A Survey on Stretching Practices in Women and Men from Various Sports or Physical Activity Programs
Abstract
1. Introduction
2. Materials and Methods
2.1. Subjects
2.2. Procedure
2.3. Data and Statistical Analysis
3. Results
3.1. Characteristics of Participants
3.2. General Stretching Practice
3.3. Education and Supervision
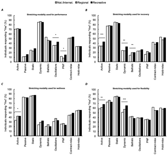
3.4. Stretching Modalities
3.5. Injury
4. Discussion
4.1. Stretching Practices
4.2. Education and Supervision
4.3. Study Limitations
5. Conclusions
Supplementary Materials
Author Contributions
Funding
Institutional Review Board Statement
Informed Consent Statement
Data Availability Statement
Conflicts of Interest
References
- Trall, R. The Illustrated Family Gymnasium; Wells, F., Ed.; Fowler and Wells, Publishers: New York, NY, USA, 1857. [Google Scholar]
- Baker, F. Rheumatoid arthritis. Present-day physical therapy. Calif. Med. 1960, 92, 330–333. [Google Scholar] [PubMed]
- Kraus, H. Reconditioning aging muscles. Geriatrics 1978, 33, 93–96. [Google Scholar]
- Opplert, J.; Paizis, C.; Papitsa, A.; Blazevich, A.J.; Cometti, C.; Babault, N. Static stretch and dynamic muscle activity induce acute similar increase in corticospinal excitability. PLoS ONE 2020, 15, e0230388. [Google Scholar] [CrossRef]
- Chaabene, H.; Behm, D.G.; Negra, Y.; Granacher, U. Acute Effects of Static Stretching on Muscle Strength and Power: An Attempt to Clarify Previous Caveats. Front. Physiol. 2019, 10, 1468. [Google Scholar] [CrossRef] [PubMed]
- Andrade, R.J.; Freitas, S.R.; Hug, F.; Le Sant, G.; Lacourpaille, L.; Gross, R.; Quillard, J.B.; McNair, P.J.; Nordez, A. Chronic effects of muscle and nerve-directed stretching on tissue mechanics. J. Appl. Physiol. 2020, 129, 1011–1023. [Google Scholar] [CrossRef] [PubMed]
- Riccetti, M.; Opplert, J.; Durigan, J.L.Q.; Cometti, C.; Babault, N. Acute Static Stretching Results in Muscle-Specific Alterations amongst the Hamstring Muscles. Sports 2020, 8, 119. [Google Scholar] [CrossRef] [PubMed]
- Holt, L.E.; Travis, T.M.; Okita, T. Comparative study of three stretching techniques. Percept. Mot. Skills 1970, 31, 611–616. [Google Scholar] [CrossRef] [PubMed]
- McHugh, M.P.; Cosgrave, C.H. To stretch or not to stretch: The role of stretching in injury prevention and performance. Scand. J. Med. Sci. Sports 2010, 20, 169–181. [Google Scholar] [CrossRef]
- Behm, D.G.; Blazevich, A.J.; Kay, A.D.; McHugh, M. Acute effects of muscle stretching on physical performance, range of motion, and injury incidence in healthy active individuals: A systematic review. Appl. Physiol. Nutr. Metab. 2016, 41, 1–11. [Google Scholar] [CrossRef]
- Kay, A.D.; Blazevich, A.J. Effect of acute static stretch on maximal muscle performance: A systematic review. Med. Sci. Sports Exerc. 2012, 44, 154–164. [Google Scholar] [CrossRef]
- Pooley, S.; Spendiff, O.; Allen, M.; Moir, H.J. Static stretching does not enhance recovery in elite youth soccer players. BMJ Open Sport Exerc. Med. 2017, 3, e000202. [Google Scholar] [CrossRef] [PubMed]
- Witvrouw, E.; Mahieu, N.; Danneels, L.; McNair, P. Stretching and injury prevention: An obscure relationship. Sports Med. 2004, 34, 443–449. [Google Scholar] [CrossRef]
- Sady, S.P.; Wortman, M.; Blanke, D. Flexibility training: Ballistic, static or proprioceptive neuromuscular facilitation? Arch. Phys. Med. Rehabil. 1982, 63, 261–263. [Google Scholar] [PubMed]
- Lucas, R.C.; Koslow, R. Comparative study of static, dynamic, and proprioceptive neuromuscular facilitation stretching techniques on flexibility. Percept. Mot. Skills 1984, 58, 615–618. [Google Scholar] [CrossRef] [PubMed]
- Bandy, W.D.; Irion, J.M.; Briggler, M. The Effect of Static Stretch and Dynamic Range of Motion Training on the Flexibility of the Hamstring Muscles. J. Orthop. Sports Phys. Ther. 1998, 27, 295–300. [Google Scholar] [CrossRef] [PubMed]
- Wallin, D.; Ekblom, B.; Grahn, R.; Nordenborg, T. Improvement of muscle flexibility. A comparison between two techniques. Am. J. Sports Med. 1985, 13, 263–268. [Google Scholar] [CrossRef]
- Moore, M.A.; Hutton, R.S. Electromyographic investigation of muscle stretching techniques. Med. Sci. Sports Exerc. 1980, 12, 322–329. [Google Scholar] [CrossRef] [PubMed]
- Wiemann, K.; Hahn, K. Influences of strength, stretching and circulatory exercises on flexibility parameters of the human hamstrings. Int. J. Sports Med. 1997, 18, 340–346. [Google Scholar] [CrossRef] [PubMed]
- Ikeda, N.; Yonezu, T.; Kawakami, Y. Minute oscillation stretching: A novel modality for reducing musculo-tendinous stiffness and maintaining muscle strength. Scand. J. Med. Sci. Sports 2020, 31, 104–114. [Google Scholar] [CrossRef] [PubMed]
- Ekstrand, J.; Gillquist, J.; Liljedahl, S.O. Prevention of soccer injuries: Supervision by doctor and physiotherapist. Am. J. Sports Med. 1983, 11, 116–120. [Google Scholar] [CrossRef] [PubMed]
- Ingraham, S.J. The role of flexibility in injury prevention and athletic performance: Have we stretched the truth? Minn. Med. 2003, 86, 58–61. [Google Scholar]
- Woods, K.; Bishop, P.; Jones, E. Warm-Up and Stretching in the Prevention of Muscular Injury. Sports Med. 2007, 37, 1089–1099. [Google Scholar] [CrossRef] [PubMed]
- Shellock, F.G.; Prentice, W.E. Warming-up and stretching for improved physical performance and prevention of sports-related injuries. Sports Med. 1985, 2, 267–278. [Google Scholar] [CrossRef] [PubMed]
- Cheung, K.; Hume, P.; Maxwell, L. Delayed onset muscle soreness: Treatment strategies and performance factors. Sports Med. 2003, 33, 145–164. [Google Scholar] [CrossRef]
- Pooley, S.; Spendiff, O.; Allen, M.; Moir, H.J. Comparative efficacy of active recovery and cold water immersion as post-match recovery interventions in elite youth soccer. J. Sports Sci. 2020, 38, 1423–1431. [Google Scholar] [CrossRef] [PubMed]
- Dawson, B.; Gow, S.; Modra, S.; Bishop, D.; Stewart, C. Effects of immediate post-game recovery procedures on muscle soreness, power and flexibility levels over the next 48 h. J. Sci. Med. Sport 2005, 8, 210–221. [Google Scholar] [CrossRef]
- Handel, M.; Horstmann, T.; Dickhuth, H.H.; Gülch, R.W. Effects of contract-relax stretching training on muscle performance in athletes. Eur. J. Appl. Physiol. Occup. Physiol. 1997, 76, 400–408. [Google Scholar] [CrossRef]
- Kokkonen, J.; Nelson, A.G.; Eldredge, C.; Winchester, J.B. Chronic static stretching improves exercise performance. Med. Sci. Sports Exerc. 2007, 39, 1825–1831. [Google Scholar] [CrossRef]
- Behm, D.G.; Chaouachi, A. A review of the acute effects of static and dynamic stretching on performance. Eur. J. Appl. Physiol. 2011, 111, 2633–2651. [Google Scholar] [CrossRef]
- Behm, D.G.; Kay, A.D.; Trajano, G.S.; Blazevich, A.J. Mechanisms underlying performance impairments following prolonged static stretching without a comprehensive warm-up. Eur. J. Appl. Physiol. 2021, 121, 67–94. [Google Scholar] [CrossRef]
- Avela, J.; Kyrolainen, H.; Komi, P.V. Altered reflex sensitivity after repeated and prolonged passive muscle stretching. J. Appl. Physiol. 1999, 86, 1283–1291. [Google Scholar] [CrossRef] [PubMed]
- Winchester, J.B.; Nelson, A.G.; Kokkonen, J. A single 30-s stretch is sufficient to inhibit maximal voluntary strength. Res. Q. Exerc. Sport 2009, 80, 257–261. [Google Scholar] [CrossRef] [PubMed]
- Opplert, J.; Genty, J.-B.; Babault, N. Do Stretch Durations Affect Muscle Mechanical and Neurophysiological Properties? Int. J. Sports Med. 2016, 37, 673–679. [Google Scholar] [CrossRef]
- Opplert, J.; Babault, N. Acute Effects of Dynamic Stretching on Muscle Flexibility and Performance: An Analysis of the Current Literature. Sports Med. 2018, 48, 299–325. [Google Scholar] [CrossRef]
- Samson, M.; Button, D.C.; Chaouachi, A.; Behm, D.G. Effects of dynamic and static stretching within general and activity specific warm-up protocols. J. Sports Sci. Med. 2012, 11, 279–285. [Google Scholar]
- Reid, J.C.; Greene, R.; Young, J.D.; Hodgson, D.D.; Blazevich, A.J.; Behm, D.G. The effects of different durations of static stretching within a comprehensive warm-up on voluntary and evoked contractile properties. Eur. J. Appl. Physiol. 2018, 118, 1427–1445. [Google Scholar] [CrossRef]
- Judge, L.W.; Petersen, J.C.; Bellar, D.M.; Craig, B.W.; Wanless, E.A.; Benner, M.; Simon, L.S. An examination of preactivity and postactivity stretching practices of crosscountry and track and field distance coaches. J. Strength Cond. Res. 2013, 27, 2456–2464. [Google Scholar] [CrossRef]
- Popp, J.K.; Bellar, D.M.; Hoover, D.L.; Craig, B.W.; Leitzelar, B.N.; Wanless, E.A.; Judge, L.W. Pre- and Post-Activity Stretching Practices of Collegiate Athletic Trainers in the United States. J. Strength Cond. Res. 2017, 31, 2347–2354. [Google Scholar] [CrossRef] [PubMed]
- Judge, L.W.; Avedesian, J.M.; Bellar, D.M.; Hoover, D.L.; Craig, B.W.; Langley, J.; Nordmann, N.; Schoeff, M.A.; Dickin, C. Pre-and post-activity stretching practices of collegiate soccer coaches in the United State. Int. J. Exerc. Sci. 2020, 13, 260–272. [Google Scholar] [PubMed]
- Bouvier, T.; Opplert, J.; Cometti, C.; Babault, N. Acute effects of static stretching on muscle–tendon mechanics of quadriceps and plantar flexor muscles. Eur. J. Appl. Physiol. 2017, 117, 1309–1315. [Google Scholar] [CrossRef] [PubMed]
- Opplert, J.; Babault, N. Acute effects of dynamic stretching on mechanical properties result from both muscle-tendon stretching and muscle warm-up. J. Sports Sci. Med. 2019, 18, 351–358. [Google Scholar]
- Freitas, S.R.; Mendes, B.; Le Sant, G.; Andrade, R.J.; Nordez, A.; Milanovic, Z. Can chronic stretching change the muscle-tendon mechanical properties? A review. Scand. J. Med. Sci. Sports 2018, 28, 794–806. [Google Scholar] [CrossRef]
- Villanueva, A.; Rabal-Pelay, J.; Berzosa, C.; Gutiérrez, H.; Cimarras-Otal, C.; Lacarcel-Tejero, B.; Bataller-Cervero, A.V. Effect of a long exercise program in the reduction of musculoskeletal discomfort in office workers. Int. J. Environ. Res. Public Health 2020, 17, 9042. [Google Scholar] [CrossRef]
- Shariat, A.; Lam, E.T.C.; Kargarfard, M.; Tamrin, S.B.M.; Danaee, M. The application of a feasible exercise training program in the office setting. Work 2017, 56, 421–428. [Google Scholar] [CrossRef]
- Holzgreve, F.; Maltry, L.; Hänel, J.; Schmidt, H.; Bader, A.; Frei, M.; Filmann, N.; Groneberg, D.A.; Ohlendorf, D.; van Mark, A. The office work and stretch training (Ost) study: An individualized and standardized approach to improve the quality of life in office workers. Int. J. Environ. Res. Public Health 2020, 17, 4522. [Google Scholar] [CrossRef] [PubMed]
- MacEdo, A.C.; Trindade, C.S.; Brito, A.P.; Dantas, M.S. On the effects of a workplace fitness program upon pain perception: A case study encompassing office workers in a portuguese context. J. Occup. Rehabil. 2011, 21, 228–233. [Google Scholar] [CrossRef] [PubMed]
- Nuzzo, J.L. The Case for Retiring Flexibility as a Major Component of Physical Fitness. Sports Med. 2020, 50, 853–870. [Google Scholar] [CrossRef] [PubMed]
- Bishop, M.D.; George, S.Z. Pain sensitivity and torque used during measurement predicts change in range of motion at the knee. J. Pain Res. 2017, 10, 2711–2716. [Google Scholar] [CrossRef]
- Støve, M.P.; Hirata, R.P.; Palsson, T.S. Muscle stretching-The potential role of endogenous pain inhibitory modulation on stretch tolerance. Scand. J. Pain 2019, 19, 415–422. [Google Scholar] [CrossRef] [PubMed]
- Apostolopoulos, N.C.; Lahart, I.M.; Plyley, M.J.; Taunton, J.; Nevill, A.M.; Koutedakis, Y.; Wyon, M.; Metsios, G.S. The effects of different passive static stretching intensities on recovery from unaccustomed eccentric exercise—A randomized controlled trial. Appl. Physiol. Nutr. Metab. 2018, 43, 806–815. [Google Scholar] [CrossRef] [PubMed]
- Barnett, A. Using recovery modalities between training sessions in elite athletes: Does it help? Sports Med. 2006, 36, 781–796. [Google Scholar] [CrossRef]
- Herbert, R.D.; de Noronha, M.; Kamper, S.J. Stretching to prevent or reduce muscle soreness after exercise. Cochrane Database Syst. Rev. 2011. [Google Scholar] [CrossRef] [PubMed]
- Miller, K.C.; Harsen, J.D.; Long, B.C. Prophylactic stretching does not reduce cramp susceptibility. Muscle Nerve 2018, 57, 473–477. [Google Scholar] [CrossRef]
- Padilha, U.C.; Vieira, A.; Vieira, D.C.L.; De Lima, F.D.; Junior, V.A.R.; Tufano, J.J.; Bottaro, M. Could inter-set stretching increase acute neuromuscular and metabolic responses during resistance exercise? Eur. J. Transl. Myol. 2019, 29, 293–301. [Google Scholar] [CrossRef] [PubMed]
- Brunner, R.; Friesenbichler, B.; Casartelli, N.C.; Bizzini, M.; Maffiuletti, N.A.; Niedermann, K. Effectiveness of multicomponent lower extremity injury prevention programmes in team-sport athletes: An umbrella review. Br. J. Sports Med. 2019, 53, 282–288. [Google Scholar] [CrossRef] [PubMed]
- Shrier, I. Stretching before exercise does not reduce the risk of local muscle injury: A critical review of the clinical and basic science literature. Clin. J. Sport Med. 1999, 9, 221–227. [Google Scholar] [CrossRef]
- Jones, B.H.; Knapik, J.J. Physical training and exercise-related injuries. Surveillance, research and injury prevention in military populations. Sports Med. 1999, 27, 111–125. [Google Scholar] [CrossRef]
- Lauersen, J.B.; Bertelsen, D.M.; Andersen, L.B. The effectiveness of exercise interventions to prevent sports injuries: A systematic review and meta-analysis of randomised controlled trials. Br. J. Sports Med. 2014, 48, 871–877. [Google Scholar] [CrossRef]
- Babault, N.; Bazine, W.; Deley, G.; Paizis, C.; Lattier, G. Direct relation of acute effects of static stretching on isokinetic torque production with initial flexibility level. Int. J. Sports Physiol. Perform. 2015, 10, 117–119. [Google Scholar] [CrossRef]
- Vieira, D.C.L.; Opplert, J.; Babault, N. Acute effects of dynamic stretching on neuromechanical properties: An interaction between stretching, contraction, and movement. Eur. J. Appl. Physiol. 2021, 121, 957–967. [Google Scholar] [CrossRef]
- Judge, L.W.; Craig, B.; Baudendistal, S.; Bodey, K.J. An examination of the stretching practices of division I and division III college football programs in the midwestern united states. J. Strength Cond. Res. 2009, 23, 1091–1096. [Google Scholar] [CrossRef] [PubMed]
- Lund, H.; Vestergaard-Poulsen, P.; Kanstrup, I.L.; Sejrsen, P. The effect of passive stretching on delayed onset muscle soreness, and other detrimental effects following eccentric exercise. Scand. J. Med. Sci. Sports 1998, 8, 216–221. [Google Scholar] [CrossRef]
- Nédélec, M.; McCall, A.; Carling, C.; Legall, F.; Berthoin, S.; Dupont, G. Recovery in soccer: Part II-recovery strategies. Sports Med. 2013, 43, 9–22. [Google Scholar] [CrossRef] [PubMed]
- Fowles, J.R.; Sale, D.G.; MacDougall, J.D. Reduced strength after passive stretch of the human plantarflexors. J. Appl. Physiol. 2000, 89, 1179–1188. [Google Scholar] [CrossRef]
- Ryan, E.D.; Beck, T.W.; Herda, T.J.; Hull, H.R.; Hartman, M.J.; Stout, J.R.; Cramer, J.T. Do practical durations of stretching alter muscle strength? A dose-response study. Med. Sci Sports Exerc. 2008, 40, 1529–1537. [Google Scholar] [CrossRef] [PubMed]
- Torres, E.M.; Kraemer, W.J.; Vingren, J.L.; Volek, J.S.; Hatfield, D.L.; Spiering, B.A.; Ho, J.Y.; Fragala, M.S.; Thomas, G.A.; Anderson, J.M.; et al. Effects of stretching on upper-body muscular performance. J. Strength Cond. Res. 2008, 22, 1279–1285. [Google Scholar] [CrossRef] [PubMed]
- Desai, N.; Vance, D.D.; Rosenwasser, M.P.; Ahmad, C.S. Artistic gymnastics injuries; Epidemiology, evaluation, and treatment. J. Am. Acad. Orthop. Surg. 2019, 27, 459–467. [Google Scholar] [CrossRef] [PubMed]
- Page, P. Current concepts in muscle stretching for exercise and rehabilitation. Int. J. Sports Phys. Ther. 2012, 7, 109–119. [Google Scholar]
- Nakao, S.; Ikezoe, T.; Nakamura, M.; Saeki, J.; Kato, T.; Umehara, J.; Ichihashi, N. Effects of ankle position during static stretching for the hamstrings on the decrease in passive stiffness. J. Biomech. 2019, 96, 109358. [Google Scholar] [CrossRef]
- Iida, N.; Taniguchi, K.; Watanabe, K.; Miyamoto, H.; Taniguchi, T.; Teramoto, A.; Katayose, M. Effective stretching positions for the posterior shoulder capsule as determined by shear wave elastography. J. Shoulder Elb. Surg. 2020. [Google Scholar] [CrossRef] [PubMed]
- Apostolopoulos, N.; Metsios, G.S.; Flouris, A.D.; Koutedakis, Y.; Wyon, M.A. The relevance of stretch intensity and position—A systematic review. Front. Psychol. 2015, 6, 1128. [Google Scholar] [CrossRef] [PubMed]
- Gentil, P.; Bottaro, M. Influence of supervision ratio on muscle adaptations to resistance training in nontrained subjects. J. Strength Cond. Res. 2010, 24, 639–643. [Google Scholar] [CrossRef]
- Coutts, A.J.; Murphy, A.J.; Dascombe, B.J. Effect of direct supervision of a strength coach on measures of muscular strength and power in young rugby league players. J. Strength Cond. Res. 2004, 18, 316–323. [Google Scholar] [CrossRef] [PubMed][Green Version]
- Kofotolis, N.; Kellis, E. Effects of two 4-week proprioceptive neuromuscular facilitation programs on muscle endurance, flexibility, and functional performance in women with chronic low back pain. Phys. Ther. 2006, 86, 1001–1012. [Google Scholar] [CrossRef] [PubMed]
- Lempke, L.; Wilkinson, R.; Murray, C.; Stanek, J. The effectiveness of PNF versus static stretching on increasing hip-flexion range of motion. J. Sport Rehabil. 2018, 27, 289–294. [Google Scholar] [CrossRef] [PubMed]



| Gender $$$ | Practice level £££ | ||||
|---|---|---|---|---|---|
| Descriptor | Women | Men | Nat./Internat. | Regional | Recreative |
| What is your gender? | |||||
| Women b,c,d | 47.3% (1677) | - | 41.3% (371) | 34.4% (364) | 59.2% (942) |
| Men b,c,d | - | 52.7% (1869) | 58.7% (527) | 65.6% (693) | 40.8% (549) |
| What is your age? | |||||
| <20 years a,b,c,d | 32.8% (550) | 24.9% (465) | 37.3% (335) | 30.4% (322) | 22.5% (358) |
| 20–29 years | 51.2% (859) | 48.1% (899) | 50.3% (452) | 47.5% (502) | 50.5% (804) |
| 30–39 years a,c | 6.4% (107) | 9.8% (183) | 6.8% (61) | 9.5% (101) | 8.0% (128) |
| 40–49 years a,b,c,d | 5.1% (85) | 10.0% (187) | 4.0% (36) | 7.6% (80) | 9.8% (80) |
| 50–59 years a,b,c,d | 3.9% (65) | 5.3% (99) | 1.4% (13) | 3.9% (42) | 6.8% (42) |
| >60 years a,b,c,d | 0.6% (11) | 1.9% (36) | 0.1% (1) | 0.9% (10) | 2.2% (10) |
| What is the main sport you are actually doing? | |||||
| Team Sports a,b,c,d | 18.3% (307) | 40.8% (762) | 43.5% (391) | 55.0% (581) | 6.1% (97) |
| Fitness a,b,c,d | 21.3% (357) | 3.1% (58) | 0.4% (4) | 0.8% (8) | 25.3% (403) |
| Strength/crossfit a,c,d | 8.6% (144) | 11.3% (211) | 1.8% (16) | 2.2% (23) | 19.9% (316) |
| Track & Field | 9.2% (154) | 8.7% (162) | 9.8% (88) | 9.6% (101) | 8.0% (127) |
| Cycling/Trail/Triathlon a,b,c,d | 7.1% (120) | 10.5% (196) | 7.1% (64) | 5.8% (61) | 12.0% (191) |
| Racket Sport a,b,c,d | 5.3% (88) | 11.0% (206) | 6.7% (60) | 15.1% (160) | 4.7% (74) |
| Dance/Gymnastics a,b,d | 14.5% (243) | 1.5% (29) | 10.4% (93) | 3.0% (32) | 9.2% (147) |
| Martial Arts b,c,d | 4.8% (80) | 5.2% (98) | 8.7% (78) | 2.6% (27) | 4.6% (73) |
| Swimming | 3.3% (56) | 2.3% (44) | 2.8% (25) | 2.4% (25) | 3.1% (50) |
| Mountain/water sports b,d | 2.6% (44) | 3.0% (57) | 4.5% (40) | 0.9% (9) | 3.3% (52) |
| Equestrian/Golf a | 3.5% (59) | 0.6% (11) | 2.2% (20) | 2.1% (22) | 1.8% (28) |
| Others b,d | 1.5% (25) | 1.9% (35) | 2.1% (19) | 0.8% (8) | 2.1% (33) |
| What is your practice level? | |||||
| National/international a | 22.2% (371) | 28.2% (527) | - | - | - |
| Regional a | 21.7% (364) | 37.1% (693) | - | - | - |
| Recreative a | 56.2% (942) | 34.7% (649) | - | - | - |
| What is your training volume? | |||||
| <2 h/week a,b,c,d | 21.3% (357) | 14.6% (273) | 6.1% (55) | 14.6% (154) | 26.5% (421) |
| 3–6 h/week a,c,d | 44.9% (754) | 38.6% (722) | 27.7% (249) | 42.2% (446) | 49.1% (781) |
| 7–10 h/week a,b,c,d | 22.2% (373) | 26.6% (497) | 28.6% (257) | 31.0% (328) | 17.9% (285) |
| >10 h/week a,b,c,d | 11.5% (193) | 20.2% (377) | 37.5% (337) | 12.2% (129) | 6.5% (104) |
| What is your subjective flexibility? | |||||
| Very low a | 12.2% (205) | 22.5% (421) | 13.8% (124) | 22.1% (234) | 16.8% (268) |
| Low a,b,d | 36.9% (619) | 45.1% (843) | 39.5% (355) | 46.5% (491) | 38.7% (616) |
| High a,b,d | 41.1% (690) | 28.9% (540) | 37.6% (338) | 27.4% (290) | 37.8% (602) |
| Very high a | 9.7% (163) | 3.5% (65) | 9.0% (81) | 4.0% (42) | 6.6% (105) |
| Gender $$$ | Practice level £££ | ||||
|---|---|---|---|---|---|
| Descriptor | Women | Men | Nat./Internat. | Regional | Recreative |
| For what reason? * | |||||
| Wellness a,b,c,d | 56.2% (850) | 43.4% (714) | 14.3% (386) | 14.1% (393) | 18.7% (789) |
| Warm-up b,c,d | 50.3% (761) | 49.6% (821) | 17.2% (463) | 17.7% (494) | 14.8% (626) |
| Injury prevention a,c,d | 51.4% (778) | 58.8% (973) | 19.3% (521) | 20.3% (567) | 15.5% (654) |
| Gain flexibility b,c,d | 59.1% (894) | 55.5% (919) | 19.3% (520) | 17.3% (484) | 19.2% (810) |
| Recovery a,b,c | 81.0% (1226) | 69.3% (1147) | 24.1% (650) | 24.4% (682) | 24.6% (1040) |
| Health | 19.1% (289) | 20.3% (336) | 5.8% (157) | 6.1% (171) | 7.1% (302) |
| When? * | |||||
| Before training b,c,d | 44.7% (676) | 45.3% (750) | 19.6% (440) | 19.3% (434) | 19.7% (550) |
| During training c,d | 17.4% (263) | 19.4% (322) | 8.6% (193) | 8.6% (193) | 7.3% (203) |
| After training/competition a,b,c | 76.1% (1152) | 68.9% (1141) | 28.6% (641) | 30.3% (681) | 34.7% (970) |
| After series of training/competition b,c,d | 30.9% (468) | 32.9% (544) | 18.8% (422) | 17.3% (388) | 11.9% (334) |
| Dedicated sessions b,c,d | 49.2% (745) | 51.0% (845) | 24.4% (547) | 24.4% (549) | 26.3% (736) |
| With what frequency? | |||||
| Every day b,c,d | 10.3% (156) | 9.0% (150) | 13.6% (115) | 6.4% (61) | 9.4% (130) |
| During every training c | 28.6% (432) | 24.5% (407) | 21.8% (184) | 26.3% (250) | 29.4% (405) |
| 1 to 5 times a week | 43.4% (655) | 43.5% (722) | 43.0% (363) | 42.9% (408) | 44.1% (607) |
| 1 to 2 times per month c,d | 13.5% (204) | 17.4% (289) | 17.2% (145) | 18.3% (174) | 12.6% (174) |
| 1 to 6 times per year d | 4.2% (63) | 5.6% (93) | 4.3% (36) | 6.1% (58) | 4.4% (61) |
| What is the average duration of stretching exercises (total)? | |||||
| <15 min c,d | 41.2% (623) | 40.6% (712) | 47.8% (403) | 54.7% (520) | 29.9% (412) |
| Between 15 and 30 min | 27.3% (412) | 27.4% (480) | 24.9% (210) | 28.1% (267) | 30.1% (415) |
| Between 30 and 60 min b,c,d | 29.5% (446) | 30.7% (539) | 26.1% (220) | 16.1% (153) | 37.6% (518) |
| >60 min | 2.0% (30) | 1.3% (23) | 1.2% (10) | 1.2% (11) | 2.3% (32) |
| What part of your body? | |||||
| Lower a | 19.6% (277) | 29.8% (494) | 25.8% (217) | 18.9% (294) | 30.1% (260) |
| Upper a | 0.8% (12) | 1.8% (29) | 1.5% (13) | 1.2% (44) | 1.1% (17) |
| Both a | 79.5% (1124) | 68.4% (1132) | 72.7% (612) | 79.8% (646) | 67.9% (1098) |
| Gender $$ | Practice level ££ | ||||
|---|---|---|---|---|---|
| Descriptor | Women | Men | Nat./Internat. | Regional | Recreative |
| Did you get injured during the last 12 months? | |||||
| Yes a,c,d | 40.7% (683) | 49.0% (915) | 57.2% (514) | 54.7% (579) | 31.7% (505) |
| No a,c,d | 59.3% (994) | 51.0% (954) | 42.7% (384) | 45.2% (478) | 68.2% (1086) |
| Do you think stretching more could have avoided being injured? (in case of injuries) | |||||
| Yes a,b,c,d | 26.2% (178) | 36.0% (329) | 26.8% (138) | 34.5% (198) | 33.9% (171) |
| No b,c,d | 51.0% (346) | 44.8% (409) | 52.9% (272) | 46.8% (269) | 42.4% (214) |
| No opinion c,d | 22.8% (155) | 19.2% (175) | 20.2% (104) | 18.6% (107) | 23.6% (119) |
| Do you think stretching contribute to the absence of injury? (if no injury) | |||||
| Yes a | 45.6% (452) | 41.9% (398) | 47.6% (183) | 42.7% (204) | 42.8% (463) |
| No a | 12.4% (123) | 18.0% (171) | 14.5% (56) | 17.6% (84) | 14.2% (154) |
| May be a | 42.0% (416) | 40.2% (382) | 37.7% (145) | 39.6% (189) | 42.9% (464) |
Publisher’s Note: MDPI stays neutral with regard to jurisdictional claims in published maps and institutional affiliations. |
© 2021 by the authors. Licensee MDPI, Basel, Switzerland. This article is an open access article distributed under the terms and conditions of the Creative Commons Attribution (CC BY) license (https://creativecommons.org/licenses/by/4.0/).
Share and Cite
Babault, N.; Rodot, G.; Champelovier, M.; Cometti, C. A Survey on Stretching Practices in Women and Men from Various Sports or Physical Activity Programs. Int. J. Environ. Res. Public Health 2021, 18, 3928. https://doi.org/10.3390/ijerph18083928
Babault N, Rodot G, Champelovier M, Cometti C. A Survey on Stretching Practices in Women and Men from Various Sports or Physical Activity Programs. International Journal of Environmental Research and Public Health. 2021; 18(8):3928. https://doi.org/10.3390/ijerph18083928
Chicago/Turabian StyleBabault, Nicolas, Gaelyann Rodot, Marrain Champelovier, and Carole Cometti. 2021. "A Survey on Stretching Practices in Women and Men from Various Sports or Physical Activity Programs" International Journal of Environmental Research and Public Health 18, no. 8: 3928. https://doi.org/10.3390/ijerph18083928
APA StyleBabault, N., Rodot, G., Champelovier, M., & Cometti, C. (2021). A Survey on Stretching Practices in Women and Men from Various Sports or Physical Activity Programs. International Journal of Environmental Research and Public Health, 18(8), 3928. https://doi.org/10.3390/ijerph18083928

