Effect of Precipitation Variation on Soil Respiration in Rain-Fed Winter Wheat Systems on the Loess Plateau, China
Abstract
:1. Introduction
2. Materials and Methods
2.1. Experimental site Description and Design
2.2. Measurement of Rs, Ts, and VWC
2.3. Measurements of Soil Profile Moisture and Net Photosynthetic Rate (Pn)
2.4. The Dependence of Rs on Ts and VWC
2.5. Statistical Analysis
3. Results
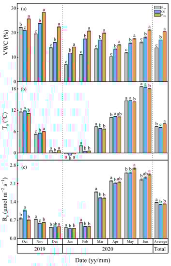
3.1. Environmental Conditions and Rs
3.2. Relationships between Rs and Ts, VWC
3.3. Hysteresis between Rs and Ts
3.4. Temperature Sensitivity (Q10) of Rs
4. Discussion
4.1. Effects of Precipitation on Rs in Winter Wheat Systems
4.2. Responses of Rs to Ts and VWC Coupling to Precipitation Variation
4.3. The Response of Diel Hysteresis to Precipitation
4.4. The Response of Seasonal Q10 to Precipitation
5. Conclusions
Supplementary Materials
Author Contributions
Funding
Institutional Review Board Statement
Informed Consent Statement
Data Availability Statement
Acknowledgments
Conflicts of Interest
References
- Xu, C.; McDowell, N.G.; Fisher, R.A.; Wei, L.; Sevanto, S.; Christoffersen, B.O.; Weng, E.; Middleton, R.S. Increasing impacts of extreme droughts on vegetation productivity under climate change. Nat. Clim. Chang. 2019, 9, 948–953. [Google Scholar] [CrossRef] [Green Version]
- Zhang, J.J.; Ru, J.Y.; Song, J.; Li, H.; Li, X.M.; Ma, Y.F.; Li, Z.; Hao, Y.F.; Chi, Z.S.; Hui, D.F.; et al. Increased precipitation and nitrogen addition accelerate the temporal increase of soil respiration during eight-year old-field grassland succession. Glob. Change Biol. 2022, 28, 3944–3959. [Google Scholar] [CrossRef]
- Liu, J.; Wang, B.; Cane, M.A.; Yim, S.Y.; Lee, J.Y. Divergent global precipitation changes induced by natural versus anthropogenic forcing. Nature 2013, 493, 656–659. [Google Scholar] [CrossRef]
- Kuzyakov, Y. Sources of CO2 efflux from soil and review of partitioning methods. Soil Biol. Biochem. 2006, 38, 425–448. [Google Scholar] [CrossRef]
- Niu, F.R.; Chen, J.; Xiong, P.F.; Wang, Z.; Zhang, H.; Xu, B.C. Responses of soil respiration to rainfall pulses in a natural grassland community on the semi-arid Loess Plateau of China. Catena 2019, 178, 199–208. [Google Scholar] [CrossRef]
- Luo, Y.Q.; Zhou, X.H. Soil Respiration and the Environment; Elsevier Academic Press: San Diego, CA, USA, 2006. [Google Scholar]
- Longdoz, B.; Yernaux, M.; Aubinet, M. Soil CO2 efflux measurements in a mixed forest: Impact of chamber disturbances, spatial variability and seasonal evolution. Glob. Chang. Biol. 2000, 6, 907–917. [Google Scholar] [CrossRef]
- Hui, D.F.; Deng, Q.; Tian, H.Q.; Luo, Y.Q. Global Climate Change and Greenhouse Gases Emissions in Terrestrial Ecosystems. In Handbook of Climate Change Mitigation and Adaptation; Springer International Publishing: New York, NY, USA, 2021; pp. 1–54. [Google Scholar]
- Jassal, R.S.; Black, T.A.; Novak, M.D.; Gaumont-Guay, D.; Nesic, Z. Effect of soil water stress on soil respiration and its temperature sensitivity in an 18-year-old temperate Douglas-fir stand. Glob. Chang. Biol. 2008, 14, 1305–1318. [Google Scholar] [CrossRef]
- Lloyd, J.; Taylor, J.A. On the temperature dependence of soil respiration. Funct. Ecol. 1994, 8, 315–323. [Google Scholar] [CrossRef]
- Chang, C.T.; Sabaté, S.; Sperlich, D.; Poblador, S.; Sabater, F.; Gracia, C. Does soil moisture overrule temperature dependence of soil respiration in Mediterranean riparian forests? Biogeosciences 2014, 11, 6173–6185. [Google Scholar] [CrossRef] [Green Version]
- Tang, J.W.; Baldocchi, D.D.; Xu, L.K. Tree photosynthesis modulates soil respiration on a diurnal time scale. Glob. Change Biol. 2005, 11, 1298–1304. [Google Scholar] [CrossRef]
- Zhang, Y.J.; Guo, S.L.; Zhao, M.; Du, L.L.; Li, R.J.; Jiang, J.S.; Wang, R.; Li, N.N. Soil moisture influence on the interannual variation in temperature sensitivity of soil organic carbon mineralization in the Loess Plateau. Biogeosciences 2015, 12, 3655–3664. [Google Scholar] [CrossRef] [Green Version]
- Du, Y.; Wang, Y.P.; Su, F.L.; Jiang, J.; Wang, C.; Yu, M.X.; Yan, J.H. The response of soil respiration to precipitation change is asymmetric and differs between grasslands and forests. Glob. Chang. Biol. 2020, 26, 6015–6024. [Google Scholar] [CrossRef]
- Knapp, A.K.; Ciais, P.; Smith, M.D. Reconciling inconsistencies in precipitation-productivity relationships: Implications for climate change. New Phytol. 2017, 214, 41–47. [Google Scholar] [CrossRef] [Green Version]
- Zhang, Y.Y.; Zhao, W.Z.; Fu, L.; Zhao, C.; Jia, A.Y. Land use conversion influences soil respiration across a desert-oasis ecoregion in Northwest China, with consideration of cold season CO2 efflux and its significance. Catena 2020, 188, 104460. [Google Scholar] [CrossRef]
- Wang, C.K.; Yang, J.Y.; Zhang, Q.Z. Soil respiration in six temperate forests in China. Glob. Chang. Biol. 2006, 12, 2103–2114. [Google Scholar] [CrossRef]
- Zhang, L.H.; Chen, Y.N.; Zhao, R.F.; Li, W.H. Significance of temperature and soil water content on soil respiration in three desert ecosystems in Northwest China. J. Arid Environ. 2010, 74, 1200–1211. [Google Scholar] [CrossRef]
- Janssens, I.A.; Pilegaard, K. Large seasonal changes in Q10 of soil respiration in a beech forest. Glob. Chang. Biol. 2010, 9, 911–918. [Google Scholar] [CrossRef]
- Li, L.F.; Qian, R.Y.; Liu, W.J.; Wang, W.J.; Biederman, J.A.; Zhang, B.; Kang, X.M.; Wen, F.Q.; Ran, Q.W.; Zheng, Z.Z.; et al. Drought timing influences the sensitivity of a semiarid grassland to drought. Geoderma 2022, 412, 115714. [Google Scholar] [CrossRef]
- Jia, X.; Zha, T.S.; Wu, B.; Zhang, Y.Q.; Chen, W.J.; Wang, X.P.; Yu, H.Q.; He, G.M. Temperature response of soil respiration in a Chinese pine plantation: Hysteresis and seasonal vs. diel Q10. PLoS ONE 2013, 8, e57858. [Google Scholar] [CrossRef] [Green Version]
- Illeris, L.; Christensen, T.R.; Mastepanov, M. Moisture effects on temperature sensitivity of CO2 exchange in a subarctic heath ecosystem. Biogeochemistry 2004, 70, 315–330. [Google Scholar] [CrossRef]
- Farooq, M.; Hussain, M.; Siddique, K.H.M. Drought Stress in Wheat during Flowering and Grain-filling Periods. Crit. Rev. Plant Sci. 2014, 33, 331–349. [Google Scholar] [CrossRef]
- Kulkarni, N.G.; Bhandarkar, U.V.; Puranik, B.P.; Rao, A.B. Experimental determination of thermal properties of alluvial soil. Heat Mass Transf. 2016, 52, 2661–2669. [Google Scholar] [CrossRef]
- Fang, C.; Ye, J.S.; Gong, Y.H.; Pei, J.Y.; Yuan, Z.Q.; Xie, C.; Zhu, Y.S.; Yu, Y.Y. Seasonal responses of soil respiration to warming and nitrogen addition in a semi-arid alfalfa-pasture of the Loess Plateau, China. Sci. Total Environ. 2017, 590–591, 729–738. [Google Scholar] [CrossRef]
- Wang, X.C.; Li, J. Evaluation of crop yield and soil water estimates using the EPIC model for the Loess Plateau of China. Math. Comput. Model. 2010, 51, 1390–1397. [Google Scholar] [CrossRef]
- Zhang, H.X.; Zhou, X.P.; Lu, F.; Pang, J.Z.; Feng, Z.W.; Liu, W.Z.; Ouyang, Z.Y.; Wang, X.K. Seasonal dynamics of soil CO2 efflux in a conventional tilled wheat field of the Loess Plateau, China. Ecol. Res. 2011, 26, 735–743. [Google Scholar] [CrossRef]
- Wang, W.; Liao, Y.C.; Wen, X.X.; Guo, Q. Dynamics of CO2 fluxes and environmental responses in the rain-fed winter wheat ecosystem of the Loess Plateau, China. Sci. Total Environ. 2013, 461–462, 10–18. [Google Scholar] [CrossRef] [Green Version]
- Xu, Y.Y.; Ma, X.C.; Wang, Y.X.; Ali, S.; Cai, T.; Jia, Z.K. Effects of ridge-furrow mulching system with supplementary irrigation on soil respiration in winter wheat fields under different rainfall conditions. Agric. Water Manag. 2020, 239, 106237. [Google Scholar] [CrossRef]
- Zhang, F.Y.; Quan, Q.; Ma, F.F.; Tian, D.S.; Zhou, Q.P.; Niu, S.L. Differential responses of ecosystem carbon flux components to experimental precipitation gradient in an alpine meadow. Funct. Ecol. 2019, 33, 889–900. [Google Scholar] [CrossRef]
- Li, H.J.; Yan, J.X.; Yue, X.F.; Wang, M.B. Significance of soil temperature and moisture for soil respiration in a Chinese mountain area. Agric. For. Meteorol. 2008, 148, 490–503. [Google Scholar] [CrossRef]
- Shi, W.Y.; Yan, M.J.; Zhang, J.G.; Guan, J.H.; Du, S. Soil CO2 emissions from five different types of land use on the semiarid Loess Plateau of China, with emphasis on the contribution of winter soil respiration. Atmos. Environ. 2014, 88, 74–82. [Google Scholar] [CrossRef]
- Li, L.F.; Qian, R.Y.; Wang, W.J.; Kang, X.M.; Ran, Q.W.; Zheng, Z.Z.; Zhang, B.; Xu, C.; Che, R.X.; Dong, J.F.; et al. The intra- and inter-annual responses of soil respiration to climate extremes in a semiarid grassland. Geoderma 2020, 378, 114629. [Google Scholar] [CrossRef]
- Yang, Z.L.; Wei, Y.Y.; Fu, G.Y.; Song, H.Q.; Li, G.Y.; Xiao, R. Asymmetric effect of increased and decreased precipitation in different periods on soil and heterotrophic respiration in a semiarid grassland. Agric. For. Meteorol. 2020, 291, 108039. [Google Scholar] [CrossRef]
- Yu, C.L.; Hui, D.F.; Deng, Q.; Kudjo Dzantor, E.; Fay, P.A.; Shen, W.J.; Luo, Y.Q. Responses of switchgrass soil respiration and its components to precipitation gradient in a mesocosm study. Plant Soil 2017, 420, 105–117. [Google Scholar] [CrossRef]
- Guo, Y.; Yin, W.; Chai, Q.; Fan, Z.L.; Hu, F.L.; Fan, H.; Zhao, C.; Yu, A.Z.; Coulter, J.A. No tillage with previous plastic covering increases water harvesting and decreases soil CO2 emissions of wheat in dry regions. Soil Till. Res. 2021, 208, 104883. [Google Scholar] [CrossRef]
- Li, Z.X.; Zhang, Q.Y.; Qiao, Y.F.; Du, K.; Li, Z.; Tian, C.; Zhu, N.; Leng, P.F.; Yue, Z.W.; Cheng, H.F.; et al. Influence of straw mulch and no-tillage on soil respiration, its components and economic benefit in a Chinese wheat–maize cropping system. Glob. Ecol. Conserv. 2022, 34, e02013. [Google Scholar] [CrossRef]
- Luo, Y.Q.; Wan, S.Q.; Hui, D.F.; Wallace, L.L. Acclimatization of soil respiration to warming in a tall grass prairie. Nature 2001, 413, 622–625. [Google Scholar] [CrossRef]
- Lin, Z.B.; Zhang, R.D.; Tang, J.; Zhang, J.Y. Effects of High Soil Water Content and Temperature on Soil Respiration. Soil Sci. 2011, 176, 150–155. [Google Scholar] [CrossRef]
- Hu, Z.H.; Towfiqul Islam, A.R.M.; Chen, S.T.; Hu, B.B.; Shen, S.H.; Wu, Y.Z.; Wang, Y.P. Effects of warming and reduced precipitation on soil respiration and N2O fluxes from winter wheat-soybean cropping systems. Geoderma 2019, 337, 956–964. [Google Scholar] [CrossRef]
- Tan, S.Y.; Ni, X.Y.; Yue, K.; Liao, S.; Wu, F.Z. Increased precipitation differentially changed soil CO2 efflux in arid and humid areas. Geoderma 2021, 388, 114946. [Google Scholar] [CrossRef]
- Liu, Y.C.; Liu, S.R.; Miao, R.H.; Liu, Y.Z.; Wang, D.; Zhao, C.C. Seasonal variations in the response of soil CO2 efflux to precipitation pulse under mild drought in a temperate oak (Quercus variabilis) forest. Agric. For. Meteorol. 2019, 271, 240–250. [Google Scholar] [CrossRef]
- Zhang, B.W.; Li, W.J.; Chen, S.P.; Tan, X.R.; Wang, S.S.; Chen, M.L.; Ren, T.T.; Xia, J.Y.; Huang, J.H.; Han, X.G. Changing precipitation exerts greater influence on soil heterotrophic than autotrophic respiration in a semiarid steppe. Agric. For. Meteorol. 2019, 271, 413–421. [Google Scholar] [CrossRef]
- Liu, Y.C.; Zhao, C.C.; Shang, Q.; Su, L.; Wang, L. Responses of soil respiration to spring drought and precipitation pulse in a temperate oak forest. Agric. For. Meteorol. 2019, 268, 289–298. [Google Scholar] [CrossRef]
- Sun, S.Q.; Lei, H.Q.; Chang, S.X. Drought differentially affects autotrophic and heterotrophic soil respiration rates and their temperature sensitivity. Biol. Fert. Soils. 2019, 55, 275–283. [Google Scholar] [CrossRef]
- Guan, C.; Zhang, P.; Zhao, C.M.; Li, X.R. Effects of warming and rainfall pulses on soil respiration in a biological soil crust-dominated desert ecosystem. Geoderma 2021, 381, 114683. [Google Scholar] [CrossRef]
- Phillips, C.L.; Nickerson, N.; Risk, D.; Bond, B.J. Interpreting diel hysteresis between soil respiration and temperature. Glob. Change Biol. 2011, 17, 515–527. [Google Scholar] [CrossRef]
- Feng, W.; Zhang, Y.Q.; Jia, X.; Wu, B.; Zha, T.S.; Qin, S.G.; Wang, B.; Shao, C.X.; Liu, J.B.; Fa, K.Y. Impact of environmental factors and biological soil crust types on soil respiration in a desert ecosystem. PLoS ONE 2014, 9, e102954. [Google Scholar] [CrossRef] [PubMed] [Green Version]
- Vargas, R.; Allen, M.F. Environmental controls and the influence of vegetation type, fine roots and rhizomorphs on diel and seasonal variation in soil respiration. New Phytol. 2008, 179, 460–471. [Google Scholar] [CrossRef] [Green Version]
- Zhong, Y.Q.W.; Yan, W.M.; Zong, Y.Z.; Shangguan, Z.P. Biotic and abiotic controls on the diel and seasonal variation in soil respiration and its components in a wheat field under long-term nitrogen fertilization. Field Crop. Res. 2016, 199, 1–9. [Google Scholar] [CrossRef]
- Ning, S.J.; Song, J.; Ru, J.Y.; Zhou, Z.X.; Zhang, J.J.; Liu, X.H.; Hui, Y.; Ma, Y.F.; Wan, S.Q. Nonadditive and Legacy Effects of Spring and Autumn Warming on Soil Respiration in an Old-Field Grassland. Ecosystems 2020, 24, 421–433. [Google Scholar] [CrossRef]
- Liu, Z.; Zhang, Y.Q.; Fa, K.Y.; Qin, S.G.; She, W.W. Rainfall pulses modify soil carbon emission in a semiarid desert. Catena 2017, 155, 147–155. [Google Scholar] [CrossRef]
- Wang, B.; Zha, T.S.; Jia, X.; Wu, B.; Zhang, Y.Q.; Qin, S.G. Soil moisture modifies the response of soil respiration to temperature in a desert shrub ecosystem. Biogeosciences 2014, 11, 259–268. [Google Scholar] [CrossRef] [Green Version]
- Zhou, T.; Shi, P.J.; Hui, D.F.; Luo, Y.Q. Global pattern of temperature sensitivity of soil heterotrophic respiration (Q10) and its implications for carbon-climate feedback. J. Geophys. Res. Biogeosci. 2009, 114, G02016. [Google Scholar] [CrossRef] [Green Version]
- Guan, C.; Li, X.R.; Chen, N.; Zhang, P.; Zhao, C.M. Warming effects on soil respiration in moss-dominated crusts in the Tengger Desert, northern China. Plant Soil 2019, 443, 591–603. [Google Scholar] [CrossRef]








| Month | Treatment | Cumulative CO2 Emission (g C m−2) | Month | Treatment | Cumulative CO2 Emission (g C m−2) |
|---|---|---|---|---|---|
| October 2019 | P−30 | 65.23 | March 2020 | P−30 | 59.12 |
| CK | 50.42 | CK | 48.45 | ||
| P+30 | 50.38 | P+30 | 49.44 | ||
| November 2019 | P−30 | 21.53 | April 2020 | P−30 | 68.54 |
| CK | 17.59 | CK | 65.87 | ||
| P+30 | 18.77 | P+30 | 66.99 | ||
| December 2019 | P−30 | 13.96 | May 2020 | P−30 | 82.47 |
| CK | 13.99 | CK | 82.07 | ||
| P+30 | 14.53 | P+30 | 87.33 | ||
| January 2020 | P−30 | 13.18 | June 2020 | P−30 | 58.33 |
| CK | 12.16 | CK | 60.44 | ||
| P+30 | 12.54 | P+30 | 63.41 | ||
| February 2020 | P−30 | 18.53 | Total | P−30 | 406.37 |
| CK | 14.12 | CK | 372.58 | ||
| P+30 | 13.72 | P+30 | 383.59 |
| No. | Model | P | n | df | a | b | c | R2 | p |
|---|---|---|---|---|---|---|---|---|---|
| 3 | Rs = Ts × VWC/(a × Ts + b × VWC + c) | P−30 | 47 | 44 | −8.43 | 8.57 | 71.91 | 0.88 | <0.01 |
| CK | 44 | 41 | −6.02 | 7.38 | 57.41 | 0.92 | <0.01 | ||
| P+30 | 47 | 44 | −8.07 | 5.56 | 112.65 | 0.88 | <0.01 | ||
| 4 | Rs = a × Ts2 + b × VWC2 + c | P−30 | 47 | 44 | 0.01 | −0.08 | 0.37 | 0.86 | <0.01 |
| CK | 44 | 41 | 0.01 | −0.06 | 0.36 | 0.93 | <0.01 | ||
| P+30 | 47 | 44 | 0.01 | 0.08 | −0.24 | 0.89 | <0.01 | ||
| 5 | Rs = a × Ts + b × VWC + c | P−30 | 47 | 44 | 0.22 | 0.02 | −0.53 | 0.79 | <0.01 |
| CK | 44 | 41 | 0.22 | −0.01 | −0.21 | 0.85 | <0.01 | ||
| P+30 | 47 | 44 | 0.28 | 0.01 | −1.28 | 0.83 | <0.01 | ||
| 6 | Rs = a × Tsb × VWCc | P−30 | 47 | 44 | 0.03 | 1.98 | −0.27 | 0.85 | <0.01 |
| CK | 44 | 41 | 0.03 | 1.8 | −0.05 | 0.92 | <0.01 | ||
| P+30 | 47 | 44 | 0.01 | 2.16 | 0.16 | 0.90 | <0.01 | ||
| 7 | Rs = a + b (Ts × VWC) | P−30 | 47 | 45 | 0.11 | 0.01 | - | 0.76 | <0.01 |
| CK | 44 | 42 | −0.26 | 0.01 | - | 0.81 | <0.01 | ||
| P+30 | 47 | 42 | −1.08 | 0.01 | - | 0.72 | <0.01 |
Publisher’s Note: MDPI stays neutral with regard to jurisdictional claims in published maps and institutional affiliations. |
© 2022 by the authors. Licensee MDPI, Basel, Switzerland. This article is an open access article distributed under the terms and conditions of the Creative Commons Attribution (CC BY) license (https://creativecommons.org/licenses/by/4.0/).
Share and Cite
Chu, H.; Ni, H.; Ma, J.; Shen, Y. Effect of Precipitation Variation on Soil Respiration in Rain-Fed Winter Wheat Systems on the Loess Plateau, China. Int. J. Environ. Res. Public Health 2022, 19, 6915. https://doi.org/10.3390/ijerph19116915
Chu H, Ni H, Ma J, Shen Y. Effect of Precipitation Variation on Soil Respiration in Rain-Fed Winter Wheat Systems on the Loess Plateau, China. International Journal of Environmental Research and Public Health. 2022; 19(11):6915. https://doi.org/10.3390/ijerph19116915
Chicago/Turabian StyleChu, Houkun, Hong Ni, Jingyong Ma, and Yuying Shen. 2022. "Effect of Precipitation Variation on Soil Respiration in Rain-Fed Winter Wheat Systems on the Loess Plateau, China" International Journal of Environmental Research and Public Health 19, no. 11: 6915. https://doi.org/10.3390/ijerph19116915
APA StyleChu, H., Ni, H., Ma, J., & Shen, Y. (2022). Effect of Precipitation Variation on Soil Respiration in Rain-Fed Winter Wheat Systems on the Loess Plateau, China. International Journal of Environmental Research and Public Health, 19(11), 6915. https://doi.org/10.3390/ijerph19116915

