Exploring the Associations between Early Childhood Development Outcomes and Ecological Country-Level Factors across Low- and Middle-Income Countries
Abstract
1. Introduction
2. Materials and Methods
2.1. Data Sources and Sampled Countries
2.2. Dependent and Independent Variables
2.3. Statistical Analysis
3. Results
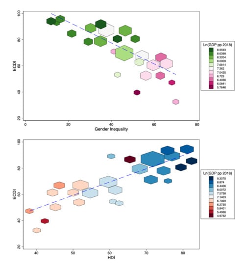
3.1. Descriptive Statistics
3.2. Regression Analysis
4. Discussion
5. Conclusions
Supplementary Materials
Author Contributions
Funding
Institutional Review Board Statement
Informed Consent Statement
Data Availability Statement
Acknowledgments
Conflicts of Interest
References
- Dua, T.; Tomlinson, M.; Tablante, E.; Britto, P.; Yousfzai, A.; Daelmans, B.; Darmstadt, G.L. Global research priorities to accelerate early child development in the sustainable development era. Lancet Glob. Health 2016, 4, e887–e889. [Google Scholar] [CrossRef]
- Early Childhood Peace Consortium. 2030 Sustainable Development Goals (SDGs). 2021. Available online: https://ecdpeace.org/work-content/2030-sustainable-development-goals (accessed on 22 March 2021).
- Britto, P.R.; Lye, S.J.; Proulx, K.; Yousafzai, A.K.; Matthews, S.G.; Vaivada, T.; Perez-Escamilla, R.; Rao, N.; Frcpch, P.; Fernald, P.C.H.; et al. Nurturing care: Promoting early childhood development. Lancet 2017, 389, 91–102. [Google Scholar] [CrossRef]
- Lu, M.C.; Halfon, N. Racial and ethnic disparities in birth outcomes: A life-course perspective. Matern. Child Health J. 2003, 7, 13–30. [Google Scholar] [CrossRef] [PubMed]
- Halfon, N.; Hochstein, M. Life course health development: An integrated framework for developing health, policy, and research. Milbank Q. 2002, 80, 433–479. [Google Scholar] [CrossRef] [PubMed]
- Braveman, P.; Barclay, C. Health disparities beginning in childhood: A life-course perspective. Pediatrics 2009, 124 (Suppl. S3), S163–S175. [Google Scholar] [CrossRef]
- Hasan, M.M.; Uddin, J.; Pulok, M.H.; Zaman, N.; Hajizadeh, M. Socioeconomic Inequalities in Child Malnutrition in Bangladesh: Do They Differ by Region? Int. J. Environ. Res. Public Health 2020, 17, 1079. [Google Scholar] [CrossRef]
- Heckman, J.J.; Masterov, D.V. The productivity argument for investing in young children. Appl. Econ. Perspect. Policy 2007, 29, 446–493. [Google Scholar]
- Doyle, O.; Harmon, C.P.; Heckman, J.J.; Tremblay, R.E. Investing in early human development: Timing and economic efficiency. Econ. Hum. Biol. 2009, 7, 1–6. [Google Scholar] [CrossRef] [PubMed]
- Heckman, J.J. The economics of inequality: The value of early childhood education. Am. Educ. 2011, 35, 31. [Google Scholar]
- Black, M.M.; Walker, S.P.; Fernald, L.C.; Andersen, C.T.; DiGirolamo, A.M.; Lu, C.; McCoy, D.C.; Fink, G.; Shawar, Y.R.; Shiffman, J.; et al. Advancing Early Childhood Development: From Science to Scale 1: Early childhood development coming of age: Science through the life course. Lancet 2017, 389, 77. [Google Scholar] [CrossRef]
- Strife, S.; Downey, L. Childhood development and access to nature: A new direction for environmental inequality research. Organ. Environ. 2009, 22, 99–122. [Google Scholar] [CrossRef]
- Mollborn, S.; Lawrence, E.; James-Hawkins, L.; Fomby, P. When do socioeconomic resources matter most in early childhood? Adv. Life Course Res. 2014, 20, 56–69. [Google Scholar] [CrossRef] [PubMed]
- Pillas, D.; Marmot, M.; Naicker, K.; Goldblatt, P.; Morrison, J.; Pikhart, H. Social inequalities in early childhood health and development: A European-wide systematic review. Pediatric Res. 2014, 76, 418–424. [Google Scholar] [CrossRef]
- Goldfeld, S.; Woolcock, G.; Katz, I.; Tanton, R.; Brinkman, S.; O’Connor, E.; Mathews, T.; Giles-Corti, B. Neighbourhood effects influencing early childhood development: Conceptual model and trial measurement methodologies from the Kids in Communities Study. Soc. Indic. Res. 2015, 120, 197–212. [Google Scholar] [CrossRef]
- Dyson, A.; Hertzman, C.; Roberts, H.; Tunstill, J.; Vaghri, Z. Childhood Development, Education and Health Inequalities. In Marmot Review Task Group Report 2009; The UCL Institute of Health Equity: London, UK, 2009. [Google Scholar]
- Walker, S.P.; Wachs, T.D.; Grantham-McGregor, S.; Black, M.M.; Nelson, C.A.; Huffman, S.L.; Chang, S.M.; Hamadani, J.D.; Lozoff, B.; Meeks Gardner, J.M.; et al. Inequality in early childhood: Risk and protective factors for early child development. Lancet 2011, 378, 1325–1338. [Google Scholar] [CrossRef]
- Bronfenbrenner, U. The Ecology of Human Development; Harvard University Press: Cambridge, MA, USA, 1979. [Google Scholar]
- Cooper, K.; Stewart, K. Does Money Affect Children’s Outcomes? Centre for Analysis of Social Exclusion, The London School of Economics and Political Science, London, UK, 2013. Available online: http://eprints.lse.ac.uk/54435/7/CASEreport80.pdf (accessed on 23 March 2021).
- Lu, C.; Cuartas, J.; Fink, G.; McCoy, D.; Liu, K.; Li, Z.; Daelmans, B.; Richter, L. Inequalities in early childhood care and development in low/middle-income countries: 2010–2018. BMJ Glob. Health 2020, 5. [Google Scholar] [CrossRef]
- Pierce, H. Nurturing Care for Early Childhood Development: Path to Improving Child Outcomes in Africa. Popul. Res. Policy Rev. 2020, 1–23. [Google Scholar] [CrossRef]
- McCoy, D.C.; Peet, E.D.; Ezzati, M.; Danaei, G.; Black, M.M.; Sudfeld, C.R.; Fawzi, W.; Fink, G. Early childhood developmental status in low-and middle-income countries: National, regional, and global prevalence estimates using predictive modeling. PLoS Med. 2016, 13, e1002034. [Google Scholar] [CrossRef] [PubMed]
- UNICEF Georgia. Multiple Indicator Cluster Survey (MICS). 2015. Available online: http://mics.unicef.org (accessed on 22 March 2021).
- Loizillon, A.; Petrowski, N.; Britto, P.; Cappa, C. Development of the Early Childhood Development Index in MICS Surveys. MICS Methodological Papers, No. 6. Data and Analytics Section, Division of Data. Research and Policy New York: UNICEF. 2017. Available online: http://mics.unicef.org/files?job=W1siZiIsIjIwMTcvMDkvMTUvMjEvMTUvNDMvMzc4L01JQ1NfTWV0aG9kb2xvZ2ljYWxfUGFwZXJfNi5wZGYiXV0&sha=85c096f0b2c5b0c8 (accessed on 22 March 2021).
- UNICEF. Countdown to 2030. Thrive Nurturing Care for Early Childhood Development. Country Profiles for Early Childhood Development. 2019. Available online: https://nurturing-care.org/wp-content/uploads/2019/09/Country_Profiles_2019.pdf (accessed on 28 November 2020).
- Schober, P.; Boer, C.; Schwarte, L.A. Correlation coefficients: Appropriate use and interpretation. Anesth. Analg. 2018, 126, 1763–1768. [Google Scholar] [CrossRef]
- Jonah, C.M.; Sambu, W.C.; May, J.D. A comparative analysis of socioeconomic inequities in stunting: A case of three middle-income African countries. Arch. Public Health 2018, 76, 77. [Google Scholar] [CrossRef]
- Gil, J.D.; Ewerling, F.; Ferreira, L.Z.; Barros, A.J. Early childhood suspected developmental delay in 63 low-and middle-income countries: Large within-and between-country inequalities documented using national health surveys. J. Glob. Health 2020, 10, 010427. [Google Scholar] [CrossRef]
- Hlasny, V. Evolution of opportunities for early childhood development in Arab countries. Int. J. Human Rights Healthc. 2017, 256–276. [Google Scholar] [CrossRef]
- Emerson, E.; Savage, A.; Llewellyn, G. Significant cognitive delay among 3-to 4-year old children in low-and middle-income countries: Prevalence estimates and potential impact of preventative interventions. Int. J. Epidemiol. 2018, 47, 1465–1474. [Google Scholar] [CrossRef] [PubMed]
- Heaton, T.B.; Crookston, B.; Pierce, H.; Amoateng, A.Y. Social inequality and children’s health in Africa: A cross sectional study. Int. J. Equity Health 2016, 15, 92. [Google Scholar] [CrossRef] [PubMed]
- Van den Heuvel, M.; Hopkins, J.; Biscaro, A.; Srikanthan, C.; Feller, A.; Bremberg, S.; Flapper, B.; Lee Ford-Jones, E.; Williams, R. A comparative analysis of early child health and development services and outcomes in countries with different redistributive policies. BMC Public Health 2013, 13, 1049. [Google Scholar] [CrossRef]
- Richter, L.M.; Cappa, C.; Issa, G.; Lu, C.; Petrowski, N.; Naicker, S.N.; Verkuijl, N. Data for action on early childhood development. Lancet 2020, 396, 1784–1786. [Google Scholar] [CrossRef]
- Rutstein, S.O. Factors associated with trends in infant and child mortality in developing countries during the 1990s. Bull. World Health Organ. 2000, 78, 1256–1270. [Google Scholar]
- Gage, A.J. Barriers to the utilization of maternal health care in rural Mali. Soc. Sci. Med. 2007, 65, 1666–1682. [Google Scholar] [CrossRef]
- You, D.; Jones, G.; Hill, K.; Wardlaw, T.; Chopra, M. Levels and trends in child mortality, 1990–2009. Lancet 2010, 376, 931–933. [Google Scholar] [CrossRef]
- Hanmer, L.; Lensink, R.; White, H. Infant and child mortality in developing countries: Analysing the data for robust determinants. J. Dev. Stud. 2003, 40, 101–118. [Google Scholar] [CrossRef]
- World Health Organization. Progress on Household Drinking Water, Sanitation and Hygiene 2000–2017: Special Focus on Inequalities; World Health Organization: Geneva, Switzerland, 2019. [Google Scholar]
- Lu, C.; Black, M.M.; Richter, L.M. Risk of poor development in young children in low-income and middle-income countries: An estimation and analysis at the global, regional, and country level. Lancet Glob. Health 2016, 4, e916–e922. [Google Scholar] [CrossRef]
- Richter, L.M.; Daelmans, B.; Lombardi, J.; Heymann, J.; Boo, F.L.; Behrman, J.R.; Lu, C.; Lucas, J.E.; Perez-Escamilla, R.; Dua, T.; et al. Investing in the foundation of sustainable development: Pathways to scale up for early childhood development. Lancet 2017, 389, 103–118. [Google Scholar] [CrossRef]
- Mani, A.; Mullainathan, S.; Shafir, E.; Zhao, J. Poverty impedes cognitive function. Science 2013, 341, 976–980. [Google Scholar] [CrossRef]
- Berger, L.M.; Paxson, C.; Waldfogel, J. Income and child development. Child. Youth Serv. Rev. 2009, 31, 978–989. [Google Scholar] [CrossRef]
- Allel, K.; Narea, M.; Undurraga, E.A. Centre-based care is a significant predictor of lower body mass index in early childhood: Longitudinal evidence from Chile. J. Glob. Health 2020, 10, 010419. [Google Scholar] [CrossRef]
- Narea, M.; Arriagada, V.; Allel, K. Center-Based Care in Toddlerhood and Child Cognitive Outcomes in Chile: The Moderating Role of Family Socio-Economic Status. Early Educ. Dev. 2020, 31, 218–233. [Google Scholar] [CrossRef]
- Baker-Henningham, H.; López Bóo, F. Early Childhood Stimulation Interventions in Developing Countries: A Comprehensive Literature Review. 2010. Available online: https://publications.iadb.org/publications/english/document/Early-Childhood-Stimulation-Interventions-in-Developing-Countries-A-Comprehensive-Literature-Review.pdf (accessed on 22 March 2021).
- Cunha, F.; Heckman, J.J.; Schennach, S.M. Estimating the technology of cognitive and noncognitive skill formation. Econometrica 2010, 78, 883–931. [Google Scholar]
- Dwyer-Lindgren, L.; Cork, M.A.; Sligar, A.; Steuben, K.M.; Wilson, K.F.; Provost, N.R.; Mayala, B.K.; VanderHeide, J.D.; Collison, M.L.; Hall, J.B.; et al. Mapping HIV prevalence in sub-Saharan Africa between 2000 and 2017. Nature 2019, 570, 189–193. [Google Scholar] [CrossRef] [PubMed]
- Zinyemba, T.P.; Pavlova, M.; Groot, W. Effects of HIV/AIDS on children’s educational attainment: A systematic literature review. J. Econ. Surv. 2020, 34, 35–84. [Google Scholar] [CrossRef]
- Graham, S.M.; Gibb, D.M. HIV disease and respiratory infection in children. Br. Med Bull. 2002, 61, 133–150. [Google Scholar] [CrossRef] [PubMed][Green Version]
- Gakidou, E.; Cowling, K.; Lozano, R.; Murray, C.J. Increased educational attainment and its effect on child mortality in 175 countries between 1970 and 2009: A systematic analysis. Lancet 2010, 376, 959–974. [Google Scholar] [CrossRef]
- Rajaratnam, J.K.; Marcus, J.R.; Flaxman, A.D.; Wang, H.; Levin-Rector, A.; Dwyer, L.; Costa, M.; Lopez, A.D.; Murray, J.L.C. Neonatal, post neonatal, childhood, and under-5 mortality for 187 countries, 1970–2010: A systematic analysis of progress towards Millennium Development Goal 4. Lancet 2010, 375, 1988–2008. [Google Scholar] [CrossRef]




| Variables | Description | Justification (Sign of the Expected Impact on Early Childhood Development; ECD) | Sources |
|---|---|---|---|
| Dependent variables | |||
| Early Childhood Development Index (ECDI) | Index ranging from 0 to 100 that includes 10 items (set of questionnaires) in 4 early developmental domains: physical, language/cognition, approaches to learning and social-emotional skills. The higher the index, the more developed the children are in these domains. | Population-based measures indicating childhood development in children aged 3–5 years. These measures are essential to monitor and analyse the impact of interventions, population and ecological characteristics on early childhood development for decision- and policymaking purposes. [+] | [24,25] (see Supplementary Materials, Table S2). |
| ECDI 3 to 4 (%) | Percentage of children aged 36–59 months who were developmentally on track in three of the four domains of ECDI: literacy–numeracy, physical, social–emotional and learning. | [24,25] (see Supplementary Materials, Table S2). | |
| Independent variables | |||
| I. Nurturing care and early learning | |||
| Attendance at Early Childhood Education (ECE) program | Percentage of children who attended an early childhood education program (pre-school). | Early childhood education programs aim to enhance and develop children’s critical skills (cognitive, socioemotional and motor). They have a protective impact against the future onset of disabilities and diseases and permit children to succeed in school. [+] | DHS 2012–2018, MICS 2010–2018, ICHS 2017 and Welfare Monitoring Survey 2015. |
| Early stimulation at home | Percentage of children with whom an adult has engaged in four or more activities related to reading books, telling stories, singing songs, going for a walk, playing games and spending time drawing or counting or naming with the child. | Children tend to learn more when they are interacting with others, especially with their parents and adults who teach them use different materials (and objects); therefore, children learn words, colors, shapes, numbers and general ideas. [+] | DHS 2012–2018, MICS 2010–2018, ICHS 2017 and Welfare Monitoring Survey 2015. |
| Children’s books at home (%) | Percentage of children who had three or more books at home. | Higher exposure to books and other written materials or narratives is essential to promote literacy and early language development in children. [+] | DHS 2012–2018, MICS 2010–2018, ICHS 2017 and Welfare Monitoring Survey 2015. |
| Children play games at home | Percentage of children aged 0–59 months who play with two or more of the following games at home: household objects or objects found outside (sticks, rocks, animals, shells, leaves, etc.), homemade toys or toys that came from a store. | Playing games is important for children’s cognitive expansion and exploration. When they play at home with their parents, they learn through the experience with those who orientate and teach them. [+] | DHS 2012–2018, MICS 2010–2018, ICHS 2017 and Welfare Monitoring Survey 2015. |
| II. Socioeconomic variables | |||
| Gender inequality | Percentage ranging from 0 to 1. The higher the value, the greater the inequality. | Gender discrimination and inequality cause people to have limited autonomy in their rights and integrity, and to suffer the most from mental and physical health illnesses. As a consequence, there is a limited capability of decision making which impacts negatively on children’s growth, overall health status and proper brain development. [−] | United Nations Human Development Reports 2019 (available at http://hdr.undp.org/en/content/table-5-gender-inequality-index-gii, accessed on the 22nd of March 2021). |
| Income group | Three-level variable divided into low-income, low middle-income and upper middle-income countries. Higher values indicate upper income groups. | Children living in families from low-income backgrounds are more disadvantaged in terms of development and well-being because of living in poorer environments and conditions (including lack of sanitation and water). This affects children’s cognitive and other essential skills, and it negatively alters their behaviour. [+] | World Bank Income Classification (available online at https://data.worldbank.org/country/XO, accessed on the 22nd of March 2021). |
| Political stability | Index varying between −3 and 1.45. Higher values indicate the more stable countries are. | Politically stable countries provide more secure and stable environments where children could experience appropriate growth and stimulation. This may also include early childhood policies and programs oriented to nurturing, protection and easily accessible and affordable childcare, as well as consistent follow-up throughout children’s early years which aims to control their health status. [+] | World Bank worldwide governance indicators 2018 (available online at https://databank.worldbank.org/source/worldwide-governance-indicators, accessed on the 22nd of March 2021). |
| Net migration rate per 1000 population | Continuous variable ranging between -24 and 22. Higher values indicate greater migration. | Even though migration may allow children to have opportunities and access to education and health services, it can pose challenges including discrimination, marginalization and barriers to accessing basic services. Moreover, high immigration enforcement levels may negatively impact children’s development in the short and long run, affecting their mental health and equitable development. [+ or −] | World Population Prospects: The 2019 Revision (available online at https://data.un.org/Data.aspx?d=PopDiv&f=variableID%3A85, accessed on the 22nd of March 2021). |
| III. Health and mortality-related variables | |||
| Under-5 stunting | Prevalence (%) of stunting in children under 5 years of age. | Stunting in children is linked to low nutrition, high probability of suffering from health illnesses, poor educational performance and cognition and several other effects appearing in late life, such as low adult earnings, excessive weight gain and high risks of having chronic diseases, among others. [−] | DHS 2012–2018, MICS 2010–2018, ICHS 2017 and Welfare Monitoring Survey 2015. |
| Low birthweight | Percentage of children with low birthweight. | Low birth at weight is a consequence of poor antenatal care which causes poor childhood development in the first years, including disabilities and developmental delays. [−] | UNICEF/WHO Low birthweight (LBW) estimates, 2019 Edition. |
| Pregnant woman receiving HIV treatment | Percentage of pregnant women receiving HIV treatment (%). | Pregnant women living with HIV who receive treatment are less likely to transmit the disease to their babies, safeguarding their health status. [−] | Global AIDS Monitoring and UNAIDS 2019 estimates. |
| Maternal mortality | Continuous variable measured as a rate per 100,000 live births. | Greater maternal mortality, especially when children are younger, increases the risk of suffering from a deplorable health status (including morbidities), and poor early childhood development. [−] | WHO, UNICEF, UNFPA, World Bank Group and UNPD (MMEIG)—September 2019. |
| Under-5 mortality | Continuous variable measured as a rate per 1000 live births. | Higher values of under-5 mortality indicate the country has made less investments in adequate nutrition and food quality, immunisation and safe water and sanitation which lead to preterm birth, or simply birth complications including asphyxia, trauma, diarrhoea and pneumonia, among other diseases. [−] | UN Inter-agency Group for Child Mortality Estimation (UN IGME) in 2019. |
| Region | Number of Countries |
|---|---|
| East Asia and Pacific | 9 |
| Europe and Central Asia | 11 |
| Latin America and Caribbean | 15 |
| Middle East and North Africa | 5 |
| South Asia | 4 |
| Sub-Saharan Africa | 24 |
| World Bank income group | Number of countries |
| Low income | 17 |
| Lower middle income | 25 |
| Upper middle income | 26 |
| Description | Mean | Median | SD | IQR |
|---|---|---|---|---|
| Dependent variables | ||||
| Early Childhood Development Index (ECDI) | 73.48 | 73.40 | 14.80 | 24.35 |
| % of children developmentally on track | 72.58 | 74.10 | 14.50 | 22.03 |
| Health related data | ||||
| Under-5 mortality rate per 1000 live births | 38.53 | 28.50 | 31.84 | 37.50 |
| Maternal mortality rate per 100,000 live births | 248.31 | 129.50 | 277.65 | 355.50 |
| % of children low birthweight | 11.33 | 11.09 | 4.73 | 6.89 |
| % of children under-five stunting | 21.46 | 20.14 | 13.20 | 23.17 |
| Treatment for HIV+ pregnant women (%) | 71.27 | 79.05 | 22.17 | 31.25 |
| Nurturing care and early education | ||||
| Early stimulation at home (%) | 65.13 | 67.35 | 22.38 | 41.70 |
| Children’s books in the home (%) | 23.49 | 10.90 | 25.51 | 43.05 |
| Children play games at home (%) | 54.30 | 55.90 | 13.94 | 18.40 |
| Attendance at early childhood education program (%) | 35.84 | 30.49 | 24.76 | 40.75 |
| Socioeconomic variables | ||||
| Political Stability Index 2018 | −0.40 | −0.33 | 0.81 | 0.78 |
| Gender inequality | 44.96 | 46.14 | 14.66 | 21.38 |
| Income category | 1.13 | 1.00 | 0.79 | 1.50 |
| Net migration rate (per 1000 population) | −0.90 | −0.52 | 3.93 | 2.27 |
| Auxiliary variables | ||||
| GDP pp 2018 in USD | 3962.75 | 3147.02 | 3447.41 | 4838.55 |
| Human Development Index 2018 | 64.03 | 66.85 | 12.24 | 21.10 |
| Population 2019 in millions | 2.5e7 | 9.6e6 | 4.8e7 | 1.9e7 |
| Independent Variables | Model 1 | Model 2 | ||||
|---|---|---|---|---|---|---|
| ECDI Index | ECDI 3 out of 4 Domains | |||||
| β | 95% CI | p-Value | β | 95% CI | p-Value | |
| Under-5 stunting | 0.01 | −0.23, 0.25 | 0.91 | −0.01 | −0.26, 0.23 | 0.93 |
| Low birthweight | −0.43 * | −0.93, 0.06 | 0.08 | −0.19 | −0.67, 0.29 | 0.42 |
| Pregnant woman receiving HIV treatment | −0.16 *** | −0.25, −0.07 | <0.001 | −0.14 *** | −0.24, −0.05 | <0.001 |
| Gender inequality | 0.06 | −0.22, 0.33 | 0.69 | 0.05 | −0.24, 0.34 | 0.73 |
| Income group (REF: low-income country) | ||||||
| Lower middle-income country | 0.89 | −4.29, 6.07 | 0.73 | 2.61 | −3.13, 8.34 | 0.37 |
| Upper middle-income country | 7.17 ** | 0.35, 13.99 | 0.04 | 8.33 ** | 1.45, 15.21 | 0.02 |
| Political stability | 1.29 | −1.02, 3.61 | 0.27 | 0.54 | −1.76, 2.84 | 0.64 |
| Migration rate | −0.05 | −0.39, 0.30 | 0.79 | −0.08 | −0.46, 0.31 | 0.69 |
| Maternal mortality | −0.02 *** | −0.03, −0.01 | 0.01 | −0.02 *** | −0.03,−0.00 | 0.01 |
| Under-5 mortality | −1.42 *** | −2.25, −0.59 | <0.001 | −1.60 *** | −2.47, −0.74 | <0.001 |
| Nurturing care and early learning | ||||||
| Attendance at ECE program | 0.12 ** | 0.03, 0.22 | 0.01 | 0.11 ** | 0.03, 0.20 | 0.01 |
| Early stimulation at home | −0.13 | −0.30, 0.03 | 0.11 | −0.11 | −0.28, 0.06 | 0.19 |
| Children’s books at home | 0.14 ** | 0.00, 0.27 | 0.04 | 0.09 | −0.06, 0.24 | 0.23 |
| Children play games at home | −0.10 | −0.25, 0.05 | 0.18 | −0.11 | −0.27, 0.06 | 0.20 |
| Constant | 112.43 *** | 91.14, 133.71 | <0.001 | 109.55 *** | 86.58, 132.53 | <0.001 |
| R2 | 86% | 85% | ||||
| F-test (p-value) | 29.15 (p < 0.001) | 22.13 (p < 0.001) | ||||
| AIC | 456.02 | 458.66 | ||||
| VIF | 3.50 | 3.58 | ||||
| Breusch–Pagan before robust SE | 6.00 (p = 0.0143) | 8.19 (p = 0.0042) | ||||
| Heteroscedasticity | Chi2 = 68, p-value = 0.44 | Chi2 = 68, p-value = 0.44 | ||||
| Skewness | Chi2 = 10, p-value = 0.59 | Chi2 = 11, p-value = 0.54 | ||||
| Kurtosis | Chi2 = 0.9, p-value = 0.64 | Chi2 = 0.29, p-value = 0.59 | ||||
Publisher’s Note: MDPI stays neutral with regard to jurisdictional claims in published maps and institutional affiliations. |
© 2021 by the authors. Licensee MDPI, Basel, Switzerland. This article is an open access article distributed under the terms and conditions of the Creative Commons Attribution (CC BY) license (http://creativecommons.org/licenses/by/4.0/).
Share and Cite
Allel, K.; Abou Jaoude, G.; Poupakis, S.; Batura, N.; Skordis, J.; Haghparast-Bidgoli, H. Exploring the Associations between Early Childhood Development Outcomes and Ecological Country-Level Factors across Low- and Middle-Income Countries. Int. J. Environ. Res. Public Health 2021, 18, 3340. https://doi.org/10.3390/ijerph18073340
Allel K, Abou Jaoude G, Poupakis S, Batura N, Skordis J, Haghparast-Bidgoli H. Exploring the Associations between Early Childhood Development Outcomes and Ecological Country-Level Factors across Low- and Middle-Income Countries. International Journal of Environmental Research and Public Health. 2021; 18(7):3340. https://doi.org/10.3390/ijerph18073340
Chicago/Turabian StyleAllel, Kasim, Gerard Abou Jaoude, Stavros Poupakis, Neha Batura, Jolene Skordis, and Hassan Haghparast-Bidgoli. 2021. "Exploring the Associations between Early Childhood Development Outcomes and Ecological Country-Level Factors across Low- and Middle-Income Countries" International Journal of Environmental Research and Public Health 18, no. 7: 3340. https://doi.org/10.3390/ijerph18073340
APA StyleAllel, K., Abou Jaoude, G., Poupakis, S., Batura, N., Skordis, J., & Haghparast-Bidgoli, H. (2021). Exploring the Associations between Early Childhood Development Outcomes and Ecological Country-Level Factors across Low- and Middle-Income Countries. International Journal of Environmental Research and Public Health, 18(7), 3340. https://doi.org/10.3390/ijerph18073340

