Acute Effects of Kinesiology Taping Stretch Tensions on Soleus and Gastrocnemius H-Reflex Modulations
Abstract
1. Introduction
2. Materials and Methods
2.1. Participants
2.2. Experimental Procedure
2.3. Kinesiology Taping
2.4. Surface Electromyography
2.5. H-Reflex Measurement
2.6. Data Analyses
2.7. Statistical Analyses
3. Results
3.1. Physical Characteristics of the Participants
3.2. Reliability Measurement
3.3. M-Wave and H-Reflex Responses
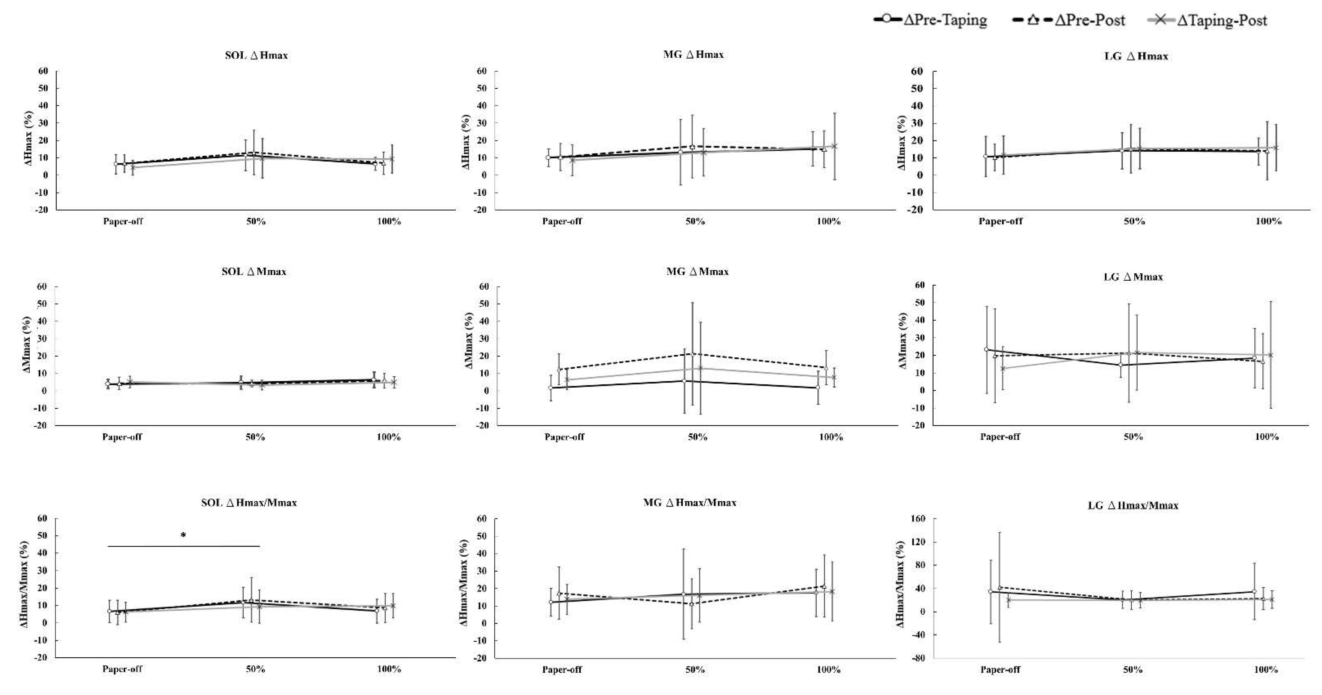
3.4. ΔM-Wave and ΔH-Reflex Responses
4. Discussion
5. Conclusions
Author Contributions
Funding
Institutional Review Board Statement
Informed Consent Statement
Data Availability Statement
Conflicts of Interest
References
- Rana, M.; Hamarneh, G.; Wakeling, J.M. 3D curvature of muscle fascicles in triceps surae. J. Appl. Physiol. 2014, 117, 1388–1397. [Google Scholar] [CrossRef][Green Version]
- Tucker, K.J.; Türker, K.S. Muscle spindle feedback differs between the soleus and gastrocnemius in humans. Somatosen. Mot. Res. 2004, 21, 189–197. [Google Scholar] [CrossRef] [PubMed]
- Maganaris, C.N.; Baltzopoulos, V.; Sargeant, A.J. In vivo measurements of the triceps surae complex architecture in man: Implications for muscle function. J. Physiol. 1998, 512, 603–614. [Google Scholar] [CrossRef]
- Cai, C.; Au, I.P.H.; An, W.; Cheung, R.T.H. Facilitatory and inhibitory effects of Kinesio tape: Fact or fad? J. Sci. Med. Sport 2016, 19, 109–112. [Google Scholar] [CrossRef] [PubMed]
- Reneker, J.C.; Latham, L.; McGlawn, R.; Reneker, M.R. Effectiveness of kinesiology tape on sports performance abilities in athletes: A systematic review. Phys. Ther. Sport 2018, 31, 83–98. [Google Scholar] [CrossRef] [PubMed]
- Williams, S.; Whatman, C.; Hume, P.A.; Sheerin, K. Kinesio taping in treatment and prevention of sports injuries. Sports Med. 2012, 42, 153–164. [Google Scholar] [CrossRef]
- Tremblay, F.; Karam, S. Kinesio-taping application and corticospinal excitability at the ankle joint. J. Athl. Train. 2015, 50, 840–846. [Google Scholar] [CrossRef]
- Kim, K.-M.; Davis, B.; Hertel, J.; Hart, J. Effects of Kinesio taping in patients with quadriceps inhibition: A randomized, single-blinded study. Phys. Ther. Sport 2017, 24, 67–73. [Google Scholar] [CrossRef]
- Magalhães, I.E.J.; Mezzarane, R.A.; Carregaro, R.L. Therapeutic elastic tapes applied in different directions over the triceps surae do not modulate reflex excitability of the soleus muscle. J. Sport Rehabil. 2021, 30, 22–29. [Google Scholar] [CrossRef]
- Bravi, R.; Cohen, E.J.; Quarta, E.; Martinelli, A.; Minciacchi, D. Effect of direction and tension of kinesio taping application on sensorimotor coordination. Int. J. Sports Med. 2016, 37, 909–914. [Google Scholar] [CrossRef]
- Bravi, R.; Quarta, E.; Cohen, E.J.; Gottard, A.; Minciacchi, D. A little elastic for a better performance: Kinesiotaping of the motor effector modulates neural mechanisms for rhythmic movements. Fron. Syst. Neurosci. 2014, 8. [Google Scholar] [CrossRef] [PubMed]
- Firth, B.L.; Dingley, P.; Davies, E.R.; Lewis, J.S.; Alexander, C.M. The effect of kinesiotape on function, pain, and motoneuronal excitability in healthy people and people with achilles tendinopathy. Clin. J. Sports Med. 2010, 20, 416–421. [Google Scholar] [CrossRef] [PubMed]
- Kase, K.; Wallis, J.; Kase, T. Clinical Therapeutic Applications of the Kinesio Taping Method, 2nd ed.; Ken Ikai Co. Ltd.: Tokyo, Japan, 2003. [Google Scholar]
- Han, J.T.; Lee, J.-H. Effects of kinesiology taping on repositioning error of the knee joint after quadriceps muscle fatigue. J. Phys. Ther. Sci. 2014, 26, 921–923. [Google Scholar] [CrossRef] [PubMed]
- Halseth, T.; McChesney, J.W.; Debeliso, M.; Vaughn, R.; Lien, J. The effects of kinesio™ taping on proprioception at the ankle. J. Sports. Sci. Med. 2004, 3, 1–7. [Google Scholar]
- Chen, Y.-S.; Tseng, W.-C.; Chen, C.-H.; Lu, Y.-X. Moderate kinesio taping stretch tension produced good inter-day reliability of dosiflexion joint position sense measurement. Gazz. Med. Ital. Arch. Sci. Med. 2021, 180, 35–42. [Google Scholar] [CrossRef]
- Chen, Y.-S.; Tseng, W.-C.; Chen, C.-H.; Bezerra, P.; Ye, X. Acute effects of kinesiology tape tension on soleus muscle h-reflex modulations during lying and standing postures. PLoS. ONE 2020, 15, e0236587. [Google Scholar] [CrossRef]
- Faul, F.; Erdfelder, E.; Lang, A.G.; Buchner, A. G*Power 3: A flexible statistical power analysis program for the social, behavioral, and biomedical sciences. Behav. Res. Methods 2007, 39, 175–191. [Google Scholar] [CrossRef] [PubMed]
- Questionnaire, I.P.A. Guidelines for Data Processing and Analysis of the International Physical Activity Questionnaire (IPAQ)—Short and Long Forms. Available online: http://www.ipaq.ki (accessed on 1 February 2018).
- Urbaniak, G.C.; Plous, S. Research Randomizer (Version 4.0) [Computer Software]. Available online: https://www.randomizer.org/ (accessed on 1 February 2018).
- Hermens, J.H.F.; Merletti, B.; Stegeman, R.; Blok, D.; Rau, J.; Disselhorst-Klug, G.; C Hägg, G. SENIAM European Recommendations for Surface ElectroMyoGraphy; Roessingh Research and Development: Enschede, The Netherlands, 1999. [Google Scholar]
- Chen, Y.S.; Zhou, S. Soleus H-reflex and its relation to static postural control. Gait. Posture. 2011, 33, 169–178. [Google Scholar] [CrossRef]
- Merlet, A.N.; Cattagni, T.; Cornu, C.; Jubeau, M. Effect of knee angle on neuromuscular assessment of plantar flexor muscles: A reliability study. PLoS. ONE 2018, 13, e0195220. [Google Scholar] [CrossRef]
- Martínez-Gramage, J.; Merino-Ramirez, M.A.; Amer-Cuenca, J.J.; Lisón, J.F. Effect of Kinesio Taping on gastrocnemius activity and ankle range of movement during gait in healthy adults: A randomized controlled trial. Phys. Ther. Sport 2016, 18, 56–61. [Google Scholar] [CrossRef]
- Davison, E.A.; Anderson, C.T.; Ponist, B.H.; Werner, D.M.; Jacobs, M.E.; Thompson, A.J.; Cook, M.R. Inhibitory effect of the Kinesio taping? Method on the gastrocnemius muscle. Am. J. Sports. Sci. Med. 2016, 4, 33–38. [Google Scholar]
- Magalhães, I.; Bottaro, M.; Mezzarane, R.A.; Neto, F.R.; Rodrigues, B.A.; Ferreira-Júnior, J.B.; Carregaro, R.L. Kinesiotaping enhances the rate of force development but not the neuromuscular efficiency of physically active young men. J. Electromyogr. Kinesiol. 2016, 28, 123–129. [Google Scholar] [CrossRef] [PubMed]
- Bagheri, R.; Pourahmadi, M.R.; Sarmadi, A.R.; Takamjani, I.E.; Torkaman, G.; Fazeli, S.H. What is the effect and mechanism of kinesiology tape on muscle activity? J. Bodyw. Mov. Ther. 2018, 22, 266–275. [Google Scholar] [CrossRef] [PubMed]
- Iles, J.F. Evidence for cutaneous and corticospinal modulation of presynaptic inhibition of Ia afferents from the human lower limb. J. Physiol. 1996, 491, 197–207. [Google Scholar] [CrossRef]
- Friesenbichler, B.; Lepers, R.; Maffiuletti, N.A. Soleus and lateral gastrocnemius H-reflexes during standing with unstable footwear. Muscle. Nerve. 2015, 51, 764–766. [Google Scholar] [CrossRef] [PubMed]
- Obst, S.; Heales, L.; Hrelja, Z.; Ishri, P.; Wesche, J.; Barber, L. The effect of deloading tape on medial gastrocnemius muscle fascicle behaviour during dynamic exercise. J. Sports. Sci. 2019, 37, 1874–1883. [Google Scholar] [CrossRef]
- De Jesus, J.F.; Franco, Y.R.D.S.; Nannini, S.B.; Nakaoka, G.B.; Dos Reis, A.C.; Bryk, F.F. The effects of varied tensions of kinesiology taping on quadriceps strength and lower limb function. Int. J. Sports. Phys. Ther. 2017, 12, 85–93. [Google Scholar]



| Physical Characteristics | Mean ± Standard Deviation (n = 12) |
|---|---|
| Age (years) | 21.3 ± 1.2 |
| Height (cm) | 175.6 ± 7.1 |
| Body Weight (kg) | 69.9 ± 7.1 |
| BMI | 22.7 ± 2.3 |
| Soleus muscle length (cm) | 37.8 ± 2.0 |
| Lateral gastrocnemius muscle length (cm) | 41.5 ± 2.2 |
| Dominant leg (R/L) | 11/1 |
| IPAQ (METs) | 8658.3 ± 4676.7 |
| Muscles | Hmax (mV) | Mmax (mV) | Hmax/Mmax (%) | |||
|---|---|---|---|---|---|---|
| ICC (95% CI) | SEM | ICC (95% CI) | SEM | ICC (95% CI) | SEM | |
| Soleus | 0.93 (0.81–0.98) nearly perfect | 0.055 | 0.88 (0.68-0.96) very large | 0.079 | 0.91 (0.76–0.97) nearly perfect | 0.023 |
| Medial gastrocnemius | 0.92 (0.79-0.98) nearly perfect | 0.003 | 0.92 (0.79-0.98) nearly perfect | 0.048 | 0.83 (0.54–0.95) very large | 0.002 |
| Lateral gastrocnemius | 0.96 (0.90–0.99) nearly perfect | 0.022 | 0.92 (0.81–0.98) nearly perfect | 0.118 | 0.81 (0.48–0.94) very large | 0.013 |
| Parameters | Paper-Off | 50% Maximal Stretch Tension | 100% Maximal Stretch Tension | ||||||
|---|---|---|---|---|---|---|---|---|---|
| Pre-Taping | Taping | Post-Taping | Pre-Taping | Taping | Post-Taping | Pre-Taping | Taping | Post-Taping | |
| Soleus | |||||||||
| Hmax (mV) | 1.82 ± 0.49 | 1.90 ± 0.49 | 1.86 ± 0.52 | 1.89 ± 0.69 | 1.85 ± 0.72 | 1.83 ± 0.63 | 1.70 ± 0.58 | 1.79 ± 0.64 | 1.73 ± 0.53 |
| Mmax (mV) | 2.80 ± 0.45 | 2.79 ± 0.48 | 2.89 ± 0.46 | 3.05 ± 0.49 * | 2.96 ± 0.44 | 3.01 ± 0.47 | 3.02 ± 0.57 | 2.98 ± 0.54 | 2.94 ± 0.62 |
| Hmax/Mmax | 0.65 ± 0.13 | 0.68 ± 0.12 | 0.64 ± 0.13 | 0.61 ± 0.20 | 0.62 ± 0.22 | 0.60 ± 0.19 | 0.57 ± 0.19 | 0.60 ± 0.20 | 0.59 ± 0.17 |
| Medial Gastrocnemius | |||||||||
| Hmax (mV) | 0.48 ± 0.17 | 0.49 ± 0.16 | 0.49 ± 0.17 | 0.46 ± 0.25 | 0.50 ± 0.24 | 0.46 ± 0.25 | 0.45 ± 0.23 | 0.50 ± 0.25 | 0.50 ± 0.23 |
| Mmax (mV) | 2.94 ± 1.19 | 2.86 ± 1.14 | 2.84 ± 1.26 | 2.84 ± 1.30 | 2.72 ± 1.06 | 2.75 ± 0.94 | 2.87 ± 1.13 | 2.65 ± 1.12 | 2.67 ± 1.14 |
| Hmax/Mmax | 0.20 ± 0.12 | 0.21 ± 0.11 | 0.21 ± 0.12 | 0.20 ± 0.11 | 0.21 ± 0.11 | 0.19 ± 0.11 | 0.19 ± 0.13 | 0.22 ± 0.13 | 0.22 ± 0.15 |
| Lateral Gastrocnemius | |||||||||
| Hmax (mV) | 0.75 ± 0.39 | 0.72 ± 0.41 | 0.69 ± 0.37 ** | 0.67 ± 0.43 | 0.66 ± 0.42 | 0.63 ± 0.38 | 0.70 ± 0.38 | 0.72 ± 0.40 | 0.74 ± 0.37 |
| Mmax (mV) | 3.22 ± 1.54 | 3.04 ± 1.59 | 3.09 ± 1.67 | 2.81 ±1.33 | 2.64 ± 1.23 | 2.84 ± 1.32 | 3.02 ± 1.38 | 2.84 ± 1.37 | 2.97 ± 1.20 |
| Hmax/Mmax | 0.28 ± 0.19 | 0.34 ± 0.30 | 0.34 ± 0.33 | 0.31 ± 0.19 | 0.28 ± 0.18 | 0.31 ± 0.23 | 0.31 ± 0.23 | 0.33 ± 0.21 | 0.30 ± 0.18 |
Publisher’s Note: MDPI stays neutral with regard to jurisdictional claims in published maps and institutional affiliations. |
© 2021 by the authors. Licensee MDPI, Basel, Switzerland. This article is an open access article distributed under the terms and conditions of the Creative Commons Attribution (CC BY) license (https://creativecommons.org/licenses/by/4.0/).
Share and Cite
Chen, Y.-S.; Zhou, S.; Crowley-McHattan, Z.J.; Bezerra, P.; Tseng, W.-C.; Chen, C.-H.; Ye, X. Acute Effects of Kinesiology Taping Stretch Tensions on Soleus and Gastrocnemius H-Reflex Modulations. Int. J. Environ. Res. Public Health 2021, 18, 4411. https://doi.org/10.3390/ijerph18094411
Chen Y-S, Zhou S, Crowley-McHattan ZJ, Bezerra P, Tseng W-C, Chen C-H, Ye X. Acute Effects of Kinesiology Taping Stretch Tensions on Soleus and Gastrocnemius H-Reflex Modulations. International Journal of Environmental Research and Public Health. 2021; 18(9):4411. https://doi.org/10.3390/ijerph18094411
Chicago/Turabian StyleChen, Yung-Sheng, Shi Zhou, Zachary J. Crowley-McHattan, Pedro Bezerra, Wei-Chin Tseng, Che-Hsiu Chen, and Xin Ye. 2021. "Acute Effects of Kinesiology Taping Stretch Tensions on Soleus and Gastrocnemius H-Reflex Modulations" International Journal of Environmental Research and Public Health 18, no. 9: 4411. https://doi.org/10.3390/ijerph18094411
APA StyleChen, Y.-S., Zhou, S., Crowley-McHattan, Z. J., Bezerra, P., Tseng, W.-C., Chen, C.-H., & Ye, X. (2021). Acute Effects of Kinesiology Taping Stretch Tensions on Soleus and Gastrocnemius H-Reflex Modulations. International Journal of Environmental Research and Public Health, 18(9), 4411. https://doi.org/10.3390/ijerph18094411

