M.J. Nitrous Oxide Chamber Methodology Guidelines; Ministry of Primary Industries: Wellington, New Zealand, 2012.
- Uchida, Y.; Wang, Y.; Akiyama, H.; Nakajima, Y.; Hayatsu, M. Expression of denitrification genes in response to a waterlogging event in a Fluvisol and its relationship with large nitrous oxide pulses. FEMS Microbiol. Ecol. 2014, 88, 407–423. [Google Scholar] [CrossRef] [PubMed]
- Yoshida, T.; Ancajas, R.R. Nitrogen-fixing Activity in Upland and Flooded Rice Fields. Soil Sci. Soc. Am. J. 1973, 37, 42–46. [Google Scholar] [CrossRef]
- Ladha, J.K.; Tirol-Padre, A.; Reddy, C.K.; Cassman, K.G.; Verma, S.; Powlson, D.S.; Kessel, C.V. Global Nitrogen Budgets in Cereals: A 50-year Assessment for Maize, Rice and Wheat Production Systems. Sci. Rep. 2016, 6, 19355. [Google Scholar] [CrossRef] [Green Version]
- Choudhury, A.T.M.A.; Kennedy, I.R. Prospects and Potentials for Systems of Biological Nitrogen Fixation in Sustainable Rice Production. Biol. Fertil. Soils. 2004, 39, 219–227. [Google Scholar] [CrossRef]
- Levar, C.E.; Hoffman, C.L.; Dunshee, A.J.; Toner, B.M.; Bond, D.R. Redox potential as a master variable controlling pathways of metal reduction by Geobacter sulfurreducens. ISME J. 2017, 11, 741–752. [Google Scholar] [CrossRef] [PubMed] [Green Version]
- Wang, J.J.; Ma, Y.; Di, L.; Qian, X.Q.; Wang, G.L. Straw incorporation with nitrogen amendment shapes bacterial community structure in an iron-rich paddy soil by altering nitrogen reserves. Microorganisms 2021, 9, 988. [Google Scholar] [CrossRef]
- Lin, D.X.; Fan, X.H.; Hu, F.; Zhao, H.T.; Luo, J.F. Ammonia volatilization and nitrogen utilization efficiency in response to urea application in rice fields of the Taihu Lake Region, China. Pedosphere 2007, 17, 639–645. [Google Scholar] [CrossRef]
- Yang, S.H.; Peng, S.Z.; Xu, J.Z.; Hou, H.J.; Gao, X.L. Nitrogen loss from paddy field with different water and nitrogen managements in Taihu lake region of China. Commun. Soil Sci. Plant Anal. 2013, 44, 2393–2407. [Google Scholar] [CrossRef]
- Chen, A.Q.; Lei, B.K.; Hu, W.L.; Lu, Y.; Mao, Y.T.; Duan, Z.Y.; Shi, Z.S. Characteristics of ammonia volatilization on rice grown under different nitrogen application rates and its quantitative predictions in Erhai Lake Watershed, China. Nutr. Cycl. Agroecosytems 2015, 101, 139–152. [Google Scholar] [CrossRef]
- Hayashi, K.; Nishimura, S.; Yagi, K. Ammonia volatilization from the surface of a Japanese paddy field during rice cultivation. Soil Sci. Plant Nutr. 2006, 52, 545–555. [Google Scholar] [CrossRef]
- Pan, Y.P.; Tian, S.L.; Zhao, Y.H.; Zhang, L.; Zhu, X.Y.; Gao, J.; Huang, W. Identifying ammonia hotspots in China using a national observation network. Environ. Sci. Technol. 2018, 52, 3926–3934. [Google Scholar] [CrossRef] [PubMed] [Green Version]
- Xie, W.M.; Li, S.J.; Shi, W.M.; Zhang, H.L.; Fang, F.; Wang, G.X.; Zhang, L.M. Quantitatively ranking the influencing factors of ammonia volatilization from paddy soils by grey relational entropy. Environ. Sci. Pollut. Res. 2020, 27, 2319–2327. [Google Scholar] [CrossRef] [PubMed]
- Majumdar, D. Biogeochemistry of N2O uptake and consumption in submerged soils and rice fields and implications in climate change. Crit. Rev. Environ. Sci. Technol. 2013, 43, 2653–2684. [Google Scholar] [CrossRef]
- Zhu, J.G.; Liu, G.; Han, Y.; Zhang, Y.L.; Xing, G.X. Nitrate distribution and denitrification in the saturated zone of paddy field under rice/wheat rotation. Chemosphere 2003, 50, 725–732. [Google Scholar] [CrossRef]
- Xiong, Z.Q.; Huang, T.Q.; Ma, Y.C.; Xing, G.X.; Zhu, Z.L. Nitrate and ammonium leaching in variable- and permanent-charge paddy soils. Pedosphere 2010, 20, 209–216. [Google Scholar] [CrossRef]
- Mo’allim, A.A.; Kama, M.R.; Muhammed, H.H.; Soom, M.A.M.; Zawawi, M.A.M.; Wayayok, A.; Man, H.B.C. Assessment of Nutrient Leaching in Flooded Paddy Rice Field Experiment Using Hydrus-1D. Water 2018, 10, 785. [Google Scholar] [CrossRef] [Green Version]
Publisher’s Note: MDPI stays neutral with regard to jurisdictional claims in published maps and institutional affiliations. |
© 2022 by the authors. Licensee MDPI, Basel, Switzerland. This article is an open access article distributed under the terms and conditions of the Creative Commons Attribution (CC BY) license (https://creativecommons.org/licenses/by/4.0/).




