Lack of Awareness of Own Hypercholesterolemia or Statin Medication among Adult Statin Users in the United States: Prevalence and Patient Characteristics in a Repeated Cross-Sectional Study
Abstract
:1. Introduction
2. Materials and Methods
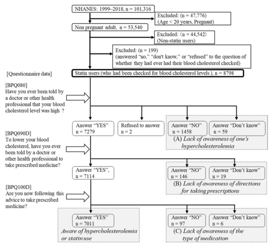
2.1. Data Sources and the Study Population
2.2. Statin Use
2.3. Lack of Patient Awareness about Their Hypercholesterolemia Status or Statin Use
2.4. Covariates
2.5. Statistical Analysis
3. Results
4. Discussion
5. Conclusions
Author Contributions
Funding
Institutional Review Board Statement
Informed Consent Statement
Data Availability Statement
Acknowledgments
Conflicts of Interest
References
- Sugiyama, T.; Tsugawa, Y.; Tseng, C.H.; Kobayashi, Y.; Shapiro, M.F. Different time trends of caloric and fat intake between statin users and nonusers among US adults: Gluttony in the time of statins? JAMA Intern. Med. 2014, 174, 1038–1045. [Google Scholar] [CrossRef] [Green Version]
 - Salami, J.A.; Warraich, H.; Valero-Elizondo, J.; Spatz, E.S.; Desai, N.R.; Rana, J.S.; Virani, S.S.; Blankstein, R.; Khera, A.; Blaha, M.J.; et al. National trends in statin use and expenditures in the US adult population from 2002 to 2013: Insights from the Medical Expenditure Panel Survey. JAMA Cardiol. 2017, 2, 56–65. [Google Scholar] [CrossRef] [PubMed] [Green Version]
 - Cholesterol Treatment Trialists’ (CTT) Collaboration; Fulcher, J.; O’Connell, R.; Voysey, M.; Emberson, J.; Blackwell, L.; Mihaylova, B.; Simes, J.; Collins, R.; Kirby, A.; et al. Efficacy and safety of LDL-lowering therapy among men and women: Meta-analysis of individual data from 174,000 participants in 27 randomised trials. Lancet 2015, 385, 1397–1405. [Google Scholar] [PubMed]
 - Azemawah, V.; Movahed, M.R.; Centuori, P.; Penaflor, R.; Riel, P.L.; Situ, S.; Shadmehr, M.; Hashemzadeh, M. State of the art comprehensive review of individual statins, their differences, pharmacology, and clinical implications. Cardiovasc. Drugs Ther. 2019, 33, 625–639. [Google Scholar] [CrossRef] [PubMed]
 - Koskinas, K.C.; Siontis, G.C.M.; Piccolo, R.; Mavridis, D.; Räber, L.; Mach, F.; Windecker, S. Effect of statins and non-statin LDL-lowering medications on cardiovascular outcomes in secondary prevention: A meta-analysis of randomized trials. Eur. Heart J. 2018, 39, 1172–1180. [Google Scholar] [CrossRef]
 - Shepherd, J. Resource management in prevention of coronary heart disease: Optimising prescription of lipid-lowering drugs. Lancet 2002, 359, 2271–2273. [Google Scholar] [CrossRef]
 - Stone, N.J.; Robinson, J.G.; Lichtenstein, A.H.; Bairey Merz, C.N.; Blum, C.B.; Eckel, R.H.; Goldberg, A.C.; Gordon, D.; Levy, D.; Lloyd-Jones, D.M.; et al. 2013 ACC/AHA guideline on the treatment of blood cholesterol to reduce atherosclerotic cardiovascular risk in adults: A report of the American College of Cardiology/American Heart Association Task Force on Practice Guidelines. J. Am. Coll. Cardiol.. 2014, 63, 2889–2934. [Google Scholar] [CrossRef] [Green Version]
 - Grundy, S.M.; Stone, N.J.; Bailey, A.L.; Beam, C.; Birtcher, K.K.; Blumenthal, R.S.; Braun, L.T.; De Ferranti, S.; Faiella-Tommasino, J.; Forman, D.E. 2018 AHA/ACC/AACVPR/AAPA/ABC/ACPM/ADA/AGS/APhA/ASPC/NLA/PCNA Guideline on the management of blood cholesterol: A report of the American College of Cardiology/American Heart Association Task Force on Clinical Practice Guidelines. Circulation 2019, 139, e1082–e1143. [Google Scholar]
 - Marques-Vidal, P.; Vollenweider, P.; Grange, M.; Guessous, I.; Waeber, G. Patients with dyslipidemia on a self-reported diet have a healthier dietary intake than the general population. The CoLaus study. Clin. Nutr. ESPEN 2016, 11, e33–e39. [Google Scholar] [CrossRef] [Green Version]
 - Rerkasem, K.; Gallagher, P.J.; Grimble, R.F.; Calder, P.C.; Shearman, C.P. Managing hypercholesterolemia and its correlation with carotid plaque morphology in patients undergoing carotid endarterectomy. Vasc. Health Risk Manag. 2008, 4, 1259–1264. [Google Scholar] [CrossRef]
 - Centers for Disease Control and Prevention. National Health and Nutrition Examination Survey. Available online: http://www.cdc.gov/nchs/nhanes/ (accessed on 1 April 2021).
 - Centers for Disease Control and Prevention. NCHS Research Ethics Review Board (ERB) Approval. Available online: https://www.cdc.gov/nchs/nhanes/irba98.htm (accessed on 3 April 2021).
 - Centers for Disease Control and Prevention. About the National Health and Nutrition Examination Survey. Available online: https://www.cdc.gov/nchs/nhanes/about_nhanes.htm (accessed on 3 April 2021).
 - Centers for Disease Control and Prevention. NHANES Response Rates and Population Totals: Continuous NHANES 1999–2000, 2001–2002, 2003–2004, 2005–2006, 2007–2008, 2009–2010, 2011–2012, 2013–2014, 2015–2016, 2017–2018. Available online: https://wwwn.cdc.gov/nchs/nhanes/ResponseRates.aspx (accessed on 3 April 2021).
 - Centers for Disease Control and Prevention. National Health and Nutrition Examination Survey. 2013–2014 Data Documentation, Codebook, and Frequencies: Blood Pressure & Cholesterol (BPQ_H). Available online: https://wwwn.cdc.gov/Nchs/Nhanes/2013-2014/BPQ_H.htm (accessed on 3 December 2018).
 - Friedewald, W.T.; Levy, R.I.; Fredrickson, D.S. Estimation of the concentration of low-density lipoprotein cholesterol in plasma, without use of the preparative ultracentrifuge. Clin. Chem. 1972, 18, 499–502. [Google Scholar] [CrossRef]
 - Awwad, O.; Akour, A.; Al-Muhaissen, S.; Morisky, D. The influence of patients’ knowledge on adherence to their chronic medications: A cross-sectional study in Jordan. Int. J. Clin. Pharm. 2015, 37, 504–510. [Google Scholar] [CrossRef]
 - Karaeren, H.; Yokuşoğlu, M.; Uzun, S.; Baysan, O.; Köz, C.; Kara, B.; Kırılmaz, A.; Naharcı, İ.; Pınar, M.; Yılmaz, M.B.; et al. The effect of the content of the knowledge on adherence to medication in hypertensive patients. Anadolu. Kardiyol. Derg. 2009, 9, 183–188. [Google Scholar]
 - Vodonos, A.; Ostapenko, I.; Toledano, R.; Henkin, Y.; Zahger, D.; Wolak, T.; Sherf, M.; Novack, V. Statin adherence and LDL cholesterol levels. Should we assess adherence prior to statin upgrade? Eur. J. Intern. Med. 2015, 26, 268–272. [Google Scholar] [CrossRef]
 - Parris, E.S.; Lawrence, D.B.; Mohn, L.A.; Long, L.B. Adherence to statin therapy and LDL cholesterol goal attainment by patients with diabetes and dyslipidemia. Diabetes Care 2005, 28, 595–599. [Google Scholar] [CrossRef] [Green Version]
 - Hope, H.F.; Binkley, G.M.; Fenton, S.; Kitas, G.D.; Verstappen, S.M.M.; Symmons, D.P.M. Systematic review of the predictors of statin adherence for the primary prevention of cardiovascular disease. PLoS ONE 2019, 14, e0201196. [Google Scholar] [CrossRef]
 - Catapano, A.L.; Graham, I.; De Backer, G.; Wiklund, O.; Chapman, M.J.; Drexel, H.; Hoes, A.W.; Jennings, C.S.; Landmesser, U.; Pedersen, T.R.; et al. 2016 ESC/EAS guidelines for the management of dyslipidaemias. Eur. Heart J. 2016, 37, 2999–3058. [Google Scholar] [CrossRef] [Green Version]
 - Ali, R.; Alexander, K. Statins for the primary prevention of cardiovascular events in older adults: A review of the evidence. Am. J. Geriatr. Pharmacother. 2007, 5, 52–63. [Google Scholar] [CrossRef]
 - Horodinschi, R.N.; Stanescu, A.M.A.; Bratu, O.G.; Pantea Stoian, A.; Radavoi, D.G.; Diaconu, C.C. Treatment with statins in elderly patients. Medicina 2019, 55, 721. [Google Scholar] [CrossRef] [Green Version]
 - Ito, M.K.; Maki, K.C.; Brinton, E.A.; Cohen, J.D.; Jacobson, T.A. Muscle symptoms in statin users, associations with cytochrome P450, and membrane transporter inhibitor use: A subanalysis of the USAGE study. J. Clin. Lipidol. 2014, 8, 69–76. [Google Scholar] [CrossRef] [Green Version]
 - Odden, M.C.; Pletcher, M.J.; Coxson, P.G.; Thekkethala, D.; Guzman, D.; Heller, D.; Goldman, L.; Bibbins-Domingo, K. Cost-effectiveness and population impact of statins for primary prevention in adults aged 75 years or older in the United States. Ann. Intern. Med. 2015, 162, 533–541. [Google Scholar] [CrossRef] [PubMed] [Green Version]
 - Third Report of the National Cholesterol Education Program (NCEP) Expert Panel on Detection, Evaluation, and Treatment of High Blood Cholesterol in Adults (Adult Treatment Panel III) final report. Circulation 2002, 106, 3143–3421. [CrossRef]
 - Lissner, L. Measuring food intake in studies of obesity. Public Health Nutr. 2002, 5, 889–892. [Google Scholar] [CrossRef] [PubMed]
 


| Characteristic | 1999–2000 | 2001–2002 | 2003–2004 | 2005–2006 | 2007–2008 | 2009–2010 | 2011–2012 | 2013–2014 | 2015–2016 | 2017–2018 | Total | 
|---|---|---|---|---|---|---|---|---|---|---|---|
| Unweighted sample no. | 367 | 529 | 646 | 696 | 1072 | 1141 | 993 | 1123 | 1061 | 1170 | 8798 | 
| Weighted proportion of statin uses among non-pregnant adults | 7.4 | 9.1 | 11.0 | 13.3 | 15.2 | 16.3 | 17.0 | 19.3 | 17.4 | 17.3 | 14.6 | 
| Age range, y a | |||||||||||
| 20–40 | 1.3 | 4.9 | 3.3 | 3.9 | 4.1 | 4.0 | 2.9 | 3.7 | 2.1 | 3.4 | 3.4 | 
| 41–60 | 44.2 | 42.5 | 40.4 | 35.5 | 35.4 | 38.3 | 39.4 | 35.0 | 29.7 | 28.5 | 35.7 | 
| 61–75 | 44.0 | 35.7 | 40.2 | 40.3 | 40.2 | 39.5 | 40.1 | 42.6 | 47.9 | 45.1 | 42.0 | 
| >75 | 10.5 | 16.9 | 16.2 | 20.3 | 20.2 | 18.2 | 17.6 | 18.8 | 20.3 | 23.0 | 19.0 | 
| Male sex | 51.9 | 54.9 | 52.5 | 51.2 | 51.8 | 54.7 | 49.2 | 52.6 | 56.4 | 53.3 | 52.9 | 
| Race/ethnicity a | |||||||||||
| Non-Hispanic White | 83.9 | 86.3 | 83.5 | 80.4 | 80.4 | 78.1 | 75.3 | 77.8 | 73.1 | 70.0 | 77.6 | 
| Non-Hispanic Black | 4.8 | 5.9 | 7.3 | 9.6 | 8.5 | 9.2 | 10.6 | 10.0 | 9.5 | 9.3 | 9.0 | 
| Mexican American | 2.0 | 2.1 | 3.0 | 2.7 | 3.9 | 4.9 | 3.0 | 4.0 | 5.1 | 5.0 | 3.9 | 
| Others b | 9.3 | 5.7 | 6.1 | 7.2 | 7.2 | 7.8 | 11.1 | 8.2 | 12.2 | 15.7 | 9.6 | 
| Language usually spoken a | |||||||||||
| English | 94.9 | 96.1 | 95.6 | 96.1 | 93.8 | 91.5 | 92.2 | 94.2 | 90.9 | 89.6 | 93.5 | 
| Spanish | 3.6 | 1.8 | 1.9 | 1.3 | 3.7 | 4.9 | 4.8 | 2.3 | 4.8 | 4.8 | 3.4 | 
| Others | 1.4 | 2.1 | 2.5 | 2.6 | 2.5 | 3.7 | 3.0 | 3.5 | 4.3 | 5.5 | 3.1 | 
| Educational attainment a | |||||||||||
| >High school | 42.0 | 53.3 | 45.4 | 50.5 | 49.5 | 55.4 | 58.4 | 62.0 | 62.0 | 57.8 | 55.4 | 
| High school or GED | 31.5 | 27.2 | 33.6 | 30.9 | 29.8 | 24.0 | 22.1 | 22.0 | 23.1 | 29.9 | 26.6 | 
| <High school | 26.5 | 19.5 | 21.0 | 18.6 | 20.7 | 20.6 | 19.5 | 16.0 | 15.0 | 12.3 | 18.1 | 
| Number of people per household a | |||||||||||
| 1 | 17.3 | 18.9 | 21.5 | 22.0 | 16.8 | 18.8 | 17.0 | 18.5 | 21.7 | 18.2 | 19.0 | 
| 2 | 55.1 | 49.0 | 51.6 | 49.6 | 52.7 | 49.7 | 48.3 | 50.1 | 49.0 | 48.9 | 50.0 | 
| ≥3 | 27.6 | 32.1 | 26.9 | 28.4 | 30.5 | 31.5 | 34.7 | 31.4 | 29.3 | 32.9 | 30.9 | 
| Family income category a | |||||||||||
| 4 of IPR or greater | 34.0 | 48.8 | 36.2 | 37.0 | 40.2 | 42.4 | 42.1 | 38.7 | 39.1 | 41.7 | 40.2 | 
| 2 to <4 of IPR | 37.4 | 24.1 | 33.2 | 34.0 | 28.8 | 30.5 | 26.3 | 29.8 | 28.3 | 29.3 | 29.7 | 
| 1 to <2 of IPR | 18.9 | 20.2 | 22.4 | 22.0 | 21.9 | 18.5 | 17.8 | 20.3 | 21.6 | 20.2 | 20.3 | 
| <1 of IPR | 9.7 | 6.9 | 8.2 | 7.0 | 9.1 | 8.6 | 13.8 | 11.2 | 11.1 | 8.9 | 9.8 | 
| Health insurance | 97.7 | 98.0 | 95.1 | 95.8 | 95.0 | 93.9 | 95.4 | 96.5 | 97.4 | 97.1 | 96.1 | 
| Routine place to go for healthcare a | |||||||||||
| Clinic or health center | 13.8 | 20.6 | 13.5 | 15.3 | 13.5 | 17.7 | 17.9 | 9.5 | 26.0 | 16.6 | 16.6 | 
| Doctor’s office or HMO | 79.7 | 75.9 | 79.8 | 79.6 | 82.6 | 78.7 | 77.2 | 87.0 | 65.7 | 76.4 | 78.2 | 
| Other places | 4.8 | 3.1 | 4.5 | 4.2 | 1.9 | 2.2 | 3.3 | 1.7 | 5.5 | 4.4 | 3.5 | 
| No place | 1.7 | 0.4 | 2.1 | 0.9 | 2.0 | 1.3 | 1.6 | 1.8 | 2.8 | 2.6 | 1.8 | 
| Number of prescription drugs a | |||||||||||
| 1–2 | 26.8 | 19.8 | 19.8 | 19.6 | 20.4 | 20.1 | 20.7 | 16.5 | 15.4 | 15.6 | 18.7 | 
| 3–4 | 30.7 | 32.0 | 28.7 | 32.3 | 29.0 | 33.0 | 29.5 | 31.0 | 30.1 | 26.9 | 30.2 | 
| ≥5 | 42.5 | 48.2 | 51.5 | 48.2 | 50.6 | 46.9 | 49.8 | 52.5 | 54.5 | 57.5 | 51.1 | 
| BMI, mean (SD), kg/m2 | 29.2 (4.6)  | 29.5 (5.4)  | 29.7 (5.3)  | 30.5 (5.5)  | 30.4 (6.4)  | 30.6 (6.2)  | 29.9 (5.5)  | 30.6 (5.8)  | 30.9 (6.0)  | 30.8 (5.8)  | 30.4 (5.8)  | 
| Total cholesterol level, mean (SD), mg/dL | 201.8(32.6) | 196.2(36.3) | 191.1(38.3) | 183.2(35.7) | 177.1(36.9) | 178.0(34.4) | 180.6(33.4) | 174.4(33.6) | 172.6 (31.0)  | 169.7 (35.4)  | 179.4(35.8) | 
| LDL-C level, mean (SD), mg/dL | 119.4(31.2) | 113.1(26.5) | 100.2(27.0) | 97.0(29.6) | 95.8(30.2) | 98.8(27.9) | 100.7(27.7) | 95.1(24.8) | 93.5 (23.6)  | 90.7 (28.5)  | 98.0(28.2) | 
| Caloric intake, mean (SD), kcal/d | 1857.8(660.7) | 1915.5(796.5) | 1945.9(748.7) | 1977.9(719.9) | 1927.9(807.8) | 2003.0(807.5) | 1954.4(671.7) | 1974.6(755.9) | 2008.6 (712.5)  | 2063.9 (792.9)  | 1976.1(754.2) | 
| Fat intake, mean (SD), g/d | 68.5 (31.5) | 72.7 (36.5) | 75.5 (37.2) | 76.8 (33.7) | 76.7 (41.8) | 77.6 (40.9) | 74.8 (34.8) | 80.2 (40.1) | 81.7 (36.2) | 85.8 (38.8) | 78.2 (37.9)  | 
| Lack of awareness of one’s hypercholesterolemia or statin use | 11.9 | 17.6 | 14.0 | 17.4 | 20.8 | 18.2 | 15.1 | 17.4 | 18.0 | 20.7 | 17.6 | 
| (Lack of awareness of one’s hypercholesterolemia) | (9.1) | (14.1) | (10.7) | (15.0) | (18.0) | (16.5) | (13.2) | (14.7) | (15.3) | (18.1) | (15.0) | 
| (Lack of awareness of directions for taking prescription) | (1.7) | (1.6) | (1.3) | (1.9) | (1.6) | (0.9) | (1.2) | (1.4) | (1.5) | (2.1) | (1.5) | 
| (Lack of awareness of medication) | (1.1) | (1.9) | (1.9) | (0.5) | (1.1) | (0.7) | (0.8) | (1.3) | (1.3) | (0.5) | (1.0) | 
| Hypertension diagnosis | 59.8 | 58.0 | 67.5 | 63.7 | 63.2 | 66.8 | 66.0 | 68.1 | 68.8 | 67.1 | 65.8 | 
| Diabetes diagnosis | 21.3 | 23.6 | 27.6 | 29.2 | 29.5 | 29.4 | 30.8 | 32.8 | 38.5 | 39.8 | 31.7 | 
| Cardiovascular disease diagnosis | 37.0 | 36.3 | 31.6 | 31.0 | 27.2 | 25.3 | 27.4 | 26.6 | 27.8 | 31.3 | 29.2 | 
| Other antihyperlipidemic agents use | 3.4 | 3.5 | 6.7 | 7.1 | 8.3 | 7.9 | 5.8 | 8.6 | 6.6 | 4.8 | 6.6 | 
| Smoking a | |||||||||||
| Never smoked | 41.2 | 42.2 | 42.9 | 42.0 | 47.3 | 49.4 | 47.1 | 49.0 | 44.8 | 51.5 | 46.6 | 
| Former smoker | 42.9 | 42.6 | 41.6 | 42.6 | 39.7 | 38.1 | 36.6 | 36.3 | 40.3 | 35.7 | 38.9 | 
| Current smoker | 15.9 | 15.2 | 15.5 | 15.4 | 13.0 | 12.6 | 16.3 | 14.8 | 15.0 | 12.9 | 14.5 | 
| Characteristic | (1) Aware of Hypercholesterolemia and Statin Use | (2) Lack of Awareness of One’s Hypercholesterolemia or Statin Use | p-Value a | (2)/(1) + (2) | 
|---|---|---|---|---|
| Unweighted sample no. | 7011 | 1785 | - | |
| Weighted proportion among statin users | 82.4 | 17.6 | - | |
| Year b | ||||
| 1999–2000 | 4.7 | 2.9 | 0.11 | 11.9 | 
| 2001–2002 | 5.9 | 5.9 | 17.6 | |
| 2003–2004 | 7.5 | 5.6 | 14.0 | |
| 2005–2006 | 8.8 | 8.7 | 17.4 | |
| 2007–2008 | 10.0 | 12.3 | 20.8 | |
| 2009–2010 | 11.2 | 11.6 | 18.1 | |
| 2011–2012 | 12.4 | 10.3 | 15.1 | |
| 2013–2018 | 14.1 | 13.8 | 17.4 | |
| 2015–2016 | 12.8 | 13.2 | 18.0 | |
| 2017–2018 | 12.6 | 15.4 | 20.7 | |
| Age range, y b | ||||
| 20–40 | 3.6 | 2.3 | <0.001 | 12.3 | 
| 41–60 | 37.7 | 26.3 | 13.0 | |
| 61–75 | 41.7 | 43.5 | 18.2 | |
| >75 | 17.1 | 27.8 | 25.9 | |
| Male | 51.1 | 61.2 | <0.001 | 17.6 | 
| Race/ethnicity b | ||||
| Non-Hispanic White | 78.3 | 74.6 | <0.001 | 16.9 | 
| Non-Hispanic Black | 8.7 | 10.1 | 19.8 | |
| Mexican American | 3.9 | 3.9 | 17.7 | |
| Others c | 9.2 | 11.5 | 21.1 | |
| Language usually spoken b | ||||
| English | 93.8 | 91.8 | 0.08 | 17.8 | 
| Spanish | 3.6 | 3.9 | 18.9 | |
| Others | 3.2 | 4.3 | 22.6 | |
| Educational attainment b | ||||
| >High school | 56.0 | 52.7 | 0.07 | 16.8 | 
| High school or GED | 26.5 | 26.8 | 17.7 | |
| <High school | 17.5 | 20.5 | 20.0 | |
| Number of people per household b | ||||
| 1 | 19.1 | 18.6 | 0.91 | 17.2 | 
| 2 | 50.0 | 50.4 | 17.7 | |
| ≥3 | 30.9 | 31.0 | 17.6 | |
| Family income category b. | ||||
| 4 of IPR or greater | 40.7 | 38.0 | 0.14 | 16.5 | 
| 2 to <4 of IPR | 30.0 | 28.6 | 16.8 | |
| 1 to <2 of IPR | 19.9 | 22.2 | 19.1 | |
| <1 of IPR | 9.5 | 11.1 | 19.7 | |
| Health insurance | 96.1 | 96.3 | 0.75 | 17.6 | 
| Routine place to go for healthcare b | ||||
| Clinic or health center | 16.8 | 15.3 | 0.006 | 16.3 | 
| Doctor’s office or HMO | 78.1 | 78.2 | 17.6 | |
| Other places | 3.1 | 5.1 | 25.8 | |
| No place | 1.9 | 1.4 | 13.2 | |
| Number of prescription drugs b | ||||
| 1–2 | 20.7 | 12.0 | <0.001 | 11.2 | 
| 3–4 | 30.0 | 30.7 | 17.9 | |
| ≥5 | 49.8 | 57.3 | 19.7 | |
| BMI, mean (SD), kg/m2 | 30.4 (5.7) | 30.3 (6.6) | 0.88 | - | 
| Total cholesterol level, mean (SD), mg/dL | 182.7 (34.9) | 164.1 (36.7) | <0.001 | - | 
| LDL-C level, mean (SD), mg/dL | 100.7 (27.6) | 85.5 (28.0) | <0.001 | - | 
| Caloric intake, mean (SD), kcal/d | 1962.6 (738.2) | 1923.3 (818.9) | 0.26 | - | 
| Fat intake, mean (SD), g/d | 77.4 (37.1) | 76.4 (42.8) | 0.58 | - | 
| Hypertension diagnosis | 66.5 | 62.3 | 0.03 | 17.5 | 
| Diabetes diagnosis | 29.7 | 41.5 | <0.001 | 23.0 | 
| Cardiovascular disease diagnosis | 26.9 | 39.5 | <0.001 | 17.6 | 
| Other antihyperlipidemic agents use | 7.1 | 4.3 | 0.006 | 11.6 | 
| Smoking b | ||||
| Never smoked | 46.7 | 46.3 | 0.98 | 17.5 | 
| Former smoker | 38.9 | 39.1 | 17.7 | |
| Current smoker | 14.5 | 14.5 | 17.7 | 
| Outcome Variable: Lack of Awareness of One’s Hypercholesterolemia or Statin Use | |||
|---|---|---|---|
| Independent Variable | OR | (95% CI) | p-Value a | 
| Year | |||
| 1999–2000 | 1 | (ref) | |
| 2001–2002 | 1.36 | (0.76–2.43) | 0.31 | 
| 2003–2004 | 1.05 | (0.56–1.98) | 0.88 | 
| 2005–2006 | 1.30 | (0.72–2.32) | 0.38 | 
| 2007–2008 | 1.54 | (0.88–2.72) | 0.13 | 
| 2009–2010 | 1.46 | (0.84–2.53) | 0.18 | 
| 2011–2012 | 1.08 | (0.60–1.93) | 0.80 | 
| 2013–2018 | 1.24 | (0.69–2.26) | 0.47 | 
| 2015–2016 | 1.18 | (0.63–2.20) | 0.60 | 
| 2017–2018 | 1.49 | (0.83–2.68) | 0.19 | 
| Age range, y b | |||
| 20–40 | 1 | (ref) | |
| 41–60 | 1.13 | (0.60–2.17) | 0.70 | 
| 61–75 | 1.64 | (0.83–3.24) | 0.15 | 
| >75 | 2.53 | (1.27–5.05) | 0.009 | 
| Male sex (vs. female sex) | 1.59 | (1.33–1.90) | <0.001 | 
| Race/ethnicity b | |||
| Non-Hispanic White | 1 | (ref) | |
| Non-Hispanic Black | 1.29 | (1.08–1.53) | 0.006 | 
| Mexican American | 1.12 | (0.80–1.56) | 0.52 | 
| Others c | 1.40 | (1.08–1.83) | 0.01 | 
| Language usually spoken b | |||
| English | 1 | (ref) | |
| Spanish | 0.98 | (0.70–1.36) | 0.88 | 
| Others | 1.10 | (0.72–1.66) | 0.67 | 
| Educational attainment b | |||
| >High school | 1 | (ref) | |
| High school or GED | 1.11 | (0.90–1.36) | 0.34 | 
| <High school | 1.05 | (0.85–1.30) | 0.65 | 
| Family income category b | |||
| 4 of IPR or greater | 1 | (ref) | |
| 2 to <4 of IPR | 0.86 | (0.70–1.07) | 0.18 | 
| 1 to <2 of IPR | 0.95 | (0.76–1.18) | 0.62 | 
| <1 of IPR | 1.09 | (0.82–1.44) | 0.58 | 
| Routine place to go for healthcare b | |||
| Clinic or health center | 1 | (ref) | |
| Doctor’s office or HMO | 1.13 | (0.92–1.39) | 0.23 | 
| Other places | 1.50 | (1.00–2.25) | 0.05 | 
| No place | 0.84 | (0.48–1.44) | 0.51 | 
| Number of prescription drugs b | |||
| 1–2 | 1 | (ref) | |
| 3–4 | 1.78 | (1.36–2.31) | <0.001 | 
| ≥ 5 | 1.80 | (1.37–2.38) | <0.001 | 
| Hypertension diagnosis (vs. no diagnosis) | 0.63 | (0.52–0.77) | <0.001 | 
| Diabetes diagnosis (vs. no diagnosis) | 1.59 | (1.33–1.89) | <0.001 | 
| Cardiovascular disease diagnosis (vs. no diagnosis)  | 1.47 | (1.20–1.79) | <0.001 | 
| Other antihyperlipidemic agents use (vs. single-statin use) | 0.51 | (0.35–0.77) | 0.01 | 
Publisher’s Note: MDPI stays neutral with regard to jurisdictional claims in published maps and institutional affiliations.  | 
© 2022 by the authors. Licensee MDPI, Basel, Switzerland. This article is an open access article distributed under the terms and conditions of the Creative Commons Attribution (CC BY) license (https://creativecommons.org/licenses/by/4.0/).
Share and Cite
Imai, K.; Sugiyama, T.; Ohsugi, M.; Kakei, M.; Hara, K. Lack of Awareness of Own Hypercholesterolemia or Statin Medication among Adult Statin Users in the United States: Prevalence and Patient Characteristics in a Repeated Cross-Sectional Study. Int. J. Environ. Res. Public Health 2022, 19, 6099. https://doi.org/10.3390/ijerph19106099
Imai K, Sugiyama T, Ohsugi M, Kakei M, Hara K. Lack of Awareness of Own Hypercholesterolemia or Statin Medication among Adult Statin Users in the United States: Prevalence and Patient Characteristics in a Repeated Cross-Sectional Study. International Journal of Environmental Research and Public Health. 2022; 19(10):6099. https://doi.org/10.3390/ijerph19106099
Chicago/Turabian StyleImai, Kenjiro, Takehiro Sugiyama, Mitsuru Ohsugi, Masafumi Kakei, and Kazuo Hara. 2022. "Lack of Awareness of Own Hypercholesterolemia or Statin Medication among Adult Statin Users in the United States: Prevalence and Patient Characteristics in a Repeated Cross-Sectional Study" International Journal of Environmental Research and Public Health 19, no. 10: 6099. https://doi.org/10.3390/ijerph19106099
APA StyleImai, K., Sugiyama, T., Ohsugi, M., Kakei, M., & Hara, K. (2022). Lack of Awareness of Own Hypercholesterolemia or Statin Medication among Adult Statin Users in the United States: Prevalence and Patient Characteristics in a Repeated Cross-Sectional Study. International Journal of Environmental Research and Public Health, 19(10), 6099. https://doi.org/10.3390/ijerph19106099
        
                                                