Factors Predicting Training Delays and Attrition of Recruits during Basic Military Training
Abstract
1. Introduction
2. Materials and Methods
2.1. Participants
2.2. Anthropometry and Body Composition
2.3. Injury, Illness and Training Outcomes
2.4. Salivary Cortisol and Testosterone
2.5. Well-Being: Depression Anxiety and Stress Scale (DASS-21)
2.6. Short Recovery Stress Scale
2.7. Subjective Load and Fatigue
2.8. Physical Activity Load
2.9. Physical Fitness
2.10. Statistical Analyses
3. Results
3.1. Participants
3.2. Comparison of Responses between On-Pathway and Off-Pathway
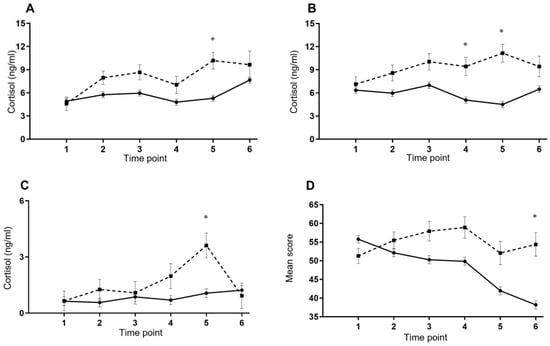
3.2.1. Subjective Measures
3.2.2. Objective Measures
3.3. Predictors of Injury
3.3.1. Baseline Values as Predictors of Injury Risk
3.3.2. Mean Scores across Training as Predictors of Injury
3.3.3. Independent Predictors of Injury
3.4. Predictors of Deviating Off-Pathway during BMT
3.4.1. Baseline Values as Predictors of Off-Pathway (Delayed March-Out or Attrition)
3.4.2. Mean Scores across Training as Predictors of Off-Pathway (Delayed March-Out or Attrition)
3.4.3. Independent Predictors of Off-Pathway (Delayed March-Out or Attrition)
3.4.4. Risk of Delayed Completion and Discharge for BMT: Off-Pathway Sub Analysis
4. Discussion
4.1. Risk Factors of Injury
4.2. Risk Factors of Delayed March-Out and/or Discharge
4.3. Strengths/Limitations
5. Conclusions
6. Practical Applications
Supplementary Materials
Author Contributions
Funding
Institutional Review Board Statement
Informed Consent Statement
Data Availability Statement
Acknowledgments
Conflicts of Interest
References
- Nindl, B.C.; Barnes, B.R.; Alemany, J.A.; Frykman, P.N.; Shippee, R.L.; Friedl, K.E. Physiological consequences of US Army Ranger training. Med. Sci. Sports Exerc. 2007, 39, 1380–1387. [Google Scholar] [CrossRef] [PubMed]
- Nindl, B.C.; Leone, C.D.; Tharion, W.J.; Johnson, R.F.; Castellani, J.; Patton, J.F.; Montain, S.J. Physical performance responses during 72 h of military operational stress. Med. Sci. Sports Exerc. 2002, 34, 1814–1822. [Google Scholar] [CrossRef] [PubMed]
- Hamarsland, H.; Paulsen, G.; Solberg, P.A.; Slaathaug, O.G.; Raastad, T. Depressed Physical Performance Outlasts Hormonal Disturbances after Military Training. Med. Sci. Sports Exerc. 2018, 50, 2076–2084. [Google Scholar] [CrossRef] [PubMed]
- Booth, C.K.; Probert, B.; Forbes-Ewan, C.; Coad, R.A. Australian army recruits in training display symptoms of overtraining. Mil. Med. 2006, 171, 1059–1064. [Google Scholar] [CrossRef] [PubMed]
- Meeusen, R.; Duclos, M.; Foster, C.; Gleeson, M.; Nieman, D.; Raglin, J.; Rietjens, G.; Steinacker, J.; Urhausen, A. Prevention, diagnosis, and treatment of the overtraining syndrome: Joint consensus statement of the European College of Sport Science and the American College of Sports Medicine. Med. Sci. Sports Exerc. 2013, 45, 186–205. [Google Scholar] [CrossRef]
- Beckner, M.E.; Main, L.; Tait, J.L.; Martin, B.J.; Conkright, W.R.; Nindl, B.C. Circulating biomarkers associated with performance and resilience during military operational stress. Eur. J. Sport Sci. 2022, 22, 72–86. [Google Scholar] [CrossRef]
- Molloy, J.M.; Pendergrass, T.L.; Lee, I.E.; Chervak, M.C.; Hauret, K.G.; Rhon, D.I. Musculoskeletal injuries and United States Army readiness part I: Overview of injuries and their strategic impact. Mil. Med. 2020, 185, e1461–e1471. [Google Scholar] [CrossRef]
- Pope, R.P.; Herbert, R.; Kirwan, J.D.; Graham, B.J. Predicting attrition in basic military training. Mil. Med. 1999, 164, 710–714. [Google Scholar] [CrossRef]
- Knapik, J.J. Injuries and injury prevention during foot marching. J. Spec. Oper. Med. A Peer Rev. J. SOF Med. Prof. 2014, 14, 131–135. [Google Scholar] [CrossRef]
- Knapik, J.J.; Graham, B.; Cobbs, J.; Thompson, D.; Steelman, R.; Jones, B.H. A prospective investigation of injury incidence and injury risk factors among army recruits in military police training. BMC Musculoskelet. Disord. 2013, 14, 32. [Google Scholar] [CrossRef]
- Knapik, J.J.; Graham, B.; Cobbs, J.; Thompson, D.; Steelman, R.; Jones, B.H. A prospective investigation of injury incidence and risk factors among army recruits in combat engineer training. J. Occup. Med. Toxicol. 2013, 8, 5–14. [Google Scholar] [CrossRef] [PubMed]
- Canham-Chervak, M.; Hauret, K.; Hoedebecke, E.; Laurin, M.J.; Cuthie, J. Discharges during US Army basic training: Injury rates and risk factors. Mil. Med. 2001, 166, 641–647. [Google Scholar] [CrossRef]
- Swedler, D.I.; Knapik, J.J.; Williams, K.W.; Grier, T.L.; Jones, B.H. Risk factors for medical discharge from United States Army basic combat training. Mil. Med. 2011, 176, 1104–1110. [Google Scholar] [CrossRef]
- Larsson, H.; Broman, L.; Harms-Ringdahl, K. Individual risk factors associated with premature discharge from military service. Mil. Med. 2009, 174, 9–20. [Google Scholar] [CrossRef] [PubMed]
- Booth-Kewley, S.; Larson, G.E.; Ryan, M.A. Predictors of Navy attrition. I. Analysis of 1-year attrition. Mil. Med. 2002, 167, 760–769. [Google Scholar] [CrossRef]
- Sulsky, S.I.; Bulzacchelli, M.T.; Zhu, L.; Karlsson, L.; McKinnon, C.J.; Hill, O.T.; Kardouni, J.R. Risk factors for training-related injuries during US army basic combat training. Mil. Med. 2018, 183 (Suppl. 1), 55–65. [Google Scholar] [CrossRef]
- Robinson, M.; Siddall, A.; Bilzon, J.; Thompson, D.; Greeves, J.; Izard, R.; Stokes, K. Low fitness, low body mass and prior injury predict injury risk during military recruit training: A prospective cohort study in the British Army. BMJ Open Sport Exerc. Med. 2016, 2, e000100. [Google Scholar] [CrossRef]
- Billings, C.E. Epidemiology of injuries and illnesses during the United States Air Force Academy 2002 Basic Cadet Training program: Documenting the need for prevention. Mil. Med. 2004, 169, 664–670. [Google Scholar] [CrossRef]
- Reis, J.P.; Trone, D.W.; Macera, C.A.; Rauh, M.J. Factors associated with discharge during marine corps basic training. Mil. Med. 2007, 172, 936–941. [Google Scholar] [CrossRef]
- Chassé, E.; Laroche, M.-A.; Dufour, C.-A.; Guimond, R.; Lalonde, F. Association between musculoskeletal injuries and the Canadian Armed Forces physical employment standard proxy in Canadian military recruits. Mil. Med. 2020, 185, e1140–e1146. [Google Scholar] [CrossRef]
- Blacker, S.D.; Wilkinson, D.M.; Bilzon, J.L.; Rayson, M.P. Risk factors for training injuries among British Army recruits. Mil. Med. 2008, 173, 278–286. [Google Scholar] [CrossRef] [PubMed]
- Kucera, K.L.; Marshall, S.W.; Wolf, S.H.; Padua, D.A.; Cameron, K.L.; Beutler, A.I. Association of injury history and incident injury in cadet basic military training. Med. Sci. Sports Exerc. 2016, 48, 1053. [Google Scholar] [CrossRef] [PubMed][Green Version]
- Saw, A.E.; Main, L.C.; Gastin, P.B. Monitoring the athlete training response: Subjective self-reported measures trump commonly used objective measures: A systematic review. Br. J. Sports Med. 2015, 50, 281–291. [Google Scholar] [CrossRef] [PubMed]
- Kellmann, M.; Bertollo, M.; Bosquet, L.; Brink, M.; Coutts, A.J.; Duffield, R.; Erlacher, D.; Halson, S.L.; Hecksteden, A.; Heidari, J.; et al. Recovery and performance in sport: Consensus statement. Int. J. Sports Physiol. Perform. 2018, 13, 240–245. [Google Scholar] [CrossRef] [PubMed]
- Martin, P.D.; Williamson, D.A.; Alfonso, A.J.; Ryan, D.H. Psychological adjustment during Army basic training. Mil. Med. 2006, 171, 157–160. [Google Scholar] [CrossRef]
- Tait, J.L.; Bulmer, S.; Drain, J.R.; Main, L.C. Associations between inflammatory markers and well-being during 12 weeks of basic military training. Eur. J. Appl. Physiol. 2021, 121, 849–860. [Google Scholar] [CrossRef]
- Epstein, Y.; Yanovich, R.; Moran, D.; Heled, Y. Physiological employment standards IV: Integration of women in combat units physiological and medical considerations. Eur. J. Appl. Physiol. 2013, 113, 2673–2690. [Google Scholar] [CrossRef]
- Wyss, T.; Boesch, M.; Roos, L.; Tschopp, C.; Frei, K.M.; Annen, H.; La Marca, R. Aerobic Fitness Level Affects Cardiovascular and Salivary Alpha Amylase Responses to Acute Psychosocial Stress. Sports Med. Open 2016, 2, 33. [Google Scholar] [CrossRef]
- Nindl, B.C.; Jaffin, D.P.; Dretsch, M.N.; Cheuvront, S.N.; Wesensten, N.J.; Kent, M.L.; Grunberg, N.E.; Pierce, J.R.; Barry, E.S.; Scott, J.M.; et al. Human Performance Optimization Metrics: Consensus Findings, Gaps, and Recommendations for Future Research. J. Strength Cond. Res. 2015, 29, S221–S245. [Google Scholar] [CrossRef]
- Cigrang, J.A.; Carbone, E.G.; Todd, S.; Fiedler, E. Mental health attrition from Air Force basic military training. Mil. Med. 1998, 163, 834–838. [Google Scholar] [CrossRef]
- Andersen, M.B.; Williams, J.M. A model of stress and athletic injury: Prediction and prevention. J. Sport Exerc. Psychol. 1988, 10, 294–306. [Google Scholar] [CrossRef]
- Corrigan, S.L.; Bulmer, S.; Roberts, S.S.; Warmington, S.; Drain, J.; Main, L.C. Monitoring Responses to Basic Military Training with Heart Rate Variability. Med. Sci. Sports Exerc. 2022; online ahead of print. [Google Scholar] [CrossRef]
- Bulmer, S.; Aisbett, B.; Drain, J.R.; Roberts, S.S.; Gastin, P.B.; Tait, J.L.; Main, L.C. Sleep of recruits throughout basic military training and its relationships with stress, recovery, and fatigue. Int. Arch. Occup. Environ. Health 2022, 1–12. [Google Scholar] [CrossRef] [PubMed]
- Bahr, R.; Clarsen, B.; Derman, W.; Dvorak, J.; Emery, C.A.; Finch, C.F.; Hägglund, M.; Junge, A.; Kemp, S.; Khan, K.M.; et al. International Olympic Committee consensus statement: Methods for recording and reporting of epidemiological data on injury and illness in sports 2020 (including the STROBE extension for sports injury and illness surveillance (STROBE-SIIS)). Orthop. J. Sports Med. 2020, 8, 2325967120902908. [Google Scholar] [CrossRef] [PubMed]
- Lovibond, S.H.; Lovibond, P.F. Manual for the Depression Anxiety Stress Scales; Psychology Foundation of Australia: Sydney, Australia, 1995. [Google Scholar]
- Lovibond, P.F.; Lovibond, S.H. The structure of negative emotional states: Comparison of the Depression Anxiety Stress Scales (DASS) with the Beck Depression and Anxiety Inventories. Behav. Res. Ther. 1995, 33, 335–343. [Google Scholar] [CrossRef]
- Kellmann, M.; Kölling, S. Recovery and Stress in Sport: A Manual for Testing and Assessment; Routledge: London, UK, 2019. [Google Scholar]
- Hart, S.G.; Staveland, L.E. Development of NASA-TLX (Task Load Index): Results of empirical and theoretical research. Adv. Psychol. 1988, 52, 139–183. [Google Scholar]
- Matthews, G.; Reinerman-Jones, L.E.; Barber, D.J.; Abich, I.V.J. The psychometrics of mental workload: Multiple measures are sensitive but divergent. Hum. Factors 2015, 57, 125–143. [Google Scholar] [CrossRef]
- Samn, S.W.; Perelli, L.P. Estimating Aircrew Fatigue: A Technique with Application to Airlift Operations: School of Aerospace Medicine Brooks; USAF: Washington, DC, USA, 1982. [Google Scholar]
- Ridgers, N.D.; Fairclough, S. Assessing free-living physical activity using accelerometry: Practical issues for researchers and practitioners. Eur. J. Sport Sci. 2011, 11, 205–213. [Google Scholar] [CrossRef]
- Ramsbottom, R.; Brewer, J.; Williams, C. A progressive shuttle run test to estimate maximal oxygen uptake. Br. J. Sports Med. 1988, 22, 141–144. [Google Scholar] [CrossRef]
- Fallowfield, J.L.; Leiper, R.G.; Shaw, A.M.; Whittamore, D.R.; Lanham-New, S.A.; Allsopp, A.J.; Kluzek, S.; Arden, N.K.; Sanchez-Santos, M.T. Risk of injury in Royal Air Force training: Does sex really matter? Mil. Med. 2020, 185, 170–177. [Google Scholar] [CrossRef]
- Anderson, M.K.; Grier, T.; Dada, E.O.; Canham-Chervak, M.; Jones, B.H. The role of gender and physical performance on injuries: An Army study. Am. J. Prev. Med. 2017, 52, e131–e138. [Google Scholar] [CrossRef]
- Uehli, K.; Mehta, A.J.; Miedinger, D.; Hug, K.; Schindler, C.; Holsboer-Trachsler, E.; Leuppi, J.D.; Künzli, N. Sleep problems and work injuries: A systematic review and meta-analysis. Sleep Med. Rev. 2014, 18, 61–73. [Google Scholar] [CrossRef] [PubMed]
- Salminen, S.; Oksanen, T.; Vahtera, J.; Sallinen, M.; Härmä, M.; Salo, P.; Virtanen, M.; Kivimaki, M. Sleep disturbances as a predictor of occupational injuries among public sector workers. J. Sleep Res. 2010, 19, 207–213. [Google Scholar] [CrossRef] [PubMed]
- Harrison, E.; Glickman, G.L.; Beckerley, S.; Taylor, M.K. Self-reported sleep during US Navy operations and the impact of deployment-related factors. Mil. Med. 2017, 182 (Suppl. 1), 189–194. [Google Scholar] [CrossRef] [PubMed][Green Version]
- Andersen, M.B.; Williams, J.M. Athletic injury, psychosocial factors and perceptual changes during stress. J. Sports Sci. 1999, 17, 735–741. [Google Scholar] [CrossRef] [PubMed]
- Schram, B.; Canetti, E.; Orr, R.; Pope, R. Injury Rates in Female and Male Military Personnel: A Systematic Review and Meta-Analysis. In Proceedings of the Poster Session Presented at World Physiotherapy Congress 2021, Online, 9–11 April 2021. [Google Scholar]
- Santtila, M.; Kyrolainen, H.; Hakkinen, K. Serum hormones in soldiers after basic training: Effect of added strength or endurance regimens. Aviat Space Env. Med. 2009, 80, 615–620. [Google Scholar] [CrossRef]
- Drain, J.R.; Groeller, H.; Burley, S.D.; Nindl, B.C. Hormonal response patterns are differentially influenced by physical conditioning programs during basic military training. J. Sci. Med. Sport 2017, 20, S98–S103. [Google Scholar] [CrossRef]
- Hellhammer, D.H.; Wüst, S.; Kudielka, B.M. Salivary cortisol as a biomarker in stress research. Psychoneuroendocrino 2009, 34, 163–171. [Google Scholar] [CrossRef]
- Saldanha, C.J.; Duncan, K.A.; Walters, B.J. Neuroprotective actions of brain aromatase. Front. Neuroendocr. 2009, 30, 106–118. [Google Scholar] [CrossRef]
- Lieberman, H.R.; Karl, J.P.; McClung, J.P.; Williams, K.W.; Cable, S. Improved mood state and absence of sex differences in response to the stress of Army Basic Combat Training. Appl. Psychol. Health Well-Being 2016, 8, 351–363. [Google Scholar] [CrossRef]
- Lieberman, H.R.; Kellogg, M.D.; Bathalon, G.P. Female marine recruit training: Mood, body composition, and biochemical changes. Med. Sci. Sports Exerc. 2008, 40 (Suppl. 11), S671–S676. [Google Scholar] [CrossRef]
- Lieberman, H.R.; Karl, J.P.; Niro, P.J.; Williams, K.W.; Farina, E.K.; Cable, S.J.; McClung, J.P. Positive effects of basic training on cognitive performance and mood of adult females. Hum. Factors 2014, 56, 1113–1123. [Google Scholar] [CrossRef] [PubMed]
- Bhagwagar, Z.; Hafizi, S.; Cowen, P.J. Increased salivary cortisol after waking in depression. Psychopharmacology 2005, 182, 54–57. [Google Scholar] [CrossRef] [PubMed]
- Kirschbaum, C.; Prussner, J.C.; Stone, A.A.; Federenko, I.; Gaab, J.; Lintz, D.; Schommer, N.; Hellhammer, D.H. Persistent high cortisol responses to repeated psychological stress in a subpopulation of healthy men. Psychosom. Med. 1995, 57, 468–474. [Google Scholar] [CrossRef] [PubMed]
- Pruessner, J.C.; Hellhammer, D.H.; Kirschbaum, C. Burnout, perceived stress, and cortisol responses to awakening. Psychosom. Med. 1999, 61, 197–204. [Google Scholar] [CrossRef] [PubMed]
- Crowley, S.K.; Wilkinson, L.L.; Wigfall, L.T.; Reynolds, A.M.; Muraca, S.T.; Glover, S.H.; Wooten, N.R.; Sui, X.; Beets, M.W.; Durstine, J.L.; et al. Physical fitness and depressive symptoms during army basic combat training. Med. Sci. Sports Exerc. 2015, 47, 151. [Google Scholar] [CrossRef] [PubMed]
- Jones, N.; Whelan, C.; Harden, L.; Macfarlane, A.; Burdett, H.; Greenberg, N. Resilience-based intervention for UK military recruits: A randomised controlled trial. Occup. Environ. Med. 2019, 76, 90–96. [Google Scholar] [CrossRef]
- Skomorovsky, A.; Sudom, K.A. Psychological well-being of Canadian forces officer candidates: The unique roles of hardiness and personality. Mil. Med. 2011, 176, 389–396. [Google Scholar] [CrossRef][Green Version]
- Sui, X.; Laditka, J.N.; Church, T.S.; Hardin, J.; Chase, N.; Davis, K.; Blair, S.N. Prospective study of cardiorespiratory fitness and depressive symptoms in women and men. J. Psychiatr. Res. 2009, 43, 546–552. [Google Scholar] [CrossRef]
- Dishman, R.K.; Sui, X.; Church, T.S.; Hand, G.A.; Trivedi, M.H.; Blair, S.N. Decline in cardiorespiratory fitness and odds of incident depression. Am. J. Prev. Med. 2012, 43, 361–368. [Google Scholar] [CrossRef]
- White, K.; Kendrick, T.; Yardley, L. Change in self-esteem, self-efficacy and the mood dimensions of depression as potential mediators of the physical activity and depression relationship: Exploring the temporal relation of change. Ment. Health Phys. Act. 2009, 2, 44–52. [Google Scholar] [CrossRef]
- Casey, G.W., Jr. Comprehensive soldier fitness: A vision for psychological resilience in the US Army. Am. Psychol. 2011, 66, 1. [Google Scholar] [CrossRef] [PubMed]
- Rudzki, S.J. The effect of a modified physical training program in reducing injury and medical discharge rates in Australian Army recruits. Mil. Med. 1999, 164, 648–652. [Google Scholar] [CrossRef] [PubMed]
- Hackney, A.C.; Viru, A. Research methodology: Endocrinologic measurements in exercise science and sports medicine. J. Athl. Train. 2008, 43, 631–639. [Google Scholar] [CrossRef] [PubMed]

| Characteristics | On-Pathway | Off-Pathway |
|---|---|---|
| N | 36 (78%) | 10 (22%) |
| Discharged | 3 (7%) | |
| Delayed march-out | 7 (15%) | |
| Men, n (%) | 31 (86%) | 6 (60%) |
| Women, n (%) | 5 (14%) | 4 (40%) |
| Age, year | 24.1 ± 6.8 | 26.4 ± 8.4 |
| Height, cm | 178.0 ± 9.7 * | 169.4 ± 9.8 |
| Weight, kg | 76.0 ± 14.6 | 72.7 ± 15.8 |
| BMI (kg/m2) | 23.9 ± 3.3 | 25.0 ± 3.1 |
| Injuries, n | 11 | 6 |
| Recruits with injuries, n | 6 (16.7%) | 6 (60%) |
| Objective measures | ||
| Predicted O2max, mL·kg−1·min−1 | 43.2 ± 4.4 | 40.5 ± 3.6 |
| Push-ups completed, n | 32.8 ± 10.9 * | 23.9 ± 13.0 |
| Cortisol (ng/mL) | ||
| Waking | 4.9 ± 1.9 | 4.6 ± 2.8 |
| 30 min post-waking | 6.4 ± 2.4 | 7.1 ± 3.0 |
| Bedtime | 0.6 ± 0.4 | 0.7 ± 0.4 |
| Testosterone (pg/mL) | ||
| Waking | 180.4 ± 51.5 | 156.7 ± 78.8 |
| 30 min post-waking | 158.6 ± 45.9 | 167.7 ± 76.7 |
| Bedtime | 109.6 ± 41.8 | 104.1 ± 35.9 |
| Steps per week, n | 108,608 ± 16,074 * | 82,077 ± 26,049 |
| Subjective measures | ||
| Short Stress Recovery Scale | ||
| Stress Composite | 7.7 ± 4.0 | 10.3 ± 4.9 |
| Recovery Composite | 13.8 ± 3.8 | 11.0 ± 3.0 |
| NASA-TLX Average | 55.4 ± 9.3 | 51.3 ± 12.6 |
| Fatigue | ||
| Pre-sleep fatigue | 4.0 ± 1.0 | 3.8 ± 1.0 |
| Post-sleep fatigue | 3.9 ± 1.0 | 3.8 ± 0.9 |
| DASS-21 | ||
| Depression | 7.2, 4.0 ± 10 | 9.5, 5.0 ± 15 |
| Anxiety | 8.9, 8.0 ± 12 | 8.8, 6.0 ± 12 |
| Stress | 12.2, 10.0 ± 16 | 16.0, 14.0 ± 9 |
| Body Region | Nature of Injury/Complaint | Complaints, n (%) |
|---|---|---|
| Lower limbs | Strain/sprain | 9 (52.9%) |
| Stress fracture | 1 (5.9%) | |
| Trunk (incl.back) | Strain/sprain | 4 (23.5%) |
| Other | Undefined illness/injury | 3 (17.6%) |
| Total | 17 (100%) | |
| Activity at time of injury | ||
| Physical Training | Strength training | 5 (29.4%) |
| Swimming | 1 (5.9%) | |
| Running | 2 (11.8%) | |
| General Training | Pack marching | 1 (5.9%) |
| Training activities | 2 (11.8%) | |
| Field training | 1 (5.9%) | |
| Unloading/picking up equipment | 2 (11.8%) | |
| Other | Undefined activity | 3 (17.6%) |
| Total | 17 (100%) |
| BMT Week | Injuries, n (%) | Injuries, Cumulative Total (%) | Off-Pathway, n (%) | Off-Pathway, Cumulative Total (%) |
|---|---|---|---|---|
| Week 1 | 1 (5.9%) | 1 (5.9%) | 0 (0) | 0 (0%) |
| Week 2 | 3 (17.6%) | 4 (23.5%) | 2 (20%) | 2 (20%) |
| Week 3 | 1 (5.9%) | 5 (29.4%) | 2 (20%) | 4 (40%) |
| Week 4 | 4 (23.5%) | 9 (52.9%) | 1 (10%) | 5 (50%) |
| Week 5 | 0 (0%) | 9 (52.9%) | 0 (0%) | 5 (50%) |
| Week 6 | 0 (0%) | 9 (52.9%) | 0 (0%) | 5 (50%) |
| Week 7 | 0 (0%) | 9 (52.9%) | 2 (20%) | 7 (70%) |
| Week 8 | 1 (5.9%) | 10 (58.8%) | 1 (10%) | 8 (80%) |
| Week 9 | 0 (0%) | 10 (58.8%) | 1 (10%) | 9 (90%) |
| Week 10 | 1 (5.9%) | 11 (64.7%) | 1 (10%) | 10 (100%) |
| Week 11 | 4 (23.5%) | 15 (88.2%) | 0 (0%) | 10 (100%) |
| Week 12 | 0 (0%) | 15 (88.2%) | 0 (0%) | 10 (100%) |
| Undefined | 2 (11.8%) | 17 (100%) | 0 (0%) | 0 (0%) |
| Total | 17 (100%) | 10 (100%) |
| Injury Risk | Risk of Off-Pathway | |||
|---|---|---|---|---|
| Factors | Risk Ratio (95% CI) | p Value | Risk Ratio (95% CI) | p Value |
| Sex, Females | 3.71 (1.63, 8.46) | p = 0.002 | 2.89 (1.01, 8.24) | p = 0.047 |
| Non-completion | 3.26 (1.40, 7.60) | p = 0.006 | - | |
| Injury | - | 4.03 (1.38, 12.2) | p = 0.013 | |
| Pre-sleep fatigue | 1.63 (1.05, 2.55) | p = 0.030 | 0.95 (0.53, 1.71) | ns |
| Post-sleep fatigue | 2.02 (1.30, 3.14) | p = 0.002 | 1.42 (0.79, 2.52) | ns |
| Sleep quality | 2.15 (1.15, 3.99) | p = 0.016 | 1.26 (0.61, 2.58) | ns |
| SRSS: Stress | 1.04 (1.00, 1.09) | p = 0.046 | 1.06 (1.01, 1.11) | p = 0.024 |
| SRSS: Recovery | 0.80 (0.69, 0.91) | p = 0.001 | 0.85 (0.74, 0.97) | p = 0.020 |
| DASS: Depression | 0.98 (0.91, 1.04) | ns | 1.07 (1.03, 1.12) | p = 0.025 |
| DASS: Anxiety | 0.99 (0.91, 1.09) | ns | 1.06 (0.97, 1.16) | ns |
| DASS: Stress | 1.04 (0.97, 1.11) | ns | 1.11 (1.04, 1.19) | p = 0.003 |
| NASA-TLX: Subscale Average | 1.04 (1.00, 1.09) | p = 0.046 | 1.06 (1.01, 1.11) | p = 0.023 |
| Cortisol: waking | 1.10 (0.94, 1.28) | ns | 1.10 (0.89, 1.36) | ns |
| Cortisol: +30 min | 1.11 (0.96, 1.29) | ns | 1.27 (1.09, 1.46) | p = 0.002 |
| Cortisol: bedtime | 2.03 (1.49, 2.76) | p < 0.001 | 1.77 (0.93, 3.36) | ns |
| Testosterone: waking | 0.99 (0.97, 0.99) | p < 0.001 | 0.99 (0.98, 0.99) | p = 0.010 |
| Testosterone: +30 min | 0.98 (0.97, 0.99) | p < 0.001 | 0.99 (0.98, 1.00) | ns |
| Testosterone: bedtime | 0.98 (0.96, 0.99) | p = 0.001 | 0.99 (0.97, 1.01) | ns |
| Step count | 0.99 (1.00, 1.00) | ns | 0.99 (0.99, 0.99) | p = 0.002 |
| Delayed Completion, n = 7 | Discharge, n = 3 | |||
|---|---|---|---|---|
| Factors | Risk Ratio | p-Value | Risk Ratio | p-Value |
| Sex, Females | 2.64 | ns | 13.2 | ns |
| Injury | 11.1 | p = 0.010 | 2.21 | ns |
| Pre-sleep fatigue | 0.83 | ns | 1.33 | ns |
| Post-sleep fatigue | 1.32 | ns | 2.44 | ns |
| Sleep quality | 0.98 | ns | 2.8 | ns |
| SRSS: Stress | 1.10 | p = 0.041 | 1.05 | ns |
| SRSS: Recovery | 0.80 | ns | 0.83 | ns |
| DASS: Depression | 1.02 | ns | 1.23 | p = 0.018 |
| DASS: Anxiety | 0.99 | ns | 1.22 | p = 0.039 |
| DASS: Stress | 1.07 | ns | 1.59 | p = 0.028 |
| NASA-TLX: Subscale Average | 1.10 | p = 0.039 | 1.05 | ns |
| Cortisol: waking | 1.15 | ns | 1.01 | ns |
| Cortisol: +30 min | 1.41 | p = 0.047 | 1.31 | ns |
| Cortisol: bedtime | 2.76 | ns | - | - |
| Testosterone: waking | 0.98 | ns | 0.99 | ns |
| Testosterone: +30 min | 0.99 | ns | 0.99 | ns |
| Testosterone: bedtime | 0.99 | ns | 0.99 | ns |
| Step count | 1.00 | ns | 1.00 | ns |
Publisher’s Note: MDPI stays neutral with regard to jurisdictional claims in published maps and institutional affiliations. |
© 2022 by the authors. Licensee MDPI, Basel, Switzerland. This article is an open access article distributed under the terms and conditions of the Creative Commons Attribution (CC BY) license (https://creativecommons.org/licenses/by/4.0/).
Share and Cite
Tait, J.L.; Drain, J.R.; Bulmer, S.; Gastin, P.B.; Main, L.C. Factors Predicting Training Delays and Attrition of Recruits during Basic Military Training. Int. J. Environ. Res. Public Health 2022, 19, 7271. https://doi.org/10.3390/ijerph19127271
Tait JL, Drain JR, Bulmer S, Gastin PB, Main LC. Factors Predicting Training Delays and Attrition of Recruits during Basic Military Training. International Journal of Environmental Research and Public Health. 2022; 19(12):7271. https://doi.org/10.3390/ijerph19127271
Chicago/Turabian StyleTait, Jamie L., Jace R. Drain, Sean Bulmer, Paul B. Gastin, and Luana C. Main. 2022. "Factors Predicting Training Delays and Attrition of Recruits during Basic Military Training" International Journal of Environmental Research and Public Health 19, no. 12: 7271. https://doi.org/10.3390/ijerph19127271
APA StyleTait, J. L., Drain, J. R., Bulmer, S., Gastin, P. B., & Main, L. C. (2022). Factors Predicting Training Delays and Attrition of Recruits during Basic Military Training. International Journal of Environmental Research and Public Health, 19(12), 7271. https://doi.org/10.3390/ijerph19127271

