Exposure to Traffic Density during Pregnancy and Birth Weight in a National Cohort, 2000–2017
Abstract
:1. Introduction
2. Materials and Methods
2.1. Data
2.1.1. Study Design and Population
2.1.2. Traffic Density
2.1.3. Outcomes
2.1.4. Covariates
2.2. Statistical Analysis
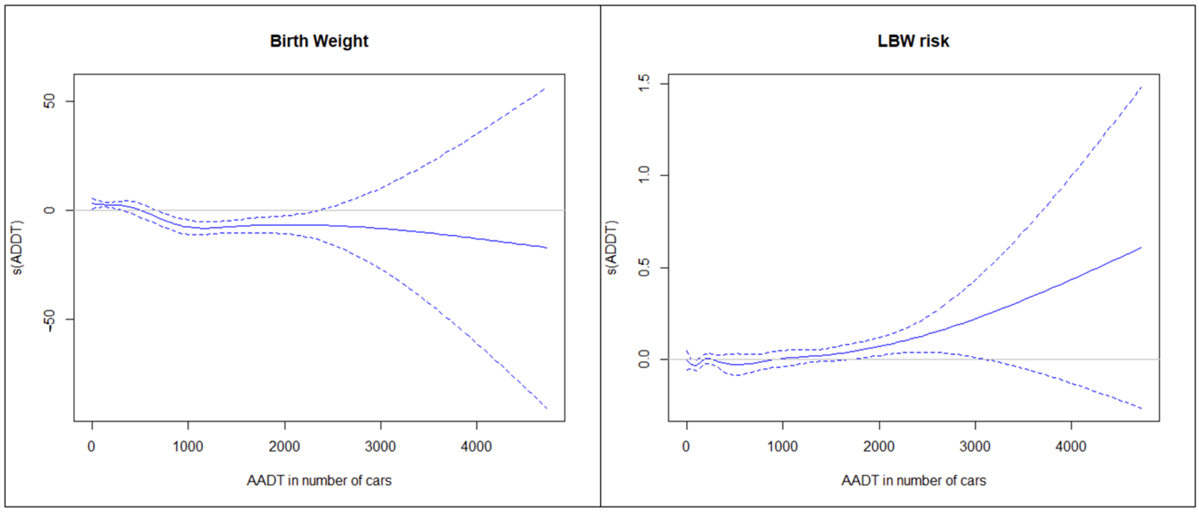
3. Results
4. Discussions
5. Conclusions
Supplementary Materials
Author Contributions
Funding
Institutional Review Board Statement
Informed Consent Statement
Data Availability Statement
Acknowledgments
Conflicts of Interest
References
- Wardlaw, T.; Wardlaw, T.M.; Weltgesundheits Organization. Low Birthweight: Country, Regional and Global Estimates; Weltgesundheits Organization, Ed.; World Health Organization: Geneva, Switzerland, 2004; ISBN 978-92-806-3832-5. [Google Scholar]
- Dos Reis, M.M.; Guimarães, M.T.; Braga, A.L.F.; Martins, L.C.; Pereira, L.A.A. Air Pollution and Low Birth Weight in an Industrialized City in Southeastern Brazil, 2003–2006. Rev. Bras. Epidemiol. 2017, 20, 189–199. [Google Scholar] [CrossRef] [PubMed] [Green Version]
- Low Birthweight. Available online: https://data.unicef.org/topic/nutrition/low-birthweight/ (accessed on 3 May 2022).
- Pratama, A.R.; Arliansyah, J.; Agustien, M. Analysis of Air Pollution due to Vehicle Exhaust Emissions on the Road Networks of Beringin Janggut Area. J. Phys. Conf. Ser. 2019, 1198, 082030. [Google Scholar] [CrossRef]
- Han, K.; Ran, Z.; Wang, X.; Wu, Q.; Zhan, N.; Yi, Z.; Jin, T. Traffic-Related Organic and Inorganic Air Pollution and Risk of Development of Childhood Asthma: A Meta-Analysis. Environ. Res. 2021, 194, 110493. [Google Scholar] [CrossRef] [PubMed]
- Wang, Q.; Feng, H.; Feng, H.; Yu, Y.; Li, J.; Ning, E. The Impacts of Road Traffic on Urban Air Quality in Jinan Based GWR and Remote Sensing. Sci. Rep. 2021, 11, 15512. [Google Scholar] [CrossRef]
- Wu, T.; Cui, Y.; Lian, A.; Tian, Y.; Li, R.; Liu, X.; Yan, J.; Xue, Y.; Liu, H.; Wu, B. Vehicle Emissions of Primary Air Pollutants from 2009 to 2019 and Projection for the 14th Five-Year Plan Period in Beijing, China. J. Environ. Sci. 2023, 124, 513–521. [Google Scholar] [CrossRef]
- Liang, D.; Wang, Y.; Wang, Y.; Ma, C. National Air Pollution Distribution in China and Related Geographic, Gaseous Pollutant, and Socio-Economic Factors. Environ. Pollut. 2019, 250, 998–1009. [Google Scholar] [CrossRef]
- MoghaddamHosseini, V.; Dowlatabadi, A.; Najafi, M.L.; Ghalenovi, M.; Pajohanfar, N.S.; Ghezi, S.; Mehrabadi, S.; Estiri, E.H.; Miri, M. Association of Traffic-Related Air Pollution with Newborn’s Anthropometric Indexes at Birth. Environ. Res. 2022, 204, 112000. [Google Scholar] [CrossRef]
- Lavigne, E.; Yasseen, A.S.; Stieb, D.M.; Hystad, P.; van Donkelaar, A.; Martin, R.V.; Brook, J.R.; Crouse, D.L.; Burnett, R.T.; Chen, H.; et al. Ambient Air Pollution and Adverse Birth Outcomes: Differences by Maternal Comorbidities. Environ. Res. 2016, 148, 457–466. [Google Scholar] [CrossRef] [Green Version]
- Ballester, F.; Estarlich, M.; Iñiguez, C.; Llop, S.; Ramón, R.; Esplugues, A.; Lacasaña, M.; Rebagliato, M. Air Pollution Exposure during Pregnancy and Reduced Birth Size: A Prospective Birth Cohort Study in Valencia, Spain. Environ. Health 2010, 9, 6. [Google Scholar] [CrossRef] [Green Version]
- Stieb, D.M.; Chen, L.; Eshoul, M.; Judek, S. Ambient Air Pollution, Birth Weight and Preterm Birth: A Systematic Review and Meta-Analysis. Environ. Res. 2012, 117, 100–111. [Google Scholar] [CrossRef]
- Klepac, P.; Locatelli, I.; Korošec, S.; Künzli, N.; Kukec, A. Ambient Air Pollution and Pregnancy Outcomes: A Comprehensive Review and Identification of Environmental Public Health Challenges. Environ. Res. 2018, 167, 144–159. [Google Scholar] [CrossRef] [PubMed]
- Fu, L.; Chen, Y.; Yang, X.; Yang, Z.; Liu, S.; Pei, L.; Feng, B.; Cao, G.; Liu, X.; Lin, H.; et al. The Associations of Air Pollution Exposure during Pregnancy with Fetal Growth and Anthropometric Measurements at Birth: A Systematic Review and Meta-Analysis. Environ. Sci. Pollut. Res. 2019, 26, 20137–20147. [Google Scholar] [CrossRef] [PubMed]
- Wang, L.; Guo, P.; Tong, H.; Wang, A.; Chang, Y.; Guo, X.; Gong, J.; Song, C.; Wu, L.; Wang, T.; et al. Traffic-Related Metrics and Adverse Birth Outcomes: A Systematic Review and Meta-Analysis. Environ. Res. 2020, 188, 109752. [Google Scholar] [CrossRef]
- Mariet, A.-S.; Bernard, N.; Pujol, S.; Sagot, P.; Thiriez, G.; Riethmuller, D.; Boilleaut, M.; Defrance, J.; Houot, H.; Parmentier, A.-L.; et al. Association between Moderated Level of Air Pollution and Fetal Growth: The Potential Role of Noise Exposure. Sci. Rep. 2021, 11, 11238. [Google Scholar] [CrossRef] [PubMed]
- Li, X.; Huang, S.; Jiao, A.; Yang, X.; Yun, J.; Wang, Y.; Xue, X.; Chu, Y.; Liu, F.; Liu, Y.; et al. Association between Ambient Fine Particulate Matter and Preterm Birth or Term Low Birth Weight: An Updated Systematic Review and Meta-Analysis. Environ. Pollut. 2017, 227, 596–605. [Google Scholar] [CrossRef]
- Brauer, M.; Lencar, C.; Tamburic, L.; Koehoorn, M.; Demers, P.; Karr, C. A Cohort Study of Traffic-Related Air Pollution Impacts on Birth Outcomes. Environ. Health Perspect. 2008, 116, 680–686. [Google Scholar] [CrossRef] [Green Version]
- Slama, R.; Morgenstern, V.; Cyrys, J.; Zutavern, A.; Herbarth, O.; Wichmann, H.-E.; Heinrich, J.; LISA Study Group. Traffic-Related Atmospheric Pollutants Levels during Pregnancy and Offspring’s Term Birth Weight: A Study Relying on a Land-Use Regression Exposure Model. Environ. Health Perspect. 2007, 115, 1283–1292. [Google Scholar] [CrossRef] [Green Version]
- Dadvand, P.; Ostro, B.; Figueras, F.; Foraster, M.; Basagaña, X.; Valentín, A.; Martinez, D.; Beelen, R.; Cirach, M.; Hoek, G.; et al. Residential Proximity to Major Roads and Term Low Birth Weight: The Roles of Air Pollution, Heat, Noise, and Road-Adjacent Trees. Epidemiology 2014, 25, 518–525. [Google Scholar] [CrossRef]
- Kannan, S.; Misra, D.P.; Dvonch, J.T.; Krishnakumar, A. Exposures to Airborne Particulate Matter and Adverse Perinatal Outcomes: A Biologically Plausible Mechanistic Framework for Exploring Potential Effect Modification by Nutrition. Environ. Health Perspect. 2006, 114, 1636–1642. [Google Scholar] [CrossRef]
- Risom, L.; Møller, P.; Loft, S. Oxidative Stress-Induced DNA Damage by Particulate Air Pollution. Mutat. Res. Fundam. Mol. Mech. Mutagenesis 2005, 592, 119–137. [Google Scholar] [CrossRef]
- Becker, S.; Dailey, L.A.; Soukup, J.M.; Grambow, S.C.; Devlin, R.B.; Huang, Y.-C.T. Seasonal Variations in Air Pollution Particle-Induced Inflammatory Mediator Release and Oxidative Stress. Environ. Health Perspect. 2005, 113, 1032–1038. [Google Scholar] [CrossRef] [PubMed] [Green Version]
- Dejmek, J.; Solanský, I.; Benes, I.; Lenícek, J.; Srám, R.J. The Impact of Polycyclic Aromatic Hydrocarbons and Fine Particles on Pregnancy Outcome. Environ. Health Perspect. 2000, 108, 1159–1164. [Google Scholar] [CrossRef] [PubMed]
- Brunst, K.J.; Hsu, H.-H.L.; Zhang, L.; Zhang, X.; Carroll, K.N.; Just, A.; Coull, B.A.; Kloog, I.; Wright, R.O.; Baccarelli, A.A.; et al. Prenatal Particulate Matter Exposure and Mitochondrial Mutational Load at the Maternal-Fetal Interface: Effect Modification by Genetic Ancestry. Mitochondrion 2022, 62, 102–110. [Google Scholar] [CrossRef] [PubMed]
- Darwish, T.; Abu Bakar, K. Traffic Density Estimation in Vehicular Ad Hoc Networks: A Review. Ad Hoc Networks 2015, 24, 337–351. [Google Scholar] [CrossRef]
- Jo, H.J.; Choe, D.Y. Effects of Road and Traffic Characteristics on Roadside Air Pollution. J. Korean Soc. Transp. 2009, 27, 139–146. [Google Scholar]
- Health Effects Institute. Characterizing the Determinants of Vehicle Traffic Emissions Exposure: Measurements and Modeling of Land-Use, Traffic, Emissions, Transformation and Transport. Available online: https://www.healtheffects.org/research/ongoing-research/characterizing-determinants-vehicle-traffic-emissions-exposure (accessed on 6 May 2022).
- Yorifuji, T.; Naruse, H.; Kashima, S.; Takao, S.; Murakoshi, T.; Doi, H.; Kawachi, I. Residential Proximity to Major Roads and Adverse Birth Outcomes: A Hospital-Based Study. Environ. Health 2013, 12, 34. [Google Scholar] [CrossRef] [Green Version]
- Tamayo-Uria, I.; Boldo, E.; García-Pérez, J.; Gómez-Barroso, D.; Romaguera, E.P.; Cirach, M.; Ramis, R. Childhood Leukaemia Risk and Residential Proximity to Busy Roads. Environ. Int. 2018, 121, 332–339. [Google Scholar] [CrossRef]
- Instituto Nacional de Estadística (National Statistics Institute). Available online: https://www.ine.es/dynt3/inebase/es/index.htm?padre=8380&capsel=8383 (accessed on 6 May 2022).
- Ponce, N.A.; Hoggatt, K.J.; Wilhelm, M.; Ritz, B. Preterm Birth: The Interaction of Traffic-Related Air Pollution with Economic Hardship in Los Angeles Neighborhoods. Am. J. Epidemiol. 2005, 162, 140–148. [Google Scholar] [CrossRef] [Green Version]
- Généreux, M.; Auger, N.; Goneau, M.; Daniel, M. Neighbourhood Socioeconomic Status, Maternal Education and Adverse Birth Outcomes among Mothers Living near Highways. J. Epidemiol. Community Health 2008, 62, 695–700. [Google Scholar] [CrossRef]
- Jun, Y.-B.; Song, I.; Kim, O.; Kim, S. Impact of Limited Residential Address on Health Effect Analysis of Predicted Air Pollution in a Simulation Study. J. Expo. Sci. Environ. Epidemiol. 2022, 1–7. [Google Scholar] [CrossRef]
- Ottone, M.; Broccoli, S.; Parmagnani, F.; Giannini, S.; Scotto, F.; Bonvicini, L.; Luberto, F.; Bacco, D.; Trentini, A.; Poluzzi, V.; et al. Source-Related Components of Fine Particulate Matter and Risk of Adverse Birth Outcomes in Northern Italy. Environ. Res. 2020, 186, 109564. [Google Scholar] [CrossRef] [PubMed]
- Sarizadeh, R.; Dastoorpoor, M.; Goudarzi, G.; Simbar, M. The Association Between Air Pollution and Low Birth Weight and Preterm Labor in Ahvaz, Iran. Int. J. Womens Health 2020, 12, 313–325. [Google Scholar] [CrossRef] [PubMed]
- Sears, C.G.; Braun, J.M.; Ryan, P.H.; Xu, Y.; Werner, E.F.; Lanphear, B.P.; Wellenius, G.A. The Association of Traffic-Related Air and Noise Pollution with Maternal Blood Pressure and Hypertensive Disorders of Pregnancy in the HOME Study Cohort. Environ. Int. 2018, 121, 574–581. [Google Scholar] [CrossRef] [PubMed]
- García-Serna, A.M.; Hernández-Caselles, T.; Jiménez-Guerrero, P.; Martín-Orozco, E.; Pérez-Fernández, V.; Cantero-Cano, E.; Muñoz-García, M.; Ballesteros-Meseguer, C.; de Los Cobos, I.P.; García-Marcos, L.; et al. Air Pollution from Traffic during Pregnancy Impairs Newborn’s Cord Blood Immune Cells: The NELA Cohort. Environ. Res. 2021, 198, 110468. [Google Scholar] [CrossRef]
- Stieb, D.; Chen, L.; Hystad, P.; Beckerman, B.; Jerrett, M.; Tjepkema, M.; Crouse, D.L.; Omariba, D.W.; Peters, P.; van Donkelaar, A.; et al. A National Study of the Association between Traffic-Related Air Pollution and Adverse Pregnancy Outcomes in Canada, 1999–2008. Environ. Res. 2016, 148, 513–526. [Google Scholar] [CrossRef] [Green Version]
- Jedrychowski, W.; Perera, F.; Mrozek-Budzyn, D.; Mroz, E.; Flak, E.; Spengler, J.D.; Edwards, S.; Jacek, R.; Kaim, I.; Skolicki, Z. Gender Differences in Fetal Growth of Newborns Exposed Prenatally to Airborne Fine Particulate Matter. Environ. Res. 2009, 109, 447–456. [Google Scholar] [CrossRef] [Green Version]
- Setton, E.; Marshall, J.D.; Brauer, M.; Lundquist, K.R.; Hystad, P.; Keller, P.; Cloutier-Fisher, D. The Impact of Daily Mobility on Exposure to Traffic-Related Air Pollution and Health Effect Estimates. J. Expo. Sci. Environ. Epidemiol. 2011, 21, 42–48. [Google Scholar] [CrossRef] [Green Version]
- Ma, S.; Yang, L.; Kwan, M.-P.; Zuo, Z.; Qian, H.; Li, M. Do Individuals’ Activity Structures Influence Their PM2.5 Exposure Levels? Evidence from Human Trajectory Data in Wuhan City. Int. J. Environ. Res. Public Health 2021, 18, 4583. [Google Scholar] [CrossRef]
- Glazener, A.; Khreis, H. Transforming Our Cities: Best Practices Towards Clean Air and Active Transportation. Curr. Environ. Health Rep. 2019, 6, 22–37. [Google Scholar] [CrossRef]
- DGT—Distintivo Ambiental. Available online: https://www.dgt.es/nuestros-servicios/tu-vehiculo/tus-vehiculos/distintivo-ambiental/ (accessed on 6 July 2022).
- Ayuntamiento de Madrid Plan A: Air Quality and Climate Change Plan for the City of Madrid. Available online: https://www.madrid.es/UnidadesDescentralizadas/Sostenibilidad/CalidadAire/Ficheros/PlanAire&CC_Eng.pdf (accessed on 6 July 2022).
- Izquierdo, R.; Dos Santos, S.G.; Borge, R.; de la Paz, D.; Sarigiannis, D.; Gotti, A.; Boldo, E. Health Impact Assessment by the Implementation of Madrid City Air-Quality Plan in 2020. Environ. Res. 2020, 183, 109021. [Google Scholar] [CrossRef]
- Querol, X.; Massagué, J.; Alastuey, A.; Moreno, T.; Gangoiti, G.; Mantilla, E.; Duéguez, J.J.; Escudero, M.; Monfort, E.; García-Pando, C.P.; et al. Lessons from the COVID-19 Air Pollution Decrease in Spain: Now What? Sci. Total Environ. 2021, 779, 146380. [Google Scholar] [CrossRef] [PubMed]
- Baldasano, J.M. COVID-19 Lockdown Effects on Air Quality by NO2 in the Cities of Barcelona and Madrid (Spain). Sci. Total Environ. 2020, 741, 140353. [Google Scholar] [CrossRef] [PubMed]
- Castillo, C.; Viu-Roig, M.; Alvarez-Palau, E.J. COVID-19 Lockdown as an Opportunity to Rethink Urban Freight Distribution: Lessons from the Barcelona Metropolitan Area. Transp. Res. Interdiscip. Perspect. 2022, 14, 100605. [Google Scholar] [CrossRef] [PubMed]
- Ministerio Para la Transición Ecológica y el Reto Demográfico Políticas y Medidas Para Reducir la Contaminación Atmosférica. Available online: https://www.miteco.gob.es/es/calidad-y-evaluacion-ambiental/temas/atmosfera-y-calidad-del-aire/emisiones/pol-med/ (accessed on 24 June 2022).
- European Environment Agency Spain_NAPCP_Summary_2019. Available online: https://cdr.eionet.europa.eu/es/eu/nec_revised/programmes/envxjqhuq/ (accessed on 24 June 2022).


| Traffic Density at Home Address | |||||
|---|---|---|---|---|---|
| Characteristics | Overall | Low Traffic Density | Moderate Traffic Density | High Traffic Density | Very High Traffic Density |
| Newborn variables | |||||
| Gestation age at birth, mean (weeks) | 39.43 | 39.44 | 39.43 | 39.43 | 39.40 |
| Birth weight, mean (grams) | 3294.40 | 3297.40 | 3298.17 | 3296.75 | 3285.29 |
| Low birth weight (%) | 2.79 | 24.25 | 24.42 | 25.07 | 26.26 |
| Infant sex (%) | |||||
| Male | 51.33 | 24.99 | 25.02 | 24.97 | 25.02 |
| Female | 48.67 | 25.01 | 24.98 | 25.03 | 24.98 |
| Birth year (%) | |||||
| 2000–2004 | 26.90 | 23.67 | 24.30 | 25.98 | 26.04 |
| 2005–2008 | 23.40 | 24.59 | 25.04 | 25.44 | 24.92 |
| 2009–2012 | 22.99 | 25.99 | 25.53 | 24.34 | 24.15 |
| 2013–2017 | 26.71 | 25.84 | 25.22 | 24.19 | 24.75 |
| Parental variables | |||||
| Maternal age (%) | |||||
| <20 | 3.13 | 25.16 | 23.99 | 29.57 | 21.28 |
| 20–34 | 67.81 | 25.52 | 24.80 | 25.40 | 24.27 |
| 35–40 | 26.24 | 23.81 | 25.61 | 23.59 | 27.00 |
| >40 | 2.81 | 23.38 | 25.17 | 23.45 | 27.99 |
| Maternal age, mean (years) | 31.53 | 31.36 | 31.64 | 31.22 | 31.92 |
| Paternal age, mean (years) | 33.97 | 34.01 | 34.06 | 33.70 | 34.13 |
| Maternal autonomous community of residence (%) | |||||
| Andalusia | 28.04 | 25.98 | 24.18 | 28.29 | 21.55 |
| Aragon | 2.37 | 39.55 | 38.45 | 18.71 | 3.29 |
| Asturias | 1.65 | 32.93 | 44.27 | 19.25 | 3.55 |
| Balearic Islands | 2.06 | 30.64 | 39.35 | 28.44 | 1.58 |
| Basque Country | 5.48 | 24.25 | 30.20 | 16.25 | 29.30 |
| Canary Islands | 3.27 | 19.36 | 25.87 | 33.29 | 21.48 |
| Cantabria | 1.05 | 31.94 | 41.17 | 23.37 | 3.51 |
| Castile and Leon | 4.44 | 38.62 | 34.74 | 20.71 | 5.94 |
| Castilla-La Mancha | 3.96 | 47.84 | 24.65 | 22.55 | 4.96 |
| Catalonia | 13.33 | 15.39 | 15.63 | 21.67 | 47.30 |
| Ceuta and Melilla | 0.35 | 18.63 | 38.95 | 37.94 | 4.49 |
| Community of Madrid | 12.68 | 12.86 | 15.40 | 21.36 | 50.37 |
| Extremadura | 1.94 | 43.58 | 26.26 | 24.59 | 5.57 |
| Galicia | 4.04 | 40.07 | 42.53 | 14.77 | 2.63 |
| La Rioja | 0.64 | 40.40 | 41.52 | 15.79 | 2.29 |
| Navarre | 1.43 | 45.27 | 36.78 | 16.14 | 1.80 |
| Region of Murcia | 3.31 | 23.04 | 28.16 | 47.53 | 1.27 |
| Valencian Community | 9.96 | 18.21 | 21.99 | 29.87 | 29.93 |
| Maternal size of municipality and capital of residence (%) | |||||
| Equal or less than 10,000 inhabitants | 17.32 | 70.28 | 11.83 | 12.13 | 5.76 |
| 10,001–20,000 inhabitants | 11.64 | 30.64 | 27.16 | 29.83 | 12.37 |
| 20,001–50,000 inhabitants | 16.66 | 16.32 | 30.51 | 33.47 | 19.70 |
| 50,001–100,000 inhabitants | 10.89 | 11.72 | 30.61 | 31.78 | 25.89 |
| More than 100,000 inhabitants | 10.57 | 9.23 | 23.11 | 23.41 | 44.25 |
| Capital of the province | 32.92 | 13.02 | 27.13 | 24.05 | 35.80 |
| Maternal socio-economic condition (%) | |||||
| 0.31–0.57 | 0.47 | 20.23 | 26.07 | 33.12 | 20.58 |
| 0.58–0.83 | 14.17 | 38.19 | 21.42 | 28.09 | 12.31 |
| 0.84–1.09 | 60.55 | 23.88 | 26.51 | 25.96 | 23.65 |
| 1.10–1.35 | 24.18 | 20.67 | 23.65 | 20.79 | 34.89 |
| 1.36–1.62 | 0.63 | 5.46 | 11.91 | 18.72 | 63.91 |
| Maternal socio-economic condition, mean | 0.99 | 0.96 | 1.00 | 0.98 | 1.04 |
| Maternal economic activity rate (%) | |||||
| 20–40 | 0.00 | 95.18 | 4.82 | 0.00 | 0.00 |
| 41–60 | 0.66 | 43.62 | 24.88 | 22.44 | 9.06 |
| 61–80 | 78.54 | 25.84 | 25.53 | 25.60 | 23.04 |
| 81–100 | 20.80 | 21.24 | 23.02 | 22.83 | 32.92 |
| Maternal economic activity rate, mean | 75.42 | 74.49 | 75.22 | 75.10 | 76.86 |
| Characteristics | Unadjusted Association | Adjusted Association a | ||
|---|---|---|---|---|
| Grams (95% CI) | p-Value | Grams (95% CI) | p-Value | |
| Traffic-density, per 100 cars | −0.87 (−0.94, −0.81) | <0.01 | −0.33 (−0.40, −0.26) | <0.01 |
| Traffic-density, per quartiles | ||||
| Low traffic density | Ref. | Ref. | ||
| Moderate traffic density | 0.77 (−0.29, 1.83) | 0.10 | −1.65 (−2.74, −0.55) | <0.01 |
| High traffic density | −0.65 (−1.71, 0.41) | 0.10 | −2.02 (−3.12, −0.96) | <0.01 |
| Very high traffic density | −12.11 (−13.17, −11.04) | <0.01 | −5.10 (−6.30, −3.89) | <0.01 |
| Characteristics | Crude OR | Adjusted OR a | ||
|---|---|---|---|---|
| OR (CI 95%) | p-Value | OR (CI 95%) | p-Value | |
| Traffic-density, per 100 cars | 1.006 (1.005, 1.007) | <0.01 | 1.005 (1.004, 1.006) | <0.01 |
| Traffic-density, per quartiles | ||||
| Low traffic density | Ref. | Ref. | ||
| Moderate traffic density | 1.01 (0.99, 1.02) | 0.10 | 1.01 (0.99, 1.03) | 0.10 |
| High traffic density | 1.04 (1.02, 1.05) | <0.01 | 1.04 (1.02, 1.05) | <0.01 |
| Very high traffic density | 1.09 (1.07, 1.10) | <0.01 | 1.08 (1.06, 1.10) | <0.01 |
| Characteristics | Crude OR | Adjusted OR a | ||
|---|---|---|---|---|
| OR (95% CI) | p-Value | OR (95% CI) | p-Value | |
| Gestation age at birth (weeks) | 0.47 (0.46, 0.47) | <0.01 | 0.46 (0.46, 0.46) | <0.01 |
| Infant Sex | ||||
| Male | Ref. | Ref. | ||
| Female | 1.55 (1.53, 1.56) | <0.01 | 1.62 (1.61, 1.64) | <0.01 |
| Birth year | 1.00 (1.00, 1.01) | <0.01 | 1.01 (1.01, 1.01) | <0.01 |
| Maternal age (years) | 0.99 (0.99, 1.00) | <0.01 | 0.99 (0.99, 0.99) | <0.01 |
| Paternal age (years) | 0.99 (0.99, 0.99) | <0.01 | 1.00 (0.99, 1.00) | <0.01 |
| Maternal autonomous community of residence | ||||
| Andalusia | Ref. | Ref. | ||
| Aragon | 1.13 (1.09, 1.17) | <0.01 | 1.28 (1.23, 1.33) | <0.01 |
| Asturias | 1.14 (1.09, 1.19) | <0.01 | 1.23 (1.18, 1.29) | <0.01 |
| Balearic Islands | 1.03 (0.99, 1.07) | 0.10 | 1.08 (1.04, 1.13) | <0.01 |
| Basque Country | 0.87 (0.85, 0.89) | <0.01 | 0.97 (0.94, 1.00) | 0.01 |
| Canary Islands | 1.22 (1.19, 1.26) | <0.01 | 1.29 (1.25, 1.33) | <0.01 |
| Cantabria | 0.84 (0.79, 0.89) | <0.01 | 0.91 (0.86, 0.97) | <0.01 |
| Castile and Leon | 1.19 (1.16, 1.22) | <0.01 | 1.33 (1.29, 1.37) | <0.01 |
| Castilla-La Mancha | 1.10 (1.07, 1.14) | <0.01 | 1.10 (1.06, 1.13) | <0.01 |
| Catalonia | 1.12 (1.10, 1.14) | <0.01 | 1.24 (1.22, 1.27) | <0.01 |
| Ceuta and Melilla | 0.86 (0.78, 0.95) | <0.01 | 0.83 (0.75, 0.92) | <0.01 |
| Community of Madrid | 1.20 (1.18, 1.22) | <0.01 | 1.30 (1.27, 1.33) | <0.01 |
| Extremadura | 1.04 (1.00, 1.08) | 0.05 | 1.08 (1.04, 1.13) | <0.01 |
| Galicia | 1.11 (1.08, 1.15) | <0.01 | 1.29 (1.25, 1.32) | <0.01 |
| La Rioja | 1.05 (0.98, 1.12) | 0.10 | 1.13 (1.05, 1.21) | <0.01 |
| Navarre | 0.92 (0.88, 0.97) | <0.01 | 1.02 (0.97, 1.08) | 0.10 |
| Region of Murcia | 0.98 (0.95, 1.01) | 0.10 | 0.99 (0.96, 1.03) | 0.10 |
| Valencian Community | 1.05 (1.03, 1.07) | <0.01 | 1.04 (1.02, 1.06) | <0.01 |
| Maternal size of municipality and capital of residence | ||||
| Equal or less than 10,000 inhabitants | Ref. | Ref. | ||
| 10,001–20,000 inhabitants | 1.01 (0.99, 1.03) | 0.10 | 1.02 (1.00, 1.05) | 0.01 |
| 20,001–50,000 inhabitants | 1.01 (0.99, 1.03) | 0.10 | 1.00 (0.98, 1.02) | 0.10 |
| 50,001–100,000 inhabitants | 1.04 (1.02, 1.06) | <0.01 | 1.02 (1.00, 1.05) | 0.05 |
| More than 100,000 inhabitants | 1.13 (1.10, 1.15) | <0.01 | 1.06 (1.03, 1.08) | <0.01 |
| Capital of the province | 1.05 (1.04, 1.07) | <0.01 | 1.03 (1.02, 1.05) | <0.01 |
| Maternal socio-economic condition | ||||
| 0.31–0.57 | Ref. | Ref. | ||
| 0.58–0.83 | 0.93 (0.86, 1.00) | 0.01 | 0.96 (0.89, 1.04) | 0.10 |
| 0.84–1.09 | 0.89 (0.83, 0.96) | <0.01 | 0.84 (0.77, 0.91) | <0.01 |
| 1.10–1.35 | 0.80 (0.74, 0.86) | <0.01 | 0.69 (0.64, 0.75) | <0.01 |
| 1.36–1.62 | 0.81 (0.73, 0.89) | <0.01 | 0.64 (0.58, 0.72) | <0.01 |
| Maternal economic activity rate | ||||
| 20–40 | Ref. | Ref. | ||
| 41–60 | 0.85 (0.27, 2.70) | 0.10 | 0.64 (0.20, 2.07) | 0.10 |
| 61–80 | 0.77 (0.24, 2.43) | 0.10 | 0.65 (0.20, 2.11) | 0.10 |
| 81–100 | 0.75 (0.24, 2.38) | 0.10 | 0.67 (0.21, 2.18) | 0.10 |
Publisher’s Note: MDPI stays neutral with regard to jurisdictional claims in published maps and institutional affiliations. |
© 2022 by the authors. Licensee MDPI, Basel, Switzerland. This article is an open access article distributed under the terms and conditions of the Creative Commons Attribution (CC BY) license (https://creativecommons.org/licenses/by/4.0/).
Share and Cite
Canto, M.V.; Guxens, M.; Ramis, R. Exposure to Traffic Density during Pregnancy and Birth Weight in a National Cohort, 2000–2017. Int. J. Environ. Res. Public Health 2022, 19, 8611. https://doi.org/10.3390/ijerph19148611
Canto MV, Guxens M, Ramis R. Exposure to Traffic Density during Pregnancy and Birth Weight in a National Cohort, 2000–2017. International Journal of Environmental Research and Public Health. 2022; 19(14):8611. https://doi.org/10.3390/ijerph19148611
Chicago/Turabian StyleCanto, Marcelle Virginia, Mònica Guxens, and Rebeca Ramis. 2022. "Exposure to Traffic Density during Pregnancy and Birth Weight in a National Cohort, 2000–2017" International Journal of Environmental Research and Public Health 19, no. 14: 8611. https://doi.org/10.3390/ijerph19148611
APA StyleCanto, M. V., Guxens, M., & Ramis, R. (2022). Exposure to Traffic Density during Pregnancy and Birth Weight in a National Cohort, 2000–2017. International Journal of Environmental Research and Public Health, 19(14), 8611. https://doi.org/10.3390/ijerph19148611

