Naringin Supplementation during Pregnancy Induces Sex and Region-Specific Alterations in the Offspring’s Brain Redox Status
Abstract
1. Introduction
2. Materials and Methods
2.1. Ethical Standards
2.2. Animals
2.3. Reagents
2.4. Experimental Protocol
2.5. Sample Processing
2.6. Biochemical Analyses
2.6.1. Total Oxidants Level
2.6.2. Antioxidant Enzymes Assays
2.6.3. Superoxide Dismutase Activity
2.6.4. Glutathione Peroxidase Activity
2.6.5. Catalase Activity
2.6.6. Glyoxalase 1 Activity
2.6.7. Total Reduced Glutathione Content
2.6.8. Protein Determination
2.7. Statistical Analysis
3. Results
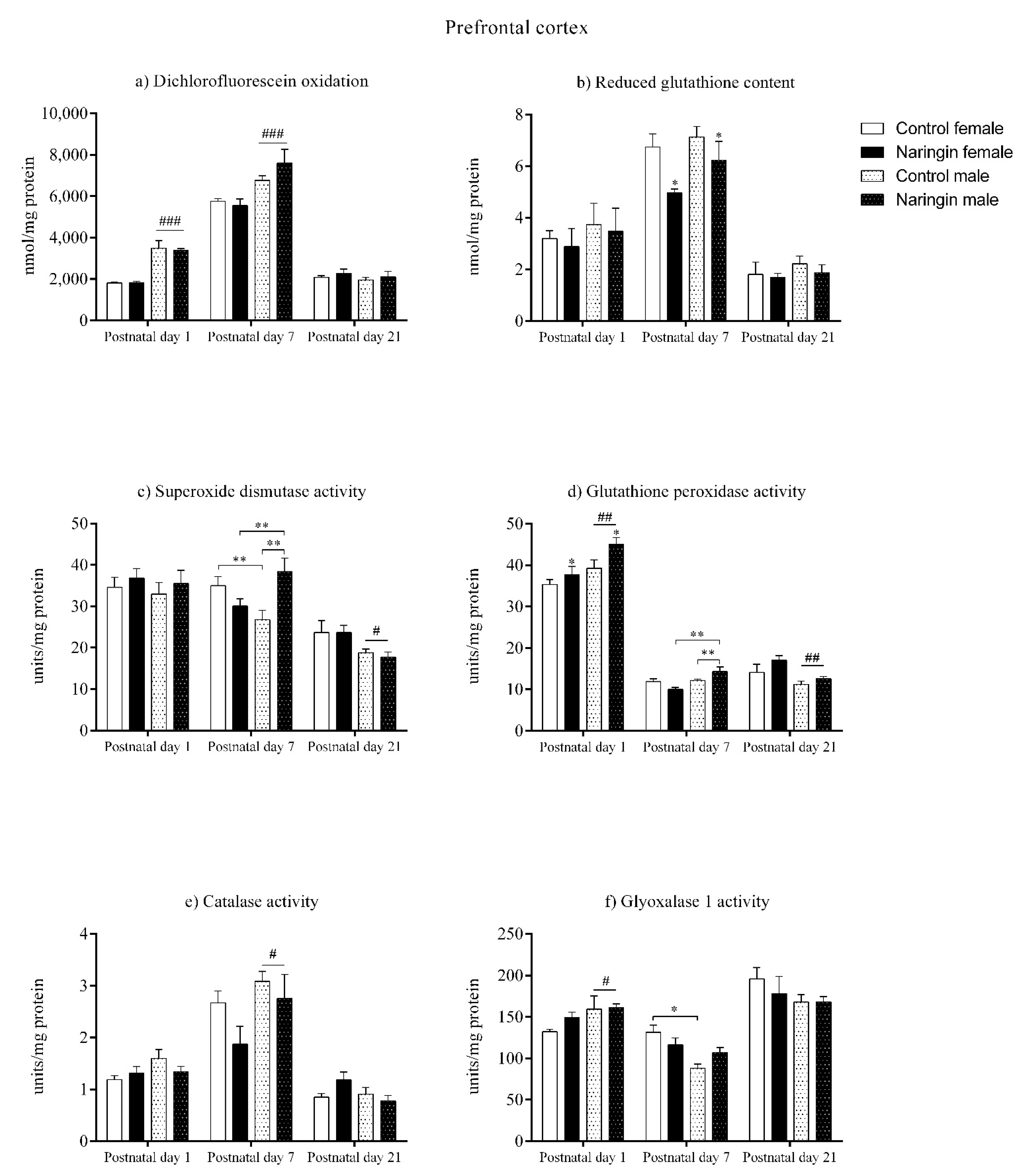
3.1. Naringin Supplementation during the Third Week of Pregnancy Positively Modulate the Males’ Prefrontal Cortex Redox Status on Postnatal Day 7
3.2. Maternal Naringin Supplementation during Pregnancy Triggers Sex-Independent Redox Alterations in the Offspring’s Hippocampus
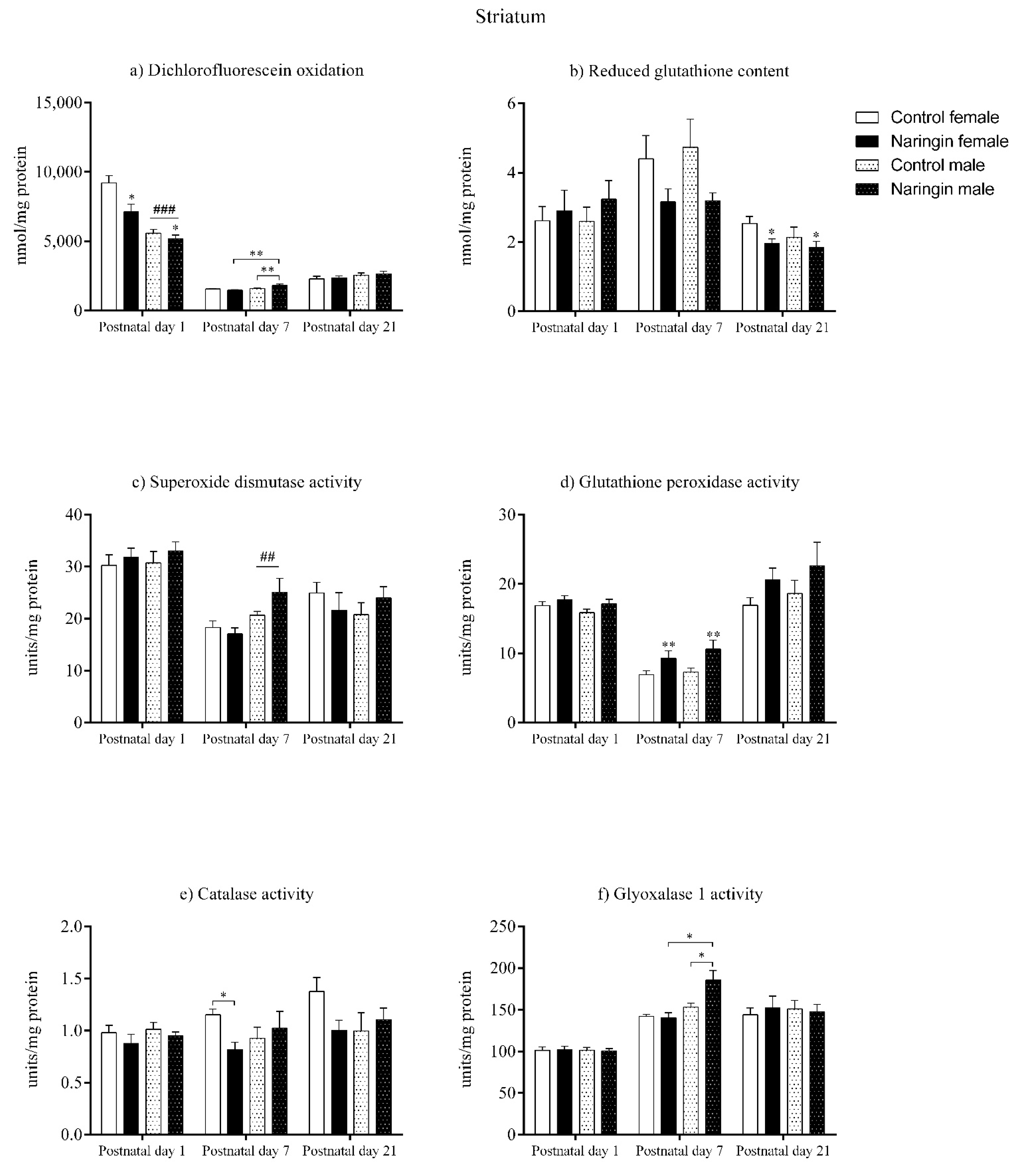
3.3. Naringin Supplementation during Pregnancy Induces a Pro-Oxidative Shift in the Male Offspring’s Striatum on Postnatal Day 7
3.4. Maternal Naringin Supplementation during the Third Week of Pregnancy Induces a Pro-Oxidative Milieu in the Female Pups’ Cerebellum on Postnatal Day 7
4. Discussion
5. Conclusions
Supplementary Materials
Author Contributions
Funding
Institutional Review Board Statement
Informed Consent Statement
Data Availability Statement
Acknowledgments
Conflicts of Interest
References
- Chen, R.; Qi, Q.L.; Wang, M.T.; Li, Q.Y. Therapeutic potential of naringin: An overview. Pharm. Biol. 2016, 54, 3203–3210. [Google Scholar] [CrossRef] [PubMed]
- Viswanatha, G.L.; Shylaja, H.; Moolemath, Y. The beneficial role of Naringin- a citrus bioflavonoid, against oxidative stress-induced neurobehavioral disorders and cognitive dysfunction in rodents: A systematic review and meta-analysis. Biomed. Pharmacother. 2017, 94, 909–929. [Google Scholar] [CrossRef]
- Wang, D.; Gao, K.; Li, X.; Shen, X.; Zhang, X.; Ma, C.; Qin, C.; Zhang, L. Long-term naringin consumption reverses a glucose uptake defect and improves cognitive deficits in a mouse model of Alzheimer’s disease. Pharmacol. Biochem. Behav. 2012, 102, 13–20. [Google Scholar] [CrossRef]
- Chtourou, Y.; Gargouri, B.; Kebieche, M.; Fetoui, H. Naringin Abrogates Cisplatin-Induced Cognitive Deficits and Cholinergic Dysfunction Through the Down-Regulation of AChE Expression and iNOS Signaling Pathways in Hippocampus of Aged Rats. J. Mol. Neurosci. 2015, 56, 349–362. [Google Scholar] [CrossRef]
- Golechha, M.; Sarangal, V.; Bhatia, J.; Chaudhry, U.; Saluja, D.; Arya, D.S. Naringin ameliorates pentylenetetrazol-induced seizures and associated oxidative stress, inflammation, and cognitive impairment in rats: Possible mechanisms of neuroprotection. Epilepsy Behav. 2014, 41, 98–102. [Google Scholar] [CrossRef] [PubMed]
- Dow, C.A.; Going, S.B.; Chow, H.H.S.; Patil, B.S.; Thomson, C.A. The effects of daily consumption of grapefruit on body weight, lipids, and blood pressure in healthy, overweight adults. Metabolism 2012, 61, 1026–1035. [Google Scholar] [CrossRef] [PubMed]
- Jung, U.J.; Kim, H.J.; Lee, J.S.; Lee, M.K.; Kim, H.O.; Park, E.J.; Kim, H.K.; Jeong, T.S.; Choi, M.S. Naringin supplementation lowers plasma lipids and enhances erythrocyte antioxidant enzyme activities in hypercholesterolemic subjects. Clin. Nutr. 2003, 22, 561–568. [Google Scholar] [CrossRef]
- Aptekmann, N.P.; Cesar, T.B. Long-term orange juice consumption is associated with low LDL-cholesterol and apolipoprotein B in normal and moderately hypercholesterolemic subjects. Lipids Health Dis. 2013, 12, 119. [Google Scholar] [CrossRef]
- Kurowska, E.M.; Spence, J.D.; Jordan, J.; Wetmore, S.; Freeman, D.J.; Piche, L.A.; Serratore, P. HDL-cholesterol-raising effect of orange juice in subjects with hypercholesterolemia. Am. J. Clin. Nutr. 2000, 72, 1095–1100. [Google Scholar] [CrossRef] [PubMed]
- Snyder, F.J.; Dundas, M.L.; Kirkpatrick, C.; Neill, K.S. Use and safety perceptions regarding herbal supplements: A study of older persons in Southeast Idaho. J. Nutr. Elder. 2009, 28, 81–95. [Google Scholar] [CrossRef]
- Kirkpatrick, C.F.; Page, R.M.; Hayward, K.S. Nonvitamin, nonmineral supplement use and beliefs about safety and efficacy among rural older adults in southeast and south central Idaho. J. Nutr. Elder. 2006, 26, 59–82. [Google Scholar] [CrossRef]
- Read, M.H.; Klomp, S.; Mather, D.; Todd, S. Use of Herbal Supplements Reported by Older Adults in Congregate Meal Sites. Top. Clin. Nutr. 2002, 17, 62–67. [Google Scholar] [CrossRef]
- Harnack, L.J.; DeRosier, K.L.; Rydell, S.A. Results of a population-based survey of adults’ attitudes and beliefs about herbal products. J. Am. Pharm. Assoc. 2003, 43, 596–601. [Google Scholar] [CrossRef] [PubMed]
- Holst, L.; Wright, D.; Haavik, S.; Nordeng, H. Remedies During Pregnancy. J. Altern. Complement. Med. 2009, 15, 787–792. [Google Scholar] [CrossRef]
- Forster, D.A.; Denning, A.; Wills, G.; Bolger, M.; McCarthy, E. Herbal medicine use during pregnancy in a group of Australian women. BMC Pregnancy Childbirth 2006, 6, 21. [Google Scholar] [CrossRef] [PubMed]
- Kennedy, D.A.; Lupattelli, A.; Koren, G.; Nordeng, H. Herbal medicine use in pregnancy: Results of a multinational study. BMC Complement. Altern. Med. 2013, 13, 355. [Google Scholar] [CrossRef] [PubMed]
- Nordeng, H.; Havnen, G.C. Use of herbal drugs in pregnancy: A survey among 400 Norwegian women. Pharmacoepidemiol. Drug Saf. 2004, 13, 371–380. [Google Scholar] [CrossRef] [PubMed]
- Skibola, C.F.; Smith, M.T. Potential health impacts of excessive flavonoid intake. Free Radic. Biol. Med. 2000, 29, 375–383. [Google Scholar] [CrossRef]
- Mennen, L.I.; Walker, R.; Bennetau-Pelissero, C.; Scalbert, A. Risks and safety of polyphenol consumption. Am. J. Clin. Nutr. 2005, 81, 326S–329S. [Google Scholar] [CrossRef]
- Suzuki, K. The developing world of DOHaD. J. Dev. Orig. Health Dis. 2018, 9, 266–269. [Google Scholar] [CrossRef] [PubMed]
- Hachul, A.C.L.; Boldarine, V.T.; Neto, N.I.P.; Moreno, M.F.; Carvalho, P.O.; Sawaya, A.C.H.F.; Ribeiro, E.B.; Oller do Nascimento, C.M.; Oyama, L.M. Effect of the consumption of green tea extract during pregnancy and lactation on metabolism of mothers and 28d-old offspring. Sci. Rep. 2018, 8, 1869. [Google Scholar] [CrossRef]
- Del Bas, J.M.; Crescenti, A.; Arola-Arnal, A.; Oms-Oliu, G.; Arola, L.; Caimari, A. Intake of grape procyanidins during gestation and lactation impairs reverse cholesterol transport and increases atherogenic risk indexes in adult offspring. J. Nutr. Biochem. 2015, 26, 1670–1677. [Google Scholar] [CrossRef] [PubMed]
- Vanhees, K.; van Schooten, F.J.; van Waalwijk van Doorn-Khosrovani, S.B.; van Helden, S.; Munnia, A.; Peluso, M.; Briedé, J.J.; Haenen, G.R.M.M.; Godschalk, R.W.L. Intrauterine exposure to flavonoids modifies antioxidant status at adulthood and decreases oxidative stress-induced DNA damage. Free Radic. Biol. Med. 2013, 57, 154–161. [Google Scholar] [CrossRef]
- Hilger, D.K.; Wohlenberg, M.F.; Schaffer, T.K.; de Machado, F.S.; Gonçalves, L.K.; Bortolato, G.; Dani, G.; Rodrigues, A.; Funchal, C.; Dani, C. Purple Grape Juice, an Important Flavonoids Source, Influence in Biochemical Parameters in Offspring of Wistar Rats. Food Nutr. Sci. 2015, 06, 683–691. [Google Scholar] [CrossRef][Green Version]
- Schaffer, T.K.; Wohlenberg, M.F.; de Souza Machado, F.; Bortolato, G.; Marinho, J.P.; da Silva Medeiros, N.; Mello, A.; Agostini, F.; Gerson, S.; Funchal, C.; et al. Chronic consumption of purple grape juice in gestational-lactation and post lactation promotes anxiolity effect and antioxidant defense improvement in brain from Wistar male offsprings. J. Nutr. Intermed. Metab. 2019, 15, 46–54. [Google Scholar] [CrossRef]
- Barenys, M.; Gassmann, K.; Baksmeier, C.; Heinz, S.; Reverte, I.; Schmuck, M.; Temme, T.; Bendt, F.; Zschauer, T.-C.; Rockel, T.D.; et al. Epigallocatechin gallate (EGCG) inhibits adhesion and migration of neural progenitor cells in vitro. Arch. Toxicol. 2017, 91, 827–837. [Google Scholar] [CrossRef] [PubMed]
- Zielinsky, P.; Piccoli, A.L.; Manica, J.L.; Nicoloso, L.H.; Menezes, H.; Busato, A.; Moraes, M.R.; Silva, J.; Bender, L.; Pizzato, P.; et al. Maternal consumption of polyphenol-rich foods in late pregnancy and fetal ductus arteriosus flow dynamics. J. Perinatol. 2010, 30, 17–21. [Google Scholar] [CrossRef] [PubMed]
- Bubols, G.B.; Zielinsky, P.; Piccoli, A.L.; Nicoloso, L.H.; Vian, I.; Moro, A.M.; Charão, M.F.; Brucker, N.; Bulcão, R.P.; Nascimento, S.N.; et al. Nitric oxide and reactive species are modulated in the polyphenol-induced ductus arteriosus constriction in pregnant sheep. Prenat. Diagn. 2014, 34, 1268–1276. [Google Scholar] [CrossRef]
- Zielinsky, P.; Busato, S. Prenatal effects of maternal consumption of polyphenol-rich foods in late pregnancy upon fetal ductus arteriosus. Birth Defects Res. Part C Embryo Today Rev. 2013, 99, 256–274. [Google Scholar] [CrossRef]
- Castillo, J.; Benavente, O.; del Rio, J.A. Naringin and Neohesperidin Levels during Development of Leaves, Flower Buds, and Fruits of Citrus aurantium. Plant Physiol. 1992, 99, 67–73. [Google Scholar] [CrossRef]
- Yusof, S.; Ghazali, H.M.; King, G.S. Naringin content in local citrus fruits. Food Chem. 1990, 37, 113–121. [Google Scholar] [CrossRef]
- Stone, V.; Crestani, M.S.; Saccomori, A.B.; Mariño dal Magro, B.; Maurmann, R.M.; August, P.M.; dos Santos, B.G.; Klein, C.P.; Hackenhaar, F.S.; da Silveira Benfato, M.; et al. Gestational caloric restriction improves redox homeostasis parameters in the brain of Wistar rats: A screening from birth to adulthood. J. Nutr. Biochem. 2019, 67, 138–148. [Google Scholar] [CrossRef] [PubMed]
- Gaur, V.; Aggarwal, A.; Kumar, A. Protective effect of naringin against ischemic reperfusion cerebral injury: Possible neurobehavioral, biochemical and cellular alterations in rat brain. Eur. J. Pharmacol. 2009, 616, 147–154. [Google Scholar] [CrossRef]
- Chtourou, Y.; Aouey, B.; Kebieche, M.; Fetoui, H. Protective role of naringin against cisplatin induced oxidative stress, inflammatory response and apoptosis in rat striatum via suppressing ROS-mediated NF-κB and P53 signaling pathways. Chem. Biol. Interact. 2015, 239, 76–86. [Google Scholar] [CrossRef] [PubMed]
- Rice, D.; Barone, S. Critical Periods of Vulnerability for the Developing Nervous System: Evidence from Humans and Animal Models. Environ. Health Perspect. 2000, 108, 511–533. [Google Scholar] [CrossRef]
- Andersen, S.L. Trajectories of brain development: Point of vulnerability or window of opportunity? Neurosci. Biobehav. Rev. 2003, 27, 3–18. [Google Scholar] [CrossRef]
- Reemst, K.; Noctor, S.C.; Lucassen, P.J.; Hol, E.M. The indispensable roles of microglia and astrocytes during brain development. Front. Hum. Neurosci. 2016, 10, 566. [Google Scholar] [CrossRef]
- Kupper, L.L. Litter Effect. In Wiley StatsRef: Statistics Reference Online; John Wiley & Sons, Ltd.: Chichester, UK, 2014; pp. 1–4. [Google Scholar]
- LeBel, C.P.; Ischiropoulos, H.; Bondy, S.C. Evaluation of the Probe 2′,7′-Dichlorofluorescin as an Indicator of Reactive Oxygen Species Formation and Oxidative Stress. Chem. Res. Toxicol. 1992, 5, 227–231. [Google Scholar] [CrossRef]
- Conceição, E.P.S.; Moura, E.G.; Carvalho, J.C.; Oliveira, E.; Lisboa, P.C. Early redox imbalance is associated with liver dysfunction at weaning in overfed rats. J. Physiol. 2015, 593, 4799–4811. [Google Scholar] [CrossRef] [PubMed]
- Misra, H.P.; Fridovich, I. The role of superoxide anion in the autoxidation of epinephrine and a simple assay for superoxide dismutase. J. Biol. Chem. 1972, 247, 3170–3175. [Google Scholar] [CrossRef]
- Wendel, A. Glutathione Peroxidase. Methods Enzymol. 1981, 77, 325–333. [Google Scholar] [CrossRef]
- Aebi, H. [13] Catalase in Vitro. Methods Enzymol. 1984, 105, 121–126. [Google Scholar] [CrossRef] [PubMed]
- Thornalley, P.J.; Tisdale, M.J. Inhibition of proliferation of human promyelocytic leukaemia HL60 cells by S-d-lactoylglutathione in vitro. Leuk. Res. 1988, 12, 897–904. [Google Scholar] [CrossRef]
- Browne, R.W.; Armstrong, D. Reduced glutathione and glutathione disulfide. Methods Mol. Biol. 1998, 108, 347–352. [Google Scholar] [CrossRef] [PubMed]
- Lowry, O.H.; Rosebrough, N.J.; Farr, A.L.; Randall, R.J. Protein measurement with the Folin phenol reagent. J. Biol. Chem. 1951, 193, 265–275. [Google Scholar] [CrossRef]
- Peterson, G.L. A simplification of the protein assay method of Lowry et al. which is more generally applicable. Anal. Biochem. 1977, 83, 346–356. [Google Scholar] [CrossRef]
- Caimari, A.; Mariné-Casadó, R.; Boqué, N.; Crescenti, A.; Arola, L.; del Bas, J.M. Maternal intake of grape seed procyanidins during lactation induces insulin resistance and an adiponectin resistance-like phenotype in rat offspring. Sci. Rep. 2017, 7, 12573. [Google Scholar] [CrossRef]
- Bałan, B.J.; Skopińska-Różewska, E.; Skopiński, P.; Zdanowski, R.; Leśniak, M.; Kiepura, A.; Lewicki, S. Morphometric abnormalities in the spleen of the progeny of mice fed epigallocatechin during gestation and nursing. Pol. J. Vet. Sci. 2017, 20, 5–12. [Google Scholar] [CrossRef] [PubMed]
- Hachul, A.C.L.; Boldarine, V.T.; Neto, N.I.P.; Moreno, M.F.; Ribeiro, E.B.; do Nascimento, O.C.M.; Oyama, L.M. Maternal consumption of green tea extract during pregnancy and lactation alters offspring’s metabolism in rats. PLoS ONE 2018, 13, e0199969. [Google Scholar] [CrossRef]
- August, P.M.; Maurmann, R.M.; Saccomori, A.B.; Scortegagna, M.C.; Flores, E.B.; Klein, C.P.; dos Santos, B.G.; Stone, V.; Dal Magro, B.M.; Cristhian, L.; et al. Effect of maternal antioxidant supplementation and/or exercise practice during pregnancy on postnatal overnutrition induced by litter size reduction: Brain redox homeostasis at weaning. Int. J. Dev. Neurosci. 2018, 71, 146–155. [Google Scholar] [CrossRef]
- Eruslanov, E. Advanced Protocols in Oxidative Stress I; Armstrong, D., Ed.; Methods in Molecular Biology; Humana Press: Totowa, NJ, USA, 2010; Volume 594, ISBN 978-1-60761-410-4. [Google Scholar]
- Kumar, A.; Prakash, A.; Dogra, S. Naringin alleviates cognitive impairment, mitochondrial dysfunction and oxidative stress induced by d-galactose in mice. Food Chem. Toxicol. 2010, 48, 626–632. [Google Scholar] [CrossRef] [PubMed]
- Sachdeva, A.K.; Chopra, K. Naringin mitigate okadaic acid-induced cognitive impairment in an experimental paradigm of Alzheimer’s disease. J. Funct. Foods 2015, 19, 110–125. [Google Scholar] [CrossRef]
- Kumar, P.; Kumar, A. Protective effect of hesperidin and naringin against 3-nitropropionic acid induced Huntington’s like symptoms in rats: Possible role of nitric oxide. Behav. Brain Res. 2010, 206, 38–46. [Google Scholar] [CrossRef]
- Sachdeva, A.K.; Kuhad, A.; Chopra, K. Naringin ameliorates memory deficits in experimental paradigm of Alzheimer’s disease by attenuating mitochondrial dysfunction. Pharmacol. Biochem. Behav. 2014, 127, 101–110. [Google Scholar] [CrossRef] [PubMed]
- Cui, Q.J.; Wang, L.Y.; Wei, Z.X.; Qu, W.S. Continual naringin treatment benefits the recovery of traumatic brain injury in rats through reducing oxidative and inflammatory alterations. Neurochem. Res. 2014, 39, 1254–1262. [Google Scholar] [CrossRef]
- Chtourou, Y.; Slima, A.B.; Gdoura, R.; Fetoui, H. Naringenin Mitigates Iron-Induced Anxiety-Like Behavioral Impairment, Mitochondrial Dysfunctions, Ectonucleotidases and Acetylcholinesterase Alteration Activities in Rat Hippocampus. Neurochem. Res. 2015, 40, 1563–1575. [Google Scholar] [CrossRef] [PubMed]
- Frandsen, J.; Narayanasamy, P. Flavonoid Enhances the Glyoxalase Pathway in Cerebellar Neurons to Retain Cellular Functions. Sci. Rep. 2017, 7, 5126. [Google Scholar] [CrossRef]
- Yen, G.C.; Duh, P.; Der Tsai, H.L.; Huang, S.L. Pro-oxidative properties of flavonoids in human lymphocytes. Biosci. Biotechnol. Biochem. 2003, 67, 1215–1222. [Google Scholar] [CrossRef]
- Matsuo, M.; Sasaki, N.; Saga, K.; Kaneko, T. Cytotoxicity of flavonoids toward cultured normal human cells. Biol. Pharm. Bull. 2005, 28, 253–259. [Google Scholar] [CrossRef] [PubMed]
- Halliwell, B. The wanderings of a free radical. Free Radic. Biol. Med. 2009, 46, 531–542. [Google Scholar] [CrossRef]
- Allaman, I.; Bélanger, M.; Magistretti, P.J. Methylglyoxal, the dark side of glycolysis. Front. Neurosci. 2015, 9, 23. [Google Scholar] [CrossRef] [PubMed]
- Haack, F.; Lemcke, H.; Ewald, R.; Rharass, T.; Uhrmacher, A.M. Spatio-temporal Model of Endogenous ROS and Raft-Dependent WNT/Beta-Catenin Signaling Driving Cell Fate Commitment in Human Neural Progenitor Cells. PLoS Comput. Biol. 2015, 11, e1004106. [Google Scholar] [CrossRef] [PubMed]
- Zheng, X.; Boyer, L.; Jin, M.; Mertens, J.; Kim, Y.; Ma, L.; Ma, L.; Hamm, M.; Gage, F.H.; Hunter, T. Metabolic reprogramming during neuronal differentiation from aerobic glycolysis to neuronal oxidative phosphorylation. Elife 2016, 5, e13374. [Google Scholar] [CrossRef] [PubMed]
- Park, S.-Y.; Kang, M.-J.; Han, J.-S. Neuronal NOS Induces Neuronal Differentiation Through a PKCα-Dependent GSK3β Inactivation Pathway in Hippocampal Neural Progenitor Cells. Mol. Neurobiol. 2017, 54, 5646–5656. [Google Scholar] [CrossRef]
- Park, K.-Y.; Na, Y.; Kim, M.S. Role of Nox4 in Neuronal Differentiation of Mouse Subventricular Zone Neural Stem Cells. J. Life Sci. 2016, 26, 8–16. [Google Scholar] [CrossRef][Green Version]
- Olguín-Albuerne, M.; Morán, J. ROS Produced by NOX2 Controls In Vitro Development of Cerebellar Granule Neurons Development. ASN Neuro 2015, 7. [Google Scholar] [CrossRef]
- Yan, Y.; Wladyka, C.; Fujii, J.; Sockanathan, S. Prdx4 is a compartment-specific H2O2 sensor that regulates neurogenesis by controlling surface expression of GDE2. Nat. Commun. 2015, 6, 7006. [Google Scholar] [CrossRef]
- Munnamalai, V.; Suter, D.M. Reactive oxygen species regulate F-actin dynamics in neuronal growth cones and neurite outgrowth. J. Neurochem. 2009, 108, 644–661. [Google Scholar] [CrossRef]
- Kim, S.-U.; Park, Y.-H.; Kim, J.-M.; Sun, H.-N.; Song, I.-S.; Huang, S.M.; Lee, S.-H.; Chae, J.-I.; Hong, S.; Sik Choi, S.; et al. Dominant Role of Peroxiredoxin/JNK Axis in Stemness Regulation During Neurogenesis from Embryonic Stem Cells. Stem Cells 2014, 32, 998–1011. [Google Scholar] [CrossRef]
- Wilson, C.; Muñoz-Palma, E.; González-Billault, C. From birth to death: A role for reactive oxygen species in neuronal development. Semin. Cell Dev. Biol. 2018, 80, 43–49. [Google Scholar] [CrossRef]
- Collins, S.J.; Tumpach, C.; Groveman, B.R.; Drew, S.C.; Haigh, C.L. Prion protein cleavage fragments regulate adult neural stem cell quiescence through redox modulation of mitochondrial fission and SOD2 expression. Cell. Mol. Life Sci. 2018, 75, 3231–3249. [Google Scholar] [CrossRef] [PubMed]
- Morinaka, A.; Yamada, M.; Itofusa, R.; Funato, Y.; Yoshimura, Y.; Nakamura, F.; Yoshimura, T.; Kaibuchi, K.; Goshima, Y.; Hoshino, M.; et al. Thioredoxin mediates oxidation-dependent phosphorylation of CRMP2 and growth cone collapse. Sci. Signal. 2011, 4, ra26. [Google Scholar] [CrossRef] [PubMed]
- Chui, A.; Zhang, Q.; Dai, Q.; Shi, S.-H. Oxidative stress regulates progenitor behavior and cortical neurogenesis. Development 2020, 147, dev184150. [Google Scholar] [CrossRef] [PubMed]
- Ji, F.; Shen, T.; Zou, W.; Jiao, J. UCP2 Regulates Embryonic Neurogenesis via ROS-Mediated Yap Alternation in the Developing Neocortex. Stem Cells 2017, 35, 1479–1492. [Google Scholar] [CrossRef]
- Khacho, M.; Clark, A.; Svoboda, D.S.; MacLaurin, J.G.; Lagace, D.C.; Park, D.S.; Slack, R.S. Mitochondrial dysfunction underlies cognitive defects as a result of neural stem cell depletion and impaired neurogenesis. Hum. Mol. Genet. 2017, 26, 3327–3341. [Google Scholar] [CrossRef]
- Coyoy, A.; Olguín-Albuerne, M.; Martínez-Briseño, P.; Morán, J. Role of reactive oxygen species and NADPH-oxidase in the development of rat cerebellum. Neurochem. Int. 2013, 62, 998–1011. [Google Scholar] [CrossRef]
- Schroeter, H.; Spencer, J.P.E.; Rice-Evans, C.; Williams, R.J. Flavonoids protect neurons from oxidized low-density-lipoprotein-induced apoptosis involving c-Jun N-terminal kinase (JNK), c-Jun and caspase-3. Biochem. J. 2001, 358, 547–557. [Google Scholar] [CrossRef]
- Kobuchi, H.; Roy, S.; Sen, C.K.; Nguyen, H.G.; Packer, L. Quercetin inhibits inducible ICAM-1 expression in human endothelial cells through the JNK pathway. Am. J. Physiol. Physiol. 1999, 277, C403–C411. [Google Scholar] [CrossRef]
- Spencer, J.P.E.; Schroeter, H.; Kuhnle, G.; Srai, S.K.S.; Tyrrell, R.M.; Hahn, U.; Rice-Evans, C. Epicatechin and its in vivo metabolite, 3′-O-methyl epicatechin, protect human fibroblasts from oxidative-stress-induced cell death involving caspase-3 activation. Biochem. J. 2001, 354, 493–500. [Google Scholar] [CrossRef]
- Arola-Arnal, A.; Oms-Oliu, G.; Crescenti, A.; del Bas, J.M.; Ras, M.R.; Arola, L.; Caimari, A. Distribution of grape seed flavanols and their metabolites in pregnant rats and their fetuses. Mol. Nutr. Food Res. 2013, 57, 1741–1752. [Google Scholar] [CrossRef]
- Abd El Mohsen, M.; Marks, J.; Kuhnle, G.; Rice-Evans, C.; Moore, K.; Gibson, G.; Debnam, E.; Srai, S.K. The differential tissue distribution of the citrus flavanone naringenin following gastric instillation. Free Radic. Res. 2004, 38, 1329–1340. [Google Scholar] [CrossRef] [PubMed]
- Jochum, F.; Alteheld, B.; Meinardus, P.; Dahlinger, N.; Nomayo, A.; Stehle, P. Mothers’ Consumption of Soy Drink But Not Black Tea Increases the Flavonoid Content of Term Breast Milk: A Pilot Randomized, Controlled Intervention Study. Ann. Nutr. Metab. 2017, 70, 147–153. [Google Scholar] [CrossRef] [PubMed]
- Izquierdo, V.; Palomera-Ávalos, V.; López-Ruiz, S.; Canudas, A.-M.; Pallàs, M.; Griñán-Ferré, C. Maternal Resveratrol Supplementation Prevents Cognitive Decline in Senescent Mice Offspring. Int. J. Mol. Sci. 2019, 20, 1134. [Google Scholar] [CrossRef]
- Bayer, S.A.; Altman, J.; Russo, R.J.; Zhang, X. Timetables of neurogenesis in the human brain based on experimentally determined patterns in the rat. Neurotoxicology 1993, 14, 83–144. [Google Scholar] [PubMed]
- Zielinsky, P.; Martignoni, F.V.; Vian, I. Deleterious effects of maternal ingestion of cocoa upon fetal ductus arteriosus in late pregnancy. Front. Pharmacol. 2014, 5, 281. [Google Scholar] [CrossRef]
- Torres-Cuevas, I.; Parra-Llorca, A.; Sánchez-Illana, A.; Nuñez-Ramiro, A.; Kuligowski, J.; Cháfer-Pericás, C.; Cernada, M.; Escobar, J.; Vento, M. Oxygen and oxidative stress in the perinatal period. Redox Biol. 2017, 12, 674–681. [Google Scholar] [CrossRef]
- Perrone, S.; Tataranno, L.M.; Stazzoni, G.; Ramenghi, L.; Buonocore, G. Brain susceptibility to oxidative stress in the perinatal period. J. Matern. Neonatal Med. 2015, 28, 2291–2295. [Google Scholar] [CrossRef] [PubMed]
- Inder, T.; Mocatta, T.; Darlow, B.; Spencer, C.; Volpe, J.J.; Winterbourn, C. Elevated Free Radical Products in the Cerebrospinal Fluid of VLBW Infants with Cerebral White Matter Injury. Pediatr. Res. 2002, 52, 213–218. [Google Scholar] [CrossRef]
- Khacho, M.; Clark, A.; Svoboda, D.S.; Azzi, J.; MacLaurin, J.G.; Meghaizel, C.; Sesaki, H.; Lagace, D.C.; Germain, M.; Harper, M.-E.; et al. Mitochondrial Dynamics Impacts Stem Cell Identity and Fate Decisions by Regulating a Nuclear Transcriptional Program. Cell Stem Cell 2016, 19, 232–247. [Google Scholar] [CrossRef]





| Prefrontal Cortex | Hippocampus | Striatum | Cerebellum | |||||
|---|---|---|---|---|---|---|---|---|
| Female | Male | Female | Male | Female | Male | Female | Male | |
| Postnatal day 1 | ↑ GPx activity | ↑ GPx activity | ↓ GSH content ↑ GPx activity | ↓ GSH content ↑ GPx activity | ↓ Total oxidants content | ↓ Total oxidants content | ||
| Postnatal day 7 | ↓ GSH content | ↓ GSH content ↑ SOD activity ↑ GPx activity | ↓ GSH content ↑ GPx activity ↑ GLO1 activity ↓ SOD/GPx ratio | ↓ GSH content ↑ GPx activity ↑ GLO1 activity ↓ SOD/GPx ratio | ↑ GPx activity ↓ CAT activity ↓ SOD/GPx ratio | ↑ Total oxidants content ↑ GPx activity ↑ GLO1 activity ↓ SOD/GPx ratio | ↑ Total oxidants content ↑ SOD activity ↑ GPx activity ↑ GLO1 activity | ↑ SOD activity ↑ GPx activity ↑ GLO1 activity |
| Postnatal day 21 | ↓ SOD/GPx ratio | ↓ SOD/GPx ratio | ↓ GLO1 activity | ↓ GLO1 activity | ↓ GSH content | ↓ GSH content | ↓ SOD activity ↓ GLO1 activity | |
Publisher’s Note: MDPI stays neutral with regard to jurisdictional claims in published maps and institutional affiliations. |
© 2021 by the authors. Licensee MDPI, Basel, Switzerland. This article is an open access article distributed under the terms and conditions of the Creative Commons Attribution (CC BY) license (https://creativecommons.org/licenses/by/4.0/).
Share and Cite
Gindri dos Santos, B.; Peres Klein, C.; Scortegagna Crestani, M.; Moura Maurmann, R.; Mateus Hözer, R.; dos Santos Rodrigues, K.; Maciel August, P.; Matté, C. Naringin Supplementation during Pregnancy Induces Sex and Region-Specific Alterations in the Offspring’s Brain Redox Status. Int. J. Environ. Res. Public Health 2021, 18, 4805. https://doi.org/10.3390/ijerph18094805
Gindri dos Santos B, Peres Klein C, Scortegagna Crestani M, Moura Maurmann R, Mateus Hözer R, dos Santos Rodrigues K, Maciel August P, Matté C. Naringin Supplementation during Pregnancy Induces Sex and Region-Specific Alterations in the Offspring’s Brain Redox Status. International Journal of Environmental Research and Public Health. 2021; 18(9):4805. https://doi.org/10.3390/ijerph18094805
Chicago/Turabian StyleGindri dos Santos, Bernardo, Caroline Peres Klein, Mariana Scortegagna Crestani, Rafael Moura Maurmann, Régis Mateus Hözer, Karoline dos Santos Rodrigues, Pauline Maciel August, and Cristiane Matté. 2021. "Naringin Supplementation during Pregnancy Induces Sex and Region-Specific Alterations in the Offspring’s Brain Redox Status" International Journal of Environmental Research and Public Health 18, no. 9: 4805. https://doi.org/10.3390/ijerph18094805
APA StyleGindri dos Santos, B., Peres Klein, C., Scortegagna Crestani, M., Moura Maurmann, R., Mateus Hözer, R., dos Santos Rodrigues, K., Maciel August, P., & Matté, C. (2021). Naringin Supplementation during Pregnancy Induces Sex and Region-Specific Alterations in the Offspring’s Brain Redox Status. International Journal of Environmental Research and Public Health, 18(9), 4805. https://doi.org/10.3390/ijerph18094805

