Improved Calculation Method of Coupling Factors for Low-Frequency Wireless Power Transfer Systems
Abstract
:1. Introduction
2. Materials and Methods
2.1. WPT System Modeling
2.2. Human Body Models
2.3. Computational Methods
2.3.1. Coupling Factor
2.3.2. Numerical Methods
2.3.3. Exposure Scenarios
3. Results
3.1. Comparison of Couping Factors and MPC Depending on the Human Body Models
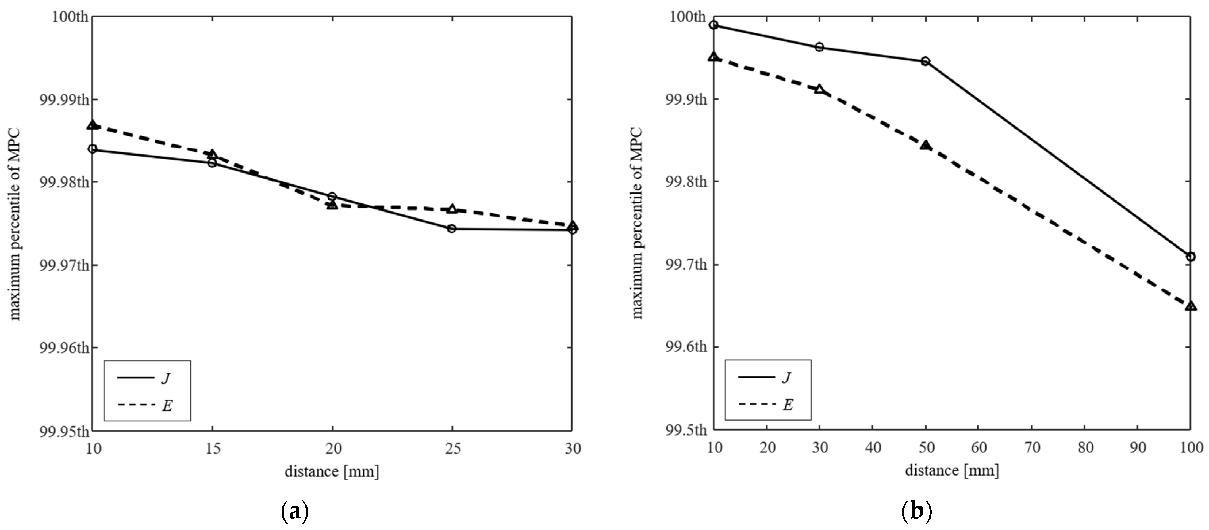
3.2. Comparison of Couping Factors and MPC Depending on Distance
4. Conclusions
Author Contributions
Funding
Institutional Review Board Statement
Informed Consent Statement
Data Availability Statement
Acknowledgments
Conflicts of Interest
References
- Song, M.; Belov, P.; Kapitanova, P. Wireless power transfer inspired by the modern trends in electromagnetics. Appl. Phys. Rev. 2017, 4, 021102. [Google Scholar] [CrossRef]
- Lopez, O.L.A.; Alves, H.; Souza, R.D.; Montejo-Sanchez, S.; Fernandez, E.M.G.; Latva-Aho, M. Massive Wireless Energy Transfer: Enabling Sustainable IoT Toward 6G Era. IEEE Internet Things J. 2021, 8, 8816–8835. [Google Scholar] [CrossRef]
- Tran, H.-V.; Kaddoum, G. RF Wireless Power Transfer: Regreening Future Networks. IEEE Potentials 2018, 37, 35–41. [Google Scholar] [CrossRef] [Green Version]
- Jawad, A.M.; Nordin, R.; Gharghan, S.K.; Jawad, H.M.; Ismail, M. Opportunities and Challenges for Near-Field Wireless Power Transfer: A Review. Energies 2017, 10, 1022. [Google Scholar] [CrossRef]
- Exposure Assessment Methods for Wireless Power Transfer Systems; IEC: Geneva, Switzerland, 2018; Available online: https://webstore.iec.ch/publication/61221 (accessed on 27 October 2021).
- Assessment Methods of the Human Exposure to Electric and Magnetic Fields from Wireless Power Transfer Systems—Models, Instrumentation, Measurement and Numerical Methods and Procedures (Frequency Range of 1 kHz to 30 MHz); IEC: Geneva, Switzerland, 2021; Available online: https://webstore.iec.ch/publication/67745 (accessed on 27 October 2021).
- Sunohara, T.; Hirata, A.; Laakso, I.; De Santis, V.; Onishi, T. Evaluation of nonuniform field exposures with coupling factors. Phys. Med. Biol. 2015, 60, 8129–8140. [Google Scholar] [CrossRef]
- Kühn, S.; Jennings, W.; Christ, A.; Kuster, N. Assessment of induced radio-frequency electromagnetic fields in various anatomical human body models. Phys. Med. Biol. 2009, 54, 875–890. [Google Scholar] [CrossRef]
- Song, H.-J.; Shin, H.; Lee, H.-B.; Yoon, J.-H.; Byun, J.-K. Induced Current Calculation in Detailed 3-D Adult and Child Model for the Wireless Power Transfer Frequency Range. IEEE Trans. Magn. 2014, 50, 1041–1044. [Google Scholar] [CrossRef]
- Ahn, J.; Hong, S.-E.; Kim, H.; Chun, Y.; Choi, H.-D.; Kim, K.; Andrés, B.; Choi, J.; Ahn, S. Compliance Testing For Human Body Model Exposure To Electromagnetic Fields From A High-Power Wireless Charging System For Drones. Radiat. Prot. Dosim. 2020, 189, 13–27. [Google Scholar] [CrossRef]
- De Santis, V.; Chen, X.L.; Laakso, I.; Hirata, A. An equivalent skin conductivity model for low-frequency magnetic field dosimetry. Biomed. Phys. Eng. Express 2015, 1, 015201. [Google Scholar] [CrossRef]
- Diao, Y.; Gomez-Tames, J.; Rashed, E.A.; Kavet, R.; Hirata, A. Spatial Averaging Schemes of In Situ Electric Field for Low-Frequency Magnetic Field Exposures. IEEE Access 2019, 7, 184320–184331. [Google Scholar] [CrossRef]
- Rashed, E.A.; Gomez-Tames, J.; Hirata, A. Human Head Skin Thickness Modeling for Electromagnetic Dosimetry. IEEE Access 2019, 7, 46176–46186. [Google Scholar] [CrossRef]
- Hirata, A.; Takano, Y.; Fujiwara, O.; Dovan, T.; Kavet, R. An electric field induced in the retina and brain at threshold magnetic flux density causing magnetophosphenes. Phys. Med. Biol. 2011, 56, 4091–4101. [Google Scholar] [CrossRef]
- Kos, B.; Valič, B.; Kotnik, T.; Gajšek, P. Occupational exposure assessment of magnetic fields generated by induction heating equipment—the role of spatial averaging. Phys. Med. Biol. 2012, 57, 5943–5953. [Google Scholar] [CrossRef] [Green Version]
- Laakso, I.; Hirata, A. Evaluation of the induced electric field and compliance procedure for a wireless power transfer system in an electrical vehicle. Phys. Med. Biol. 2013, 58, 7583–7593. [Google Scholar] [CrossRef] [PubMed] [Green Version]
- Gomez-Tames, J.; Laakso, I.; Haba, Y.; Hirata, A.; Poljak, D.; Yamazaki, K. Computational Artifacts of the In Situ Electric Field in Anatomical Models Exposed to Low-Frequency Magnetic Field. IEEE Trans. Electromagn. Compat. 2018, 60, 589–597. [Google Scholar] [CrossRef]
- The Qi Wireless Power Transfer System Power Class 0 Specification. Wireless Power Consortium. 2021. Available online: https://www.wirelesspowerconsortium.com/knowledge-base/specifications/download-the-qi-specifications.html (accessed on 27 October 2021).
- Wireless Power Transfer for Light-Duty Plug-In/Electric Vehicles and Alignment Methodology; SAE Recommended Practice J2954 (rev. 201711); SAE International: Troy, MI, USA, 2017; Available online: https://www.sae.org/standards/content/j2954_201711/ (accessed on 27 October 2021).
- Christ, A.; Kainz, W.; Hahn, E.G.; Honegger, K.; Zefferer, M.; Neufeld, E.; Rascher, W.; Janka, R.; Bautz, W.; Chen, J.; et al. The Virtual Family—Development Of Surface-Based Anatomical Models Of Two Adults And Two Children For Dosimetric Simulations. Phys. Med. Biol. 2009, 55, N23–N38. [Google Scholar] [CrossRef]
- Gosselin, M.C.; Neufeld, E.; Moser, H.; Huber, E.; Farcito, S.; Gerber, L.; Jedensjö, M.; Hilber, I.; Gennaro, F.D.; Lloyd, B.; et al. Development Of A New Generation Of High-Resolution Anatomical Models For Medical Device Evaluation: The Virtual Population 3.0. Phys. Med. Biol. 2014, 59, 5287–5303. [Google Scholar] [CrossRef]
- IT’IS Foundation. Tissue Properties Database v4.0. Available online: https://itis.swiss/virtual-population/tissue-properties/downloads/database-v4-0/ (accessed on 11 October 2021).
- International Electrotechnical Commission. Assessment of Electronic and Electrical Equipment Related to Human Exposure Restrictions for Electromagnetic Fields (0 Hz–300 GHz); IEC Webstsore: Geneva, Switzerland, 2007; Available online: https://webstore.iec.ch/publication/6804 (accessed on 27 October 2021).
- Hirata, A.; Ito, F.; Laakso, I. Confirmation of quasi-static approximation in SAR evaluation for a wireless power transfer system. Phys. Med. Biol. 2013, 58, N241–N249. [Google Scholar] [CrossRef]
- International Electrotechnical Commission. Measurement Methods for Electromagnetic Fields of Household Appliances and Similar Apparatus with Regard to Human Exposure; IEC Webstsore: Geneva, Switzerland, 2005; Available online: https://webstore.iec.ch/publication/6618 (accessed on 27 October 2021).
- International Commission on Non-Ionizing Radiation Protection Icnirp Statement On The “Guidelines For Limiting Exposure To Time-Varying Electric, Magnetic, And Electromagnetic Fields (Up To 300 GHz)”. Health Phys. 2009, 97, 257–258. [CrossRef] [PubMed]
- International Commission on Non-Ionizing Radiation Protection. Guidelines for limiting exposure to time-varying electric, magnetic, and electromagnetic fields (1 Hz to 100 kHz). Health Phys. 2010, 99, 818–836. [Google Scholar] [CrossRef]
- Christ, A.; Douglas, M.; Nadakuduti, J.; Kuster, N. Assessing Human Exposure to Electromagnetic Fields From Wireless Power Transmission Systems. Proc. IEEE 2013, 101, 1482–1493. Available online: https://ieeexplore.ieee.org/document/6479221 (accessed on 13 March 2013). [CrossRef]
- Sim4Life, Zurich Med Tech. Available online: www.zurichmedtech.com/sim4life/ (accessed on 11 October 2021).







| Percentile | ||||||||
|---|---|---|---|---|---|---|---|---|
| 90th | 95th | 99th | 99.9th | 99.99th | 99.999th | Max | ||
| Phone | 0.001 | 0.002 | 0.006 | 0.015 | 0.037 | 0.067 | 0.110 | |
| 0.0003 | 0.0003 | 0.0013 | 0.0044 | 0.0132 | 0.0249 | 0.0453 | ||
| 0.0007 | 0.0011 | 0.0029 | 0.0079 | 0.0153 | 0.0263 | 0.0444 | ||
| 0.0002 | 0.0003 | 0.0009 | 0.0022 | 0.0032 | 0.0138 | 0.0287 | ||
| Drone | 0.019 | 0.032 | 0.066 | 0.106 | 0.135 | 0.157 | 0.183 | |
| 0.008 | 0.009 | 0.009 | 0.012 | 0.022 | 0.031 | 0.041 | ||
| 0.014 | 0.018 | 0.028 | 0.049 | 0.115 | 0.231 | 0.416 | ||
| 0.003 | 0.003 | 0.005 | 0.009 | 0.062 | 0.155 | 0.235 | ||
| EV | 0.010 | 0.014 | 0.026 | 0.043 | 0.057 | 0.065 | 0.072 | |
| 0.009 | 0.012 | 0.023 | 0.033 | 0.035 | 0.035 | 0.035 | ||
| 0.003 | 0.005 | 0.010 | 0.018 | 0.036 | 0.071 | 0.137 | ||
| 0.002 | 0.003 | 0.005 | 0.006 | 0.019 | 0.056 | 0.117 | ||
| System | Phone | ||||
| Distance | 10 mm | 15 mm | 20 mm | 25 mm | 30 mm |
| 0.110 | 0.154 | 0.202 | 0.256 | 0.315 | |
| 0.044 | 0.058 | 0.075 | 0.097 | 0.118 | |
| 6.64 | 5.65 | 4.96 | 4.45 | 4.04 | |
| System | Drone | EV | |||
| Distance | 10 mm | 30 mm | 50 mm | 100 mm | 0 mm |
| 0.183 | 0.275 | 0.326 | 0.392 | 0.072 | |
| 0.416 | 0.672 | 0.845 | 1.116 | 0.137 | |
| 2.32 | 1.82 | 1.62 | 1.40 | 1.89 | |
Publisher’s Note: MDPI stays neutral with regard to jurisdictional claims in published maps and institutional affiliations. |
© 2021 by the authors. Licensee MDPI, Basel, Switzerland. This article is an open access article distributed under the terms and conditions of the Creative Commons Attribution (CC BY) license (https://creativecommons.org/licenses/by/4.0/).
Share and Cite
Ahn, J.; Hong, S.-E.; Kim, H.; Song, K.; Choi, H.-D.; Ahn, S. Improved Calculation Method of Coupling Factors for Low-Frequency Wireless Power Transfer Systems. Int. J. Environ. Res. Public Health 2022, 19, 44. https://doi.org/10.3390/ijerph19010044
Ahn J, Hong S-E, Kim H, Song K, Choi H-D, Ahn S. Improved Calculation Method of Coupling Factors for Low-Frequency Wireless Power Transfer Systems. International Journal of Environmental Research and Public Health. 2022; 19(1):44. https://doi.org/10.3390/ijerph19010044
Chicago/Turabian StyleAhn, Jangyong, Seon-Eui Hong, Haerim Kim, Kyunghwan Song, Hyung-Do Choi, and Seungyoung Ahn. 2022. "Improved Calculation Method of Coupling Factors for Low-Frequency Wireless Power Transfer Systems" International Journal of Environmental Research and Public Health 19, no. 1: 44. https://doi.org/10.3390/ijerph19010044
APA StyleAhn, J., Hong, S.-E., Kim, H., Song, K., Choi, H.-D., & Ahn, S. (2022). Improved Calculation Method of Coupling Factors for Low-Frequency Wireless Power Transfer Systems. International Journal of Environmental Research and Public Health, 19(1), 44. https://doi.org/10.3390/ijerph19010044

