Development and Validation of a Sensitive, Specific and Reproducible UPLC-MS/MS Method for the Quantification of OJT007, A Novel Anti-Leishmanial Agent: Application to a Pharmacokinetic Study
Abstract
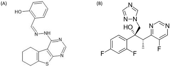
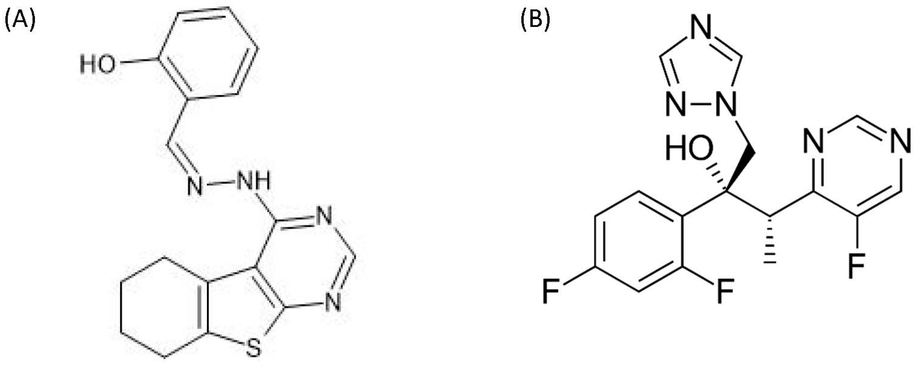
1. Introduction
2. Materials and Methods
2.1. Materials
2.2. Preparation of the Stock Solutions
2.3. Sample Preparation and Extraction
2.4. Instrument Conditions
2.5. Validation
2.5.1. Calibration Curve
2.5.2. Stability in Plasma
2.5.3. Extraction Recovery and Matrix Effect
2.5.4. Accuracy and Precision
2.5.5. Dilution Integrity
2.6. Pharmacokinetic Study
2.7. Statistical Analysis
3. Results and Discussion
3.1. UPLC-MS/MS Method Development
3.1.1. Mass Conditions
3.1.2. Chromatographic Conditions
3.2. Method Validation
3.2.1. Linearity and Sensitivity
3.2.2. Stability
3.2.3. Extraction Recovery and Matrix Effect
3.2.4. Accuracy and Precision
3.2.5. Dilution Integrity
3.3. Pharmacokinetic Studies
4. Conclusions
Author Contributions
Funding
Institutional Review Board Statement
Informed Consent Statement
Data Availability Statement
Conflicts of Interest
References
- Pearson, R.D.; Sousa, A.D.Q. Clinical Spectrum of Leishmaniasis. Clin. Infect. Dis. 1996, 22, 1–13. [Google Scholar] [CrossRef] [PubMed]
- Alvar, J.; Vélez, I.D.; Bern, C.; Herrero, M.; Desjeux, P.; Cano, J.; Jannin, J.; den Boer, M.; the WHO Leishmaniasis Control Team. Leishmaniasis Worldwide and Global Estimates of Its Incidence. PLoS ONE 2012, 7, e35671. [Google Scholar] [CrossRef] [PubMed]
- Barry, M.A.; Koshelev, M.V.; Sun, G.S.; Grekin, S.J.; Stager, C.E.; Diwan, A.H.; Wasko, C.A.; Murray, K.O.; Woc-Colburn, L. Cutaneous Leishmaniasis in Cuban Immigrants to Texas who Traveled through the Darién Jungle, Panama. Am. J. Trop. Med. Hyg. 2014, 91, 345–347. [Google Scholar] [CrossRef] [PubMed]
- Burza, S.; Croft, S.L.; Boelaert, M. Leishmaniasis. Lancet 2018, 392, 951–970. [Google Scholar] [CrossRef]
- Duthie, M.S.; Reed, S.G. Not All Antigens Are Created Equally: Progress, Challenges, and Lessons Associated with Developing a Vaccine for Leishmaniasis. Clin. Vaccine Immunol. 2017, 24, e00108-17. [Google Scholar] [CrossRef] [PubMed]
- Sundar, S.; Chakravarty, J. Antimony Toxicity. Int. J. Environ. Res. Public Health 2010, 7, 4267–4277. [Google Scholar] [CrossRef] [PubMed]
- Wijnant, G.-J.; Van Bocxlaer, K.; Yardley, V.; Harris, A.; Alavijeh, M.; Silva-Pedrosa, R.; Antunes, S.; Mauricio, I.; Murdan, S.; Croft, S.L. Comparative efficacy, toxicity and biodistribution of the liposomal amphotericin B formulations Fungisome® and AmBisome® in murine cutaneous leishmaniasis. Int. J. Parasitol. Drugs Drug Resist. 2018, 8, 223–228. [Google Scholar] [CrossRef] [PubMed]
- Croft, S.L.; Coombs, G.H. Leishmaniasis—Current chemotherapy and recent advances in the search for novel drugs. Trends Parasitol. 2003, 19, 502–508. [Google Scholar] [CrossRef] [PubMed]
- Dorlo, T.P.C.; Balasegaram, M.; Beijnen, J.H.; de Vries, P.J. Miltefosine: A review of its pharmacology and therapeutic efficacy in the treatment of leishmaniasis. J. Antimicrob. Chemother. 2012, 67, 2576–2597. [Google Scholar] [CrossRef] [PubMed]
- CDC. Leishmaniasis—Resources for Health Professionals. Available online: https://www.cdc.gov/parasites/leishmaniasis/health_professionals/index.html (accessed on 6 February 2021).
- Olaleye, O.A.; Bishai, W.R.; Liu, J.O. Targeting the role of N-terminal methionine processing enzymes in Mycobacterium tuberculosis. Tuberculosis 2009, 89, S55–S59. [Google Scholar] [CrossRef]
- Li, X.; Chang, Y.H. Amino-terminal protein processing in Saccharomyces cerevisiae is an essential function that requires two distinct methionine aminopeptidases. Proc. Natl. Acad. Sci. USA 1995, 92, 12357–12361. [Google Scholar] [CrossRef] [PubMed]
- Olaleye, O.; Raghunand, T.R.; Bhat, S.; He, J.; Tyagi, S.; Lamichhane, G.; Gu, P.; Zhou, J.; Zhang, Y.; Grosset, J.; et al. Methionine Aminopeptidases from Mycobacterium tuberculosis as Novel Antimycobacterial Targets. Chem. Biol. 2010, 17, 86–97. [Google Scholar] [CrossRef] [PubMed]
- Gardiner, D.L.; Skinner-Adams, T.S.; Brown, C.L.; Andrews, K.T.; Stack, C.M.; McCarthy, J.S.; Dalton, J.P.; Trenholme, K.R. Plasmodium falciparum: New molecular targets with potential for antimalarial drug development. Expert Rev. Anti-Infect. Ther. 2009, 7, 1087–1098. [Google Scholar] [CrossRef] [PubMed]
- Yuan, H.; Chai, S.C.; Lam, C.K.; Howard Xu, H.; Ye, Q.-Z. Two methionine aminopeptidases from Acinetobacter baumannii are functional enzymes. Bioorg. Med. Chem. Lett. 2011, 21, 3395–3398. [Google Scholar] [CrossRef] [PubMed]
- Kang, J.-M.; Ju, H.-L.; Sohn, W.-M.; Na, B.-K. Characterization of the biochemical properties of two methionine aminopeptidases of Cryptosporidium parvum. Parasitol. Int. 2012, 61, 707–710. [Google Scholar] [CrossRef] [PubMed]
- Bhat, S.Y.; Bhandari, S.; Thacker, P.S.; Arifuddin, M.; Qureshi, I.A. Development of quinoline-based hybrid as inhibitor of methionine aminopeptidase 1 from Leishmania donovani. Chem. Biol. Drug Des. 2021, 97, 315–324. [Google Scholar] [CrossRef] [PubMed]
- Rodriguez, F.; John, S.F.; Iniguez, E.; Montalvo, S.; Michael, K.; White, L.; Liang, D.; Olaleye, O.A.; Maldonado, R.A. In Vitro and In Vivo Characterization of Potent Antileishmanial Methionine Aminopeptidase-1 Inhibitors. Antimicrob. Agents Chemother. 2020. [Google Scholar] [CrossRef] [PubMed]
- Bioanalytical Method Validation Guidance for Industry; The Food and Drug Administration: Rockville, MD, USA, 2018; 44p.
- National Research Council (US). Committee for the Update of the Guide for the Care and Use of Laboratory Animals. In Guide for the Care and Use of Laboratory Animals, 8th ed.; National Academies Press (US): Washington, DC, USA, 2011; ISBN 978-0-309-15400-0. [Google Scholar]
- Li, M.; Zhu, L.; Chen, L.; Li, N.; Qi, F. Assessment of drug–drug interactions between voriconazole and glucocorticoids. J. Chemother. 2018, 30, 296–303. [Google Scholar] [CrossRef] [PubMed]
- Li, W.; Zhang, J.; Tse, F.L.S. Strategies in quantitative LC-MS/MS analysis of unstable small molecules in biological matrices. Biomed. Chromatogr. 2011, 25, 258–277. [Google Scholar] [CrossRef] [PubMed]
- Ohnmacht, C.M. LC-MS Bioanalysis of Photosensitive and Oxidatively Labile Compounds. In Handbook of LC-MS Bioanalysis; John Wiley & Sons, Ltd.: Hoboken, NJ, USA, 2013; pp. 491–504. ISBN 978-1-118-67127-6. [Google Scholar]
- Davies, B.; Morris, T. Physiological Parameters in Laboratory Animals and Humans. Pharm. Res. 1993, 10, 1093–1095. [Google Scholar] [CrossRef] [PubMed]




| Stability Test | Ascorbic Acid | Mean Recovery% |
|---|---|---|
| Short-Term Stability (4 h, RT) | No | 76.7 ± 11.2 |
| Yes | 97.0 ± 5.9 | |
| Long-Term Stability (14 days, −80 °C) | No | 93.7 ± 8.8 |
| Yes | 94.8 ± 3.2 | |
| Auto-Sampler Stability (24 h) | No | 98.0 ± 11.7 |
| Yes | 96.1 ± 7.9 | |
| Freeze-Thaw (−80 °C to RT) | No | 70.7 ± 4.4 |
| Yes | 96.5 ± 1.6 |
| Stability Test | Nominal Concentration (ng/mL) | Mean Recovery% ± SD |
|---|---|---|
| Short-Term Stability (4 h, RT) | 15 | 102.4 ± 4.4 |
| 75 | 97.1 ± 3.3 | |
| 750 | 91.4 ± 3.9 | |
| Long-Term Stability (14 days, −80 °C) | 15 | 96.0 ± 4.3 |
| 75 | 93.8 ± 1.4 | |
| 750 | 94.7 ± 3.9 | |
| Auto-Sampler Stability (24 h) | 15 | 89.6 ± 7.7 |
| 75 | 97.2 ± 8.7 | |
| 750 | 101.6 ± 1.9 | |
| Freeze Thaw Stability (−80 °C to RT) | 15 | 95.1 ± 0.8 |
| 75 | 98.3 ± 0.4 | |
| 750 | 96.1 ± 1.2 |
| Nominal Concentration (ng/mL) | Extraction Recovery (Mean ± SD, %) | Matrix Effect (Mean ± SD, %) |
|---|---|---|
| 15 | 95.8 ± 1.5 | 3.79 ± 0.53 |
| 75 | 98.3 ± 1.7 | 8.73 ± 1.71 |
| 750 | 91.2 ± 2.4 | 3.40 ± 1.36 |
| QC | Nominal Concentration (ng/mL) | Intra-Day (n = 6) | Inter-Day (n = 6) | ||
|---|---|---|---|---|---|
| Accuracy (RE, %) | Precision (CV, %) | Accuracy (RE, %) | Precision (CV, %) | ||
| LLOQ | 5 | 5.60 | 8.28 | 9.69 | 11.5 |
| Low | 15 | 10.1 | 3.49 | 5.78 | 7.29 |
| Medium | 75 | 2.88 | 1.96 | 5.52 | 4.58 |
| High | 750 | 3.40 | 3.03 | 5.45 | 3.99 |
| Nominal Concentration (ng/mL) | Dilution Factor | Accuracy (RE%) (n = 6) | Precision (CV%) (n = 6) |
|---|---|---|---|
| 5000 | 5 | 7.35 | 5.67 |
| 10 | 6.87 | 3.66 | |
| 20 | 3.77 | 8.91 | |
| 50 | 7.03 | 4.95 |
| Parameters | Mean ± SD |
|---|---|
| AUC0–10 (mg.h/L) * | 3.12 ± 1.32 |
| AUC0–∞ (mg.h/L) * | 3.18 ± 1.36 |
| T1/2 (h) * | 1.86 ± 0.22 |
| CL (L/h/kg) * | 2.31 ± 0.90 |
| Vss (L/kg) * | 4.93 ± 2.00 |
| MRT (h) * | 1.98 ± 0.03 |
Publisher’s Note: MDPI stays neutral with regard to jurisdictional claims in published maps and institutional affiliations. |
© 2021 by the authors. Licensee MDPI, Basel, Switzerland. This article is an open access article distributed under the terms and conditions of the Creative Commons Attribution (CC BY) license (https://creativecommons.org/licenses/by/4.0/).
Share and Cite
Rincon Nigro, M.; Ma, J.; Awosemo, O.T.; Xie, H.; Olaleye, O.A.; Liang, D. Development and Validation of a Sensitive, Specific and Reproducible UPLC-MS/MS Method for the Quantification of OJT007, A Novel Anti-Leishmanial Agent: Application to a Pharmacokinetic Study. Int. J. Environ. Res. Public Health 2021, 18, 4624. https://doi.org/10.3390/ijerph18094624
Rincon Nigro M, Ma J, Awosemo OT, Xie H, Olaleye OA, Liang D. Development and Validation of a Sensitive, Specific and Reproducible UPLC-MS/MS Method for the Quantification of OJT007, A Novel Anti-Leishmanial Agent: Application to a Pharmacokinetic Study. International Journal of Environmental Research and Public Health. 2021; 18(9):4624. https://doi.org/10.3390/ijerph18094624
Chicago/Turabian StyleRincon Nigro, Maria, Jing Ma, Ololade Tosin Awosemo, Huan Xie, Omonike Arike Olaleye, and Dong Liang. 2021. "Development and Validation of a Sensitive, Specific and Reproducible UPLC-MS/MS Method for the Quantification of OJT007, A Novel Anti-Leishmanial Agent: Application to a Pharmacokinetic Study" International Journal of Environmental Research and Public Health 18, no. 9: 4624. https://doi.org/10.3390/ijerph18094624
APA StyleRincon Nigro, M., Ma, J., Awosemo, O. T., Xie, H., Olaleye, O. A., & Liang, D. (2021). Development and Validation of a Sensitive, Specific and Reproducible UPLC-MS/MS Method for the Quantification of OJT007, A Novel Anti-Leishmanial Agent: Application to a Pharmacokinetic Study. International Journal of Environmental Research and Public Health, 18(9), 4624. https://doi.org/10.3390/ijerph18094624

