Can the Adjustment and Renovation Policies of Old Industrial Cities Reduce Urban Carbon Emissions?—Empirical Analysis Based on Quasi-Natural Experiments
Abstract
:1. Introduction
2. Literature Review
- (1)
- Evaluate the low-carbon effects and spatial spillover effects with the adjustment and renovation policies of old industrial cities.
- (2)
- Effectively identify the transmission mechanism by which the adjustment and transformation of old industrial cities can help reduce carbon and pollution.
- (3)
- Test whether a curve is significantly established in the old industrial city sample based on the Kuznets inverted U-curve theory of carbon dioxide.
- (4)
- To analyze the degree of decoupling of old industrial cities.
3. Policy Introduction and Theoretical Mechanism
3.1. Policy Introduction
3.2. Conduction Path
3.2.1. Green Innovation Capability
3.2.2. High-End Industry Agglomeration
3.2.3. Ecological Governance
4. Research Design
4.1. Methods and Variables
4.2. Samples and Data
4.3. Time Trend and Comparative Analysis
5. Estimated Empirical Results
5.1. Regression Analysis
5.2. Robustness Test
5.3. Heterogeneity Analysis
5.3.1. Impact on Geographic Location
5.3.2. Impact on Administrative Hierarchy
5.3.3. Impact on Convenience
6. Expansion and Discussion
6.1. Discussion on the Mechanism Path
6.2. Decoupling Degree Analysis
6.3. Environmental Hypothesis Validation
6.4. Evidence of Contamination Transfer
7. Conclusions and Policy Recommendations
7.1. Conclusions
- (1)
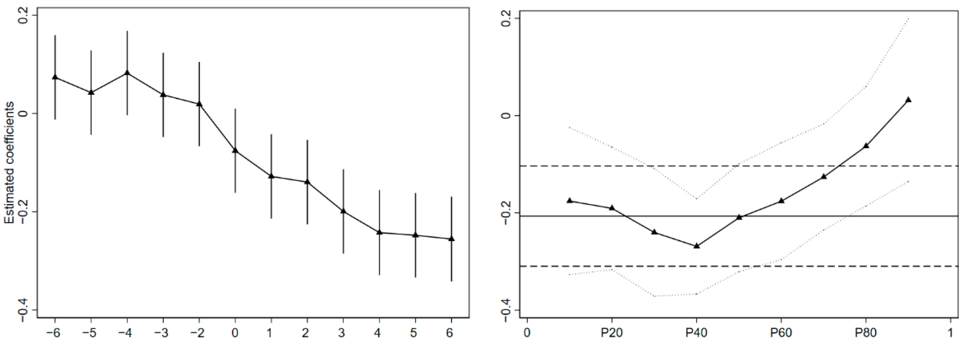
- Overall, the adjustment and renovation policies can produce a positive low-carbon and carbon-reduction effect, with an average reduction of about 0.068 units of carbon emissions. Compared with the average value, the implementation of the policy can reduce the urban carbon emissions by an average of about 310,670 tons. The policy implementation can effectively promote carbon reduction and pollution reduction in the middle quantile. There is no significant evidence that policy implementation leads to the transfer of pollution from old industrial cities to neighboring cities. The phenomenon of “blaming the neighbors” for serious pollution has not occurred, and thus the implementation of the policy can realize low-carbon regional development.
- (2)
- The adjustment and renovation policies of old industrial cities have had a distinct and negative effect on pollution reduction and carbon reduction for sample cities in the eastern and western regions, large cities, and cities connected to high-speed rail.
- (3)
- On the basis of summarizing excellent Chinese cases and conducting empirical estimates, it is found that after policy implementation, the innovation and improvement of urban green quality, the expansion of high-end industrial agglomeration scale, and the increase in ecological environment reconstruction are important mechanisms to reduce urban carbon emissions.
- (4)
- There is a significant “inverted U-shaped” CO2 EKC in old industrial cities, but the “N-shaped” curve hypothesis does not hold. There are quite a few old industrial cities that have yet to cross the turning point of the EKC.
- (5)
- During the implementation of the policy, in 2013, about 62% of the old industrial cities showed a state of relative decoupling and absolute decoupling. As the years pass, the trend of an increasing fluctuation of this ratio becomes more prominent, thus reversing the rapid growth of carbon dioxide in old industrial cities.
7.2. Policy Implications
Author Contributions
Funding
Data Availability Statement
Conflicts of Interest
References
- Hu, X.; Hassink, R. New perspectives on restructuring of old industrial areas in China: A critical review and research agenda. Chin. Geogr. Sci. 2017, 27, 110–122. [Google Scholar] [CrossRef] [Green Version]
- Cumbers, A.; Helms, G.; Swanson, K. Class, Agency and Resistance in the Old Industrial City. Antipode 2010, 42, 46–73. [Google Scholar] [CrossRef]
- Fernández-Camacho, R.; Rodríguez, S.; de la Rosa, J.D.; de la Campa, A.S.; Alastuey, A.; Querol, X.; Castanedo, Y.G.; Garcia-Orellana, I.; Nava, S. Ultrafine particle and fine trace metal (As, Cd, Cu, Pb and Zn) pollution episodes induced by industrial emissions in Huelva, SW Spain. Atmos. Environ. 2012, 61, 507–517. [Google Scholar] [CrossRef] [Green Version]
- Dawley, S.; MacKinnon, D.; Pollock, R. Creating strategic couplings in global production networks: Regional institutions and lead firm investment in the Humber region, UK. J. Econ. Geogr. 2019, 19, 853–872. [Google Scholar] [CrossRef]
- Ahlbrandt, R.S.; Deangelis, J.P. Local Options for Economic Development in a Maturing Industrial Region. Econ. Dev. Q. 1987, 1, 41–51. [Google Scholar] [CrossRef]
- Toedtling, F.; Trippl, M. Like Phoenix from the Ashes? The Renewal of Clusters in Old Industrial Areas. Urban Stud. 2004, 41, 1175–1195. [Google Scholar] [CrossRef]
- Tödtling, F.; Skokan, K.; Höglinger, C.; Rumpel, P.; Grillitsch, M. Innovation and knowledge sourcing of modern sectors in old industrial regions: Comparing software firms in Moravia-Silesia and Upper Austria. Eur. Urban Reg. Stud. 2013, 20, 188–205. [Google Scholar] [CrossRef]
- Cohen, E. Industrial Policies in France: The Old and the New. J. Ind. Compet. Trade 2007, 7, 213–227. [Google Scholar] [CrossRef] [Green Version]
- Fornahl, D.; Hassink, R.; Klaerding, C.; Mossig, I.; Schröder, H. From the old path of shipbuilding onto the new path of offshore wind energy? The case of northern Germany. Eur. Plan. Stud. 2012, 20, 835–855. [Google Scholar] [CrossRef] [Green Version]
- Han, Y. Revival of an Old Industrial City: Lowell’s Postindustrial Transformation. J. Xiamen Univ. (Arts Soc. Sci.) 2021, 52–60. Available online: https://kns.cnki.net/kcms/detail/35.1019.C.20210315.1047.008.html (accessed on 30 March 2022).
- Guan, H.; Zhang, P.; Liu, W.; Li, J. A comparison analysis of the economic transition process of China’s old industrial cities based on evolutionary resilience theory. Acta Geogr. Sin. 2018, 73, 771–783. [Google Scholar]
- Shen, H. Experience in industrial transformation of old industrial cities. Macroecon. Manag. 2020, 85–90. [Google Scholar] [CrossRef]
- Gao, C.; Li, S. The Lock-in Effect of Human Capital and the Urban Recession: The Crux of the Transformation of Old Industrial Cities. Economist 2018, 69–74. [Google Scholar] [CrossRef]
- Ren, W.-X.; Geng, Y.; Xue, B.; Fujita, T.; Ma, Z.-X.; Jiang, P. Pursuing co-benefits in China’s old industrial base: A case of Shenyang. Urban Clim. 2012, 1, 55–64. [Google Scholar] [CrossRef]
- Zhang, Y.; Bai, H.; Hou, H.; Zhang, Y.; Xu, H.; Ji, Y.; He, G.; Zhang, Y. Exploring the consumption-based carbon emissions of industrial cities in China: A case study of Tianjin. Environ. Sci. Pollut. Res. 2021, 28, 26948–26960. [Google Scholar] [CrossRef]
- Peng, F.; Jin, H. An effectiveness evaluation of regional industrial policy: Based on evidence from resource-based and old Industrial Cities in China. Ind. Econ. Res. 2021, 99–111. [Google Scholar] [CrossRef]
- An, S.; Zhang, S. Formulation Development and Prospect of Resource Cities and Old Industrial Bases of the New China. Econ. Probl. 2019, 10–17. [Google Scholar] [CrossRef]
- Lee, K.H.; Min, B. Green R&D for eco-innovation and its impact on carbon emissions and firm performance. J. Clean. Prod. 2015, 108, 534–542. [Google Scholar]
- Zhang, Y.-J.; Peng, Y.-L.; Ma, C.-Q.; Shen, B. Can environmental innovation facilitate carbon emissions reduction? Evidence from China. Energy Policy 2017, 100, 18–28. [Google Scholar] [CrossRef]
- Jofre, M.J.; Marin, L.R.; Viladecans, M.E. The mechanisms of agglomeration: Evidence from the effect of inter-industry relations on the location of new firms. J. Urban Econ. 2011, 70, 61–74. [Google Scholar] [CrossRef] [Green Version]
- Han, F.; Xie, R.; Lu, Y.; Fang, J.; Liu, Y. The effects of urban agglomeration economies on carbon emissions: Evidence from Chinese cities. J. Clean. Prod. 2018, 172, 1096–1110. [Google Scholar] [CrossRef]
- Liu, Y.; Chen, S.; Jiang, K.; Kaghembega, W.S.-H. The gaps and pathways to carbon neutrality for different type cities in China. Energy 2022, 244, 122596. [Google Scholar] [CrossRef]
- Gao, Y.; Zhu, X. Water use efficiency threshold for terrestrial ecosystem carbon sequestration in China under afforestation. Agric. For. Meteorol. 2014, 198, 32–37. [Google Scholar] [CrossRef]
- Xtabc, D.; Fpl, B.; Yhc, B. The change in energy and carbon emissions efficiency after afforestation in China by applying a modified dynamic SBM model. Energy 2020, 216, 119301. [Google Scholar]
- Athey, S.; Imbens, G.W. The State of Applied Econometrics: Causality and Policy Evaluation. J. Econ. Perspect. 2017, 31, 3–32. [Google Scholar] [CrossRef] [Green Version]
- Wu, J.; Guo, Z. Research on the Convergence of Carbon Dioxide Emissions in China: A Continuous Dynamic Distribution Approach. Stat. Res. 2016, 33, 54–60. [Google Scholar]
- Zhang, Y.; Qin, Y.; Yan, W.; Zhang, J.; Zhang, L.; Lu, F.; Wang, X. Urban types and impact factors on carbon emissions from direct energy consumption of residents in China. Geogr. Res. 2012, 31, 345–356. [Google Scholar]
- Zhao, M.; Zhang, W.; Yu, L. Residents Travel Modes and CO2 Emissions by Traffic in Shanghai City. Res. Environ. Sci. 2009, 22, 747–752. [Google Scholar]
- Chen, J.D.; Gao, M.; Cheng, S.L.; Hou, W.; Song, M.; Liu, X.; Liu, Y.; Shan, Y. County-level CO2 emissions and sequestration in China during 1997–2017. Sci. Data 2020, 7, 391. [Google Scholar] [CrossRef]
- Cainelli, G.; Ganau, R.; Iacobucci, D. Do Geographic Concentration and Vertically Related Variety Foster Firm Productivity? Micro-Evidence from Italy. Growth Chang. 2016, 47, 197–217. [Google Scholar] [CrossRef]
- Zhang, F.; Shao, J.; Zhou, L. Urban green innovation effect of environmental decentralization. China Population. Resour. Environ. 2021, 31, 83–92. [Google Scholar]
- Wang, W.; Lu, N.; Li, Y.; Wang, D.; Zhang, C. The eco-innovation mode in China and its impact on carbon emissions: From the exploration/exploitation perspective. Chin. J. Popul. Resour. Environ. 2020, 18, 103–109. [Google Scholar] [CrossRef]
- Xuan, Y.; Lu, J.; Yu, Y. The impact of High-speed Rail Opening on the Spatial Agglomeration of High-end Service industries. Financ. Trade Econ. 2019, 40, 117–131. [Google Scholar]
- Wang, H.; Liu, G.; Shi, K. What Are the Driving Forces of Urban CO2 Emissions in China? A Refined Scale Analysis between National and Urban Agglomeration Levels. Int. J. Environ. Res. Public Health 2019, 16, 3692. [Google Scholar]
- Chen, W.; Zhu, D.J. Research on Decoupling Relationship between Shanghai Industrial Economic Growth and Carbon Emissions. Adv. Mater. Res. 2014, 869–870, 986–990. [Google Scholar]
- Lind, J.T.; Mehlum, H. With or without U: The appropriate test for a U-shaped relationship. Oxf. Bull. Econ. Stat. 2010, 72, 109–118. [Google Scholar] [CrossRef] [Green Version]
- Ma, J.; Wang, J.; Szmedra, P. Does Environmental Innovation Improve Environmental Productivity?—An Empirical Study Based on the Spatial Panel Data Model of Chinese Urban Agglomerations. Int. J. Environ. Res. Public Health 2020, 17, 6022. [Google Scholar] [CrossRef]
- Feng, Y.; Wang, X.; Liang, Z.; Hu, S.; Xie, Y.; Wu, G. Effects of Emission Trading System on Green Total Factor Productivity in China: Empirical Evidence from a Quasi-natural Experiment. J. Clean. Prod. 2021, 294, 126262. [Google Scholar] [CrossRef]





| Variable | Mean | Sd | P50 | Min | Max |
|---|---|---|---|---|---|
| Lnco2 | 5.7568 | 1.1184 | 5.6489 | 2.0727 | 9.6311 |
| Pergdp | 0.4029 | 0.4110 | 0.2805 | 0.0076 | 3.7777 |
| Oinvest | 0.9370 | 0.9177 | 0.7237 | 0.1197 | 16.9140 |
| Oeduc | 0.1717 | 0.2363 | 0.0872 | 0.0024 | 3.5022 |
| Upais | 2.2596 | 0.1436 | 2.2470 | 1.8312 | 2.8322 |
| Dmarket | 1.0861 | 0.6894 | 0.9195 | 0.0542 | 7.5041 |
| Teleinst | 0.8803 | 0.7019 | 0.7503 | 0.0161 | 9.7956 |
| (1) Lnco2 | (2) Lnco2 | (3) Perco2 | (4) Perco2 | (5) Areco2 | (6) Areco2 | |
|---|---|---|---|---|---|---|
| DID | −0.068 ** (0.033) | −0.068 ** (0.033) | −0.017 ** (0.008) | −0.014 * (0.007) | −0.197 ** (0.091) | −0.190 ** (0.089) |
| Pergdp | 0.155 *** (0.044) | 0.084 *** (0.017) | 0.588 (0.547) | |||
| Oinvest | −0.007 (0.005) | −0.001 (0.001) | 0.029 (0.025) | |||
| Oeduc | −0.162 * (0.095) | −0.162 *** (0.042) | 3.322 (2.972) | |||
| Upais | −0.139 (0.206) | 0.071 (0.055) | −0.734 (0.793) | |||
| Dmarket | −0.004 (0.008) | −0.000 (0.002) | −0.028 (0.028) | |||
| Teleinst | −0.015 (0.021) | −0.047*** (0.008) | −0.302 (0.301) | |||
| _Cons | 5.593 *** (0.006) | 5.885 *** (0.459) | 0.973 *** (0.002) | 1.040 *** (0.124) | 7.084 *** (0.017) | 8.331 *** (1.616) |
| Year fixed effect | Yes | Yes | Yes | Yes | Yes | Yes |
| City fixed effect | Yes | Yes | Yes | Yes | Yes | Yes |
| City clustering | Yes | Yes | Yes | Yes | Yes | Yes |
| N | 3570 | 3570 | 3570 | 3570 | 3570 | 3570 |
| R2 | 0.974 | 0.974 | 0.955 | 0.967 | 0.991 | 0.992 |
| Replacement Variable Test | Benchmark Variable Test | PSM-DID Test | |||||
|---|---|---|---|---|---|---|---|
| Lnco2 | Lnco2 | Lnco2 | Lnco2 | Lnco2 | Lnco2 | Lnco2 | |
| DID | −0.070 ** (0.035) | −0.059 * (0.032) | −0.035 ** (0.014) | −0.067 ** (0.033) | −0.067 * (0.035) | −0.066 ** (0.033) | −0.066 * (0.034) |
| _Cons | 5.759 *** (0.464) | 5.652 *** (0.371) | 2.630 *** (0.217) | 5.885 *** (0.460) | 5.885 *** (0.478) | 5.899 *** (0.471) | 5.898 *** (0.473) |
| Individual effect | Yes | Yes | Yes | Yes | Yes | Yes | Yes |
| Year effect | Yes | Yes | Yes | Yes | Yes | Yes | Yes |
| City clustering | Yes | Yes | Yes | Yes | Yes | Yes | Yes |
| Control variable | Yes | Yes | Yes | Yes | Yes | Yes | Yes |
| N | 3315 | 3570 | 3060 | 3570 | 3570 | 3526 | 3515 |
| R2 | 0.970 | 0.969 | 0.988 | 0.969 | 0.967 | 0.968 | 0.968 |
| Instrumental variable test | Delete low-carbon city pilot samples | Group swap test | |||||
| DID | Lnco2 | Lnco2 | Lnco2 | Lnco2 | Lnco2 | ||
| Instrumental variable | 0.103 *** (0.016) | −0.254 *** (0.059) | DID | −0.063 ** (0.032) | −0.061 * (0.031) | −0.017 (0.019) | 0.007 (0.020) |
| _Cons | −0.498 *** (0.180) | 4.022 *** (0.246) | _Cons | 5.533 *** (0.007) | 5.646 *** (0.334) | 5.586 *** (0.006) | 4.708 *** (0.532) |
| Control variable | Yes | Yes | Control variable | No | Yes | No | Yes |
| Year effect | Yes | Yes | Year effect | Yes | Yes | Yes | Yes |
| Individual effect | Yes | Yes | Individual effect | Yes | Yes | Yes | Yes |
| F value | 18.29 | - | City clustering | Yes | Yes | Yes | Yes |
| N | 3570 | 3570 | N | 2184 | 2184 | 3570 | 3570 |
| R2 | 0.696 | 0.632 | R2 | 0.965 | 0.965 | 0.969 | 0.969 |
| East Cities | Central Cities | West Cities | Large Cities | Medium Cities | Small Cities | High-Speed Rail Cities | No High-Speed Rail Cities | |
|---|---|---|---|---|---|---|---|---|
| (1) Lnco2 | (2) Lnco2 | (3) Lnco2 | (4) Lnco2 | (5) Lnco2 | (6) Lnco2 | (7) Lnco2 | (8) Lnco2 | |
| DID | −0.079 ** (0.036) | −0.017 (0.043) | −0.123 * (0.073) | −0.156 *** (0.048) | −0.160 (0.110) | −0.059 ** (0.028) | −0.234 *** (0.045) | −0.147 ** (0.065) |
| _Cons | 5.816 *** (0.442) | 5.751 *** (0.523) | 5.572 *** (1.195) | 5.899 *** (1.112) | 7.136 *** (0.831) | 5.713 *** (0.293) | 5.024 *** (0.512) | 5.012 *** (0.769) |
| Individual effect | Yes | Yes | Yes | Yes | Yes | Yes | Yes | Yes |
| Year effect | Yes | Yes | Yes | Yes | Yes | Yes | Yes | Yes |
| City clustering | Yes | Yes | Yes | Yes | Yes | Yes | Yes | Yes |
| Control variable | Yes | Yes | Yes | Yes | Yes | Yes | Yes | Yes |
| N | 1274 | 1260 | 1036 | 154 | 504 | 2912 | 2758 | 812 |
| R2 | 0.976 | 0.967 | 0.943 | 0.942 | 0.965 | 0.957 | 0.937 | 0.958 |
| (1) Grinnov | (2) Lnco2 | (3) Hinsera | (4) Lnco2 | (5) Ecolores | (6) Lnco2 | |
|---|---|---|---|---|---|---|
| DID | 0.174 *** (0.050) | −0.064 * (0.033) | 0.069 *** (0.024) | −0.059 ** (0.007) | 0.196 *** (0.059) | −0.039 ** (0.017) |
| Grinnov | −0.026 ** (0.013) | |||||
| Hinsera | −0.029 *** (0.010) | |||||
| Ecolores | −0.021 *** (0.007) | |||||
| _Cons | 4.471 *** (1.076) | 5.985 *** (0.480) | 10.281 *** (0.471) | 6.187 *** (0.275) | 5.573 *** (0.475) | 5.907 *** (0.473) |
| Individual effect | Yes | Yes | Yes | Yes | Yes | Yes |
| Year effect | Yes | Yes | Yes | Yes | Yes | Yes |
| City clustering | Yes | Yes | Yes | Yes | Yes | Yes |
| Control variable | Yes | Yes | Yes | Yes | Yes | Yes |
| N | 3570 | 3570 | 3570 | 3570 | 3570 | 3570 |
| R2 | 0.917 | 0.969 | 0.904 | 0.974 | 0.901 | 0.998 |
| Environmental Hypothesis Testing | Pollution Transfer Test | ||||
|---|---|---|---|---|---|
| (1) Lnco2 | (2) Lnco2 | (3) Lnco2 | (4) Lnco2 | (5) Lnco2 | |
| DID | −0.068 ** (0.033) | −0.068 ** (0.033) | −0.068 ** (0.033) | −0.046 (0.040) | −0.044 (0.029) |
| Pgdp | 0.238 *** (0.075) | 0.306 *** (0.101) | 0.306 *** (0.101) | ||
| Pgdpsq | −0.052 ** (0.022) | −0.061 ** (0.025) | −0.061 ** (0.025) | ||
| Pgdptr | −0.014 (0.023) | ||||
| _Cons | 5.515 *** (0.024) | 5.872 *** (0.458) | 5.904 *** (0.475) | ||
| Individual effect | Yes | Yes | Yes | Yes | Yes |
| Year effect | Yes | Yes | Yes | Yes | Yes |
| City clustering | Yes | Yes | Yes | Yes | Yes |
| Control variable | No | Yes | Yes | No | Yes |
| N | 3570 | 3570 | 3570 | 2254 | 2254 |
| R2 | 0.969 | 0.969 | 0.969 | 0.975 | 0.975 |
Publisher’s Note: MDPI stays neutral with regard to jurisdictional claims in published maps and institutional affiliations. |
© 2022 by the authors. Licensee MDPI, Basel, Switzerland. This article is an open access article distributed under the terms and conditions of the Creative Commons Attribution (CC BY) license (https://creativecommons.org/licenses/by/4.0/).
Share and Cite
Zhang, R.; Zhong, C. Can the Adjustment and Renovation Policies of Old Industrial Cities Reduce Urban Carbon Emissions?—Empirical Analysis Based on Quasi-Natural Experiments. Int. J. Environ. Res. Public Health 2022, 19, 6453. https://doi.org/10.3390/ijerph19116453
Zhang R, Zhong C. Can the Adjustment and Renovation Policies of Old Industrial Cities Reduce Urban Carbon Emissions?—Empirical Analysis Based on Quasi-Natural Experiments. International Journal of Environmental Research and Public Health. 2022; 19(11):6453. https://doi.org/10.3390/ijerph19116453
Chicago/Turabian StyleZhang, Rongbo, and Changbiao Zhong. 2022. "Can the Adjustment and Renovation Policies of Old Industrial Cities Reduce Urban Carbon Emissions?—Empirical Analysis Based on Quasi-Natural Experiments" International Journal of Environmental Research and Public Health 19, no. 11: 6453. https://doi.org/10.3390/ijerph19116453
APA StyleZhang, R., & Zhong, C. (2022). Can the Adjustment and Renovation Policies of Old Industrial Cities Reduce Urban Carbon Emissions?—Empirical Analysis Based on Quasi-Natural Experiments. International Journal of Environmental Research and Public Health, 19(11), 6453. https://doi.org/10.3390/ijerph19116453
