Facile Use of Silver Nanoparticles-Loaded Alumina/Silica in Nanofluid Formulations for Enhanced Catalytic Performance toward 4-Nitrophenol Reduction
Abstract
1. Introduction
2. Materials and Methods
2.1. Preparation of Al2O3 and SiO2 NFs
2.2. Modification of Al2O3 and SiO2 NFs with Ag NPs for Catalytic Application
2.3. Characterization
3. Results and Discussion
3.1. Al2O3/SiO2 NFs: Characteristics, Stability and Properties
3.1.1. Characteristics and Stability of NFs
Characteristics of NFs
Stability of NFs
3.1.2. Properties of NFs
Transport Properties
- Viscosity
- Activation Energy
- Thermal Conductivity
- Density
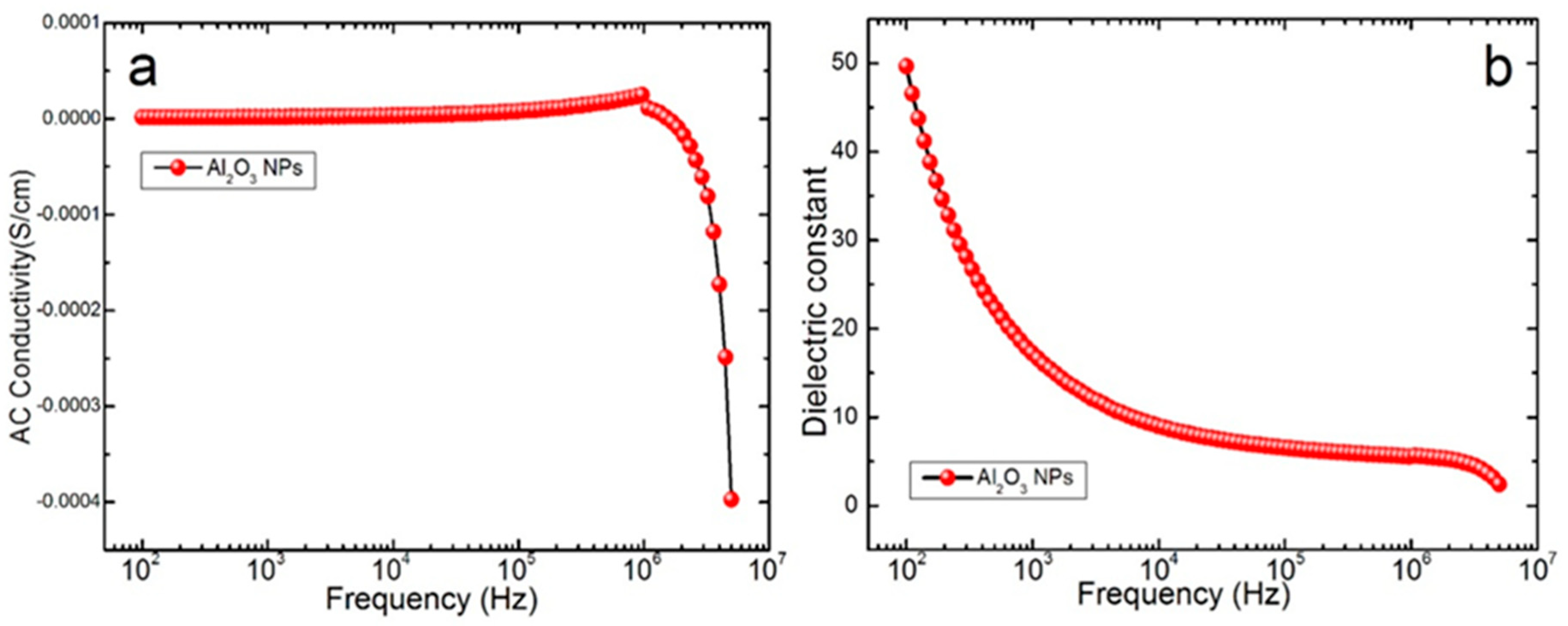
Electrical Properties
- Influence of AC Conductivity and Dielectric Constant
- Influence of Electrical Conductivity and pH of NFs
3.1.3. Physical Properties
Ultrasonic Velocity
Refractive Index
3.2. Catalytic 4-Nitrophenol Reduction by Al2O3@Ag/SiO2@Ag NFs
4. Conclusions
Author Contributions
Funding
Institutional Review Board Statement
Informed Consent Statement
Data Availability Statement
Conflicts of Interest
Abbreviations
| Al2O3 | Aluminum oxide |
| SiO2 | Silicon dioxide |
| Ag | Silver |
| NPs | Nanoparticles |
| NFs | Nanofluids |
| Al2O3@Ag | Silver-loaded aluminium oxide |
| SiO2@Ag | Silver-loaded silicon dioxide |
| NaBH4 | Sodium borohydride |
| 4-NP | 4-Nitrophenol |
Appendix A
Materials Characterization






References
- Gopalan, A.-I.; Lee, J.-C.; Saianand, G.; Lee, K.-P.; Sonar, P.; Dharmarajan, R.; Hou, Y.-L.; Ann, K.-Y.; Kannan, V.; Kim, W.-J. Recent Progress in the Abatement of Hazardous Pollutants Using Photocatalytic TiO2-Based Building Materials. Nanomaterials 2020, 10, 1854. [Google Scholar] [CrossRef]
- Ali, I. New Generation Adsorbents for Water Treatment. Chem. Rev. 2012, 112, 5073–5091. [Google Scholar] [CrossRef] [PubMed]
- Lee, J.-C.; Gopalan, A.-I.; Saianand, G.; Lee, K.-P.; Kim, W.-J. Manganese and Graphene Included Titanium Dioxide Composite Nanowires: Fabrication, Characterization and Enhanced Photocatalytic Activities. Nanomaterials 2020, 10, 456. [Google Scholar] [CrossRef] [PubMed]
- Lee, J.-C.; Gopalan, A.-I.; Sai-Anand, G.; Lee, K.-P.; Kim, W.-J. Preparation of Visible Light Photocatalytic Graphene Embedded Rutile Titanium (IV) Oxide Composite Nanowires and Enhanced NOx Removal. Catalysts 2019, 9, 170. [Google Scholar] [CrossRef]
- Choi, S.U.S.; Eastman, J.A. Enhancing Thermal Conductivity of Fluids with Nanoparticles; Argonne National Lab: Lemont, IL, USA, 1995. [Google Scholar]
- Ali, N.; Teixeira, J.A.; Addali, A. A Review on Nanofluids: Fabrication, Stability, and Thermophysical Properties. J. Nanomater. 2018, 2018, 1–33. [Google Scholar] [CrossRef]
- Xuan, Y.; Li, Q. Heat transfer enhancement of nanofluids. Int. J. Heat Fluid Flow 2000, 21, 58–64. [Google Scholar] [CrossRef]
- Nagy, E.; Feczkó, T.; Koroknai, B. Enhancement of oxygen mass transfer rate in the presence of nanosized particles. Chem. Eng. Sci. 2007, 62, 7391–7398. [Google Scholar] [CrossRef]
- Murshed, S.; Leong, K.; Yang, C. Investigations of thermal conductivity and viscosity of nanofluids. Int. J. Therm. Sci. 2008, 47, 560–568. [Google Scholar] [CrossRef]
- Zarnegar, Z.; Shokrani, Z.; Safari, J. Asparagine functionalized Al2O3 nanoparticle as a superior heterogeneous organocatalyst in the synthesis of 2-aminothiazoles. J. Mol. Struct. 2019, 1185, 143–152. [Google Scholar] [CrossRef]
- Ilyas, S.U.; Pendyala, R.; Narahari, M.; Susin, L. Stability, rheology and thermal analysis of functionalized alumina- thermal oil-based nanofluids for advanced cooling systems. Energy Convers. Manag. 2017, 142, 215–229. [Google Scholar] [CrossRef]
- Krishnakumar, T.S.; Viswanath, S.P.; Varghese, S.M.; Joes, P.M. Experimental studies on thermal and rheological properties of Al2O3–ethylene glycol nanofluid. Int. J. Refrig. 2018, 89, 122–130. [Google Scholar] [CrossRef]
- Farhana, K.; Kadirgama, K.; Rahman, M.M.; Noor, M.M.; Ramasamy, D.; Samykano, M.; Najafi, G.; Sidik, N.A.C.; Tarlochan, F. Significance of alumina in nanofluid technology. J. Therm. Anal. Calorim. 2019, 138, 1107–1126. [Google Scholar] [CrossRef]
- Mohamed, A.B.; Hdidi, W.; Tlili, I. Evaporation of Water/Alumina Nanofluid Film by Mixed Convection Inside Heated Vertical Channel. Appl. Sci. 2020, 10, 2380. [Google Scholar] [CrossRef]
- Krishnan, S.R.; Namboothiri, V.N.N. EMD analysis on the impact of temperature, volume fraction and molecular weight on the thermal conductivity of water-based nanofluids. J. Therm. Anal. Calorim. 2020, 1–13. [Google Scholar] [CrossRef]
- Menni, Y.; Chamkha, A.J.; Massarotti, N.; Ameur, H.; Kaid, N.; Bensafi, M. Hydrodynamic and thermal analysis of water, ethylene glycol and water-ethylene glycol as base fluids dispersed by aluminum oxide nano-sized solid particles. Int. J. Numer. Methods Heat Fluid Flow 2020, 30, 4349–4386. [Google Scholar] [CrossRef]
- Nikoofar, K.; Shahedi, Y.; Chenarboo, F.J. Nano Alumina Catalytic Applications in Organic Transformations. Mini-Reviews Org. Chem. 2019, 16, 102–110. [Google Scholar] [CrossRef]
- Wang, C.; Liu, N.; Zhang, C.; Liu, X.; Li, X.; Zhao, X. Ruthenium/cobalt binary oxides supported on hollow alumina microspheres as highly efficient catalyst for vinyl chloride oxidation. Appl. Surf. Sci. 2019, 497, 143776. [Google Scholar] [CrossRef]
- Wang, X.; Keane, M.A. Gas phase selective hydrogenation of phenylacetylene to styrene over Au/Al2O3. J. Chem. Technol. Biotechnol. 2019, 94, 3772–3779. [Google Scholar] [CrossRef]
- Xing, Y.; Liu, Z.; Suib, S.L. Inorganic Synthesis for the Stabilization of Nanoparticles: Application to Cu/Al2O3Nanocomposite Materials. Chem. Mater. 2007, 19, 4820–4826. [Google Scholar] [CrossRef]
- Yan, S.; Wang, F.; Shi, Z.; Tian, R. Heat transfer property of SiO2 /water nanofluid flow inside solar collector vacuum tubes. Appl. Therm. Eng. 2017, 118, 385–391. [Google Scholar] [CrossRef]
- Li, Y.; Dai, C.; Zhou, H.; Wang, X.; Lv, W.; Zhao, M. Investigation of Spontaneous Imbibition by Using a Surfactant-Free Active Silica Water-Based Nanofluid for Enhanced Oil Recovery. Energy Fuels 2018, 32, 287–293. [Google Scholar] [CrossRef]
- Dai, C.; Wang, X.; Li, Y.; Lv, W.; Zou, C.; Gao, M.; Zhao, M. Spontaneous Imbibition Investigation of Self-Dispersing Silica Nanofluids for Enhanced Oil Recovery in Low-Permeability Cores. Energy Fuels 2017, 31, 2663–2668. [Google Scholar] [CrossRef]
- Yan, S.; Zhang, H.; Wang, F.; Ma, R.; Wu, Y.; Tian, R. Analysis of thermophysical characteristic of SiO2/water nanofluid and heat transfer enhancement with field synergy principle. J. Renew. Sustain. Energy 2018, 10, 063704. [Google Scholar] [CrossRef]
- Turanov, A.N.; Tolmachev, Y.V. Heat- and mass-transport in aqueous silica nanofluids. Heat Mass Transf. 2009, 45, 1583–1588. [Google Scholar] [CrossRef]
- Sepehrian, H.; Yavari, R.; Waqif-Husain, S.; Ghannadi-Maragheh, M. Separation of Radionuclides on Mesoporous Zirconium Silicate: A Novel Sorbent. Sep. Sci. Technol. 2008, 43, 3269–3285. [Google Scholar] [CrossRef]
- Bowers, J.; Cao, H.; Qiao, G.; Li, Q.; Zhang, G.; Mura, E.; Ding, Y. Flow and heat transfer behaviour of nanofluids in microchannels. Prog. Nat. Sci. 2018, 28, 225–234. [Google Scholar] [CrossRef]
- Ashrafmansouri, S.-S.; Willersinn, S.; Esfahany, M.N.; Bart, H.-J. Influence of silica nanoparticles on mass transfer in a membrane-based micro-contactor. RSC Adv. 2016, 6, 19089–19097. [Google Scholar] [CrossRef]
- Ashrafmansouri, S.-S.; Esfahany, M.N. Mass transfer in nanofluids: A review. Int. J. Therm. Sci. 2014, 82, 84–99. [Google Scholar] [CrossRef]
- Ramprasad, T.; Khanolkar, R.; Suresh, A.K. Mass-Transfer Rate Enhancement in Nanofluids: Packed Column Studies and a Design Basis. Ind. Eng. Chem. Res. 2018, 58, 7670–7680. [Google Scholar] [CrossRef]
- Rashimi, M.; Radhakrishnan, P.; Karthikeyan, V.; Roy, V.A.L.; Gopalan, A.-I.; Saianand, G.; Kim, W.-J.; Kannan, V. A Comparative Evaluation of Physicochemical Properties and Photocatalytic Efficiencies of Cerium Oxide and Copper Oxide Nanofluids. Catal. 2019, 10, 34. [Google Scholar] [CrossRef]
- Vedrine, J.C. Heterogeneous Catalysis on Metal Oxides. Catalysts 2017, 7, 341. [Google Scholar] [CrossRef]
- Jeelani, P.G.; Mulay, P.; Venkat, R.; Ramalingam, C. Multifaceted Application of Silica Nanoparticles. A Review. Silicon 2020, 12, 1337–1354. [Google Scholar] [CrossRef]
- Saianand, G.; Gopalan, A.; Lee, J.; Sathish, C.; Gopalakrishnan, K.; Unni, G.E.; Shanbhag, D.; Dasireddy, V.D.B.C.; Yi, J.; Xi, S.; et al. Mixed Copper/Copper-Oxide Anchored Mesoporous Fullerene Nanohybrids as Superior Electrocatalysts toward Oxygen Reduction Reaction. Small 2020, 16, e1903937. [Google Scholar] [CrossRef] [PubMed]
- Benzigar, M.R.; Joseph, S.; Saianand, G.; Gopalan, A.-I.; Sarkar, S.; Srinivasan, S.; Park, D.-H.; Kim, S.-H.; Talapaneni, S.N.; Ramadass, K.; et al. Highly ordered iron oxide-mesoporous fullerene nanocomposites for oxygen reduction reaction and supercapacitor applications. Microporous Mesoporous Mater. 2019, 285, 21–31. [Google Scholar] [CrossRef]
- Sridara, T.; Upan, J.; Saianand, G.; Tuantranont, A.; Karuwan, C.; Jakmunee, J. Non-Enzymatic Amperometric Glucose Sensor Based on Carbon Nanodots and Copper Oxide Nanocomposites Electrode. Sensors 2020, 20, 808. [Google Scholar] [CrossRef] [PubMed]
- Afkhami, A.; Saber-Tehrani, M.; Bagheri, H. Simultaneous removal of heavy-metal ions in wastewater samples using nano-alumina modified with 2,4-dinitrophenylhydrazine. J. Hazard. Mater. 2010, 181, 836–844. [Google Scholar] [CrossRef]
- Najafi, M.; Yousefi, Y.; Rafati, A. Synthesis, characterization and adsorption studies of several heavy metal ions on amino-functionalized silica nano hollow sphere and silica gel. Sep. Purif. Technol. 2012, 85, 193–205. [Google Scholar] [CrossRef]
- Verho, O.; Gao, F.; Johnston, E.V.; Wan, W.; Nagendiran, A.; Zheng, H.; Backvall, J.-E.; Zou, X. Mesoporous silica nanoparticles applied as a support for Pd and Au nanocatalysts in cycloisomerization reactions. APL Mater. 2014, 2, 113316. [Google Scholar] [CrossRef]
- Jiang, Z.-J.; Liu, C.-Y.; Sun, L.-W. Catalytic Properties of Silver Nanoparticles Supported on Silica Spheres. J. Phys. Chem. B 2005, 109, 1730–1735. [Google Scholar] [CrossRef]
- Song, Y.; Jiang, H.; Wang, B.; Kong, Y.; Chen, J. Silver-Incorporated Mussel-Inspired Polydopamine Coatings on Mesoporous Silica as an Efficient Nanocatalyst and Antimicrobial Agent. ACS Appl. Mater. Interfaces 2018, 10, 1792–1801. [Google Scholar] [CrossRef]
- Muthuchamy, N.; Gopalan, A.; Lee, K.-P. A new facile strategy for higher loading of silver nanoparticles onto silica for efficient catalytic reduction of 4-nitrophenol. RSC Adv. 2015, 5, 76170–76181. [Google Scholar] [CrossRef]
- Choudhary, R.; Khurana, D.; Kumar, A.; Subudhi, S. Stability analysis of Al2O3/water nanofluids. J. Exp. Nanosci. 2017, 12, 140–151. [Google Scholar] [CrossRef]
- McLoughlin, N.; Lee, S.L.; Hähner, G. Temperature dependence of viscosity and density of viscous liquids determined from thermal noise spectra of uncalibrated atomic force microscope cantilevers. Lab Chip 2007, 7, 1057–1061. [Google Scholar] [CrossRef] [PubMed]
- Vysniauskas, A.; Qurashi, M.; Gallop, N.; Balaz, M.; Anderson, H.L.; Kuimova, M.K. Unravelling the effect of temperature on viscosity-sensitive fluorescent molecular rotors. Chem. Sci. 2015, 6, 5773–5778. [Google Scholar] [CrossRef] [PubMed]
- Prasher, R.; Song, D.; Wang, J.; E Phelan, P. Measurements of nanofluid viscosity and its implications for thermal applications. Appl. Phys. Lett. 2006, 89, 133108. [Google Scholar] [CrossRef]
- Salahuddin, T.; Siddique, N.; Arshad, M.; Tlili, I. Internal energy change and activation energy effects on Casson fluid. AIP Adv. 2020, 10, 025009. [Google Scholar] [CrossRef]
- Nguyen, C.; Desgranges, F.; Galanis, N.; Roy, G.; Maré, T.; Boucher, S.; Mintsa, H.A. Viscosity data for Al2O3–water nanofluid—hysteresis: Is heat transfer enhancement using nanofluids reliable? Int. J. Therm. Sci. 2008, 47, 103–111. [Google Scholar] [CrossRef]
- Hamid, K.A.; Azmi, W.; Mamat, R.; Usri, N.; Najafi, G. Investigation of Al2O3 Nanofluid Viscosity for Different Water/EG Mixture Based. Energy Procedia 2015, 79, 354–359. [Google Scholar] [CrossRef]
- Patil, P.; Kulkarni, P. Effects of chemical reaction on free convective flow of a polar fluid through a porous medium in the presence of internal heat generation. Int. J. Therm. Sci. 2008, 47, 1043–1054. [Google Scholar] [CrossRef]
- Hayat, T.; Abbas, Z.; Sajid, M. Heat and mass transfer analysis on the flow of a second grade fluid in the presence of chemical reaction. Phys. Lett. A 2008, 372, 2400–2408. [Google Scholar] [CrossRef]
- Shafique, Z.; Mustafa, M.; Mushtaq, A. Boundary layer flow of Maxwell fluid in rotating frame with binary chemical reaction and activation energy. Results Phys. 2016, 6, 627–633. [Google Scholar] [CrossRef]
- Patra, A.; Nayak, M.K.; Misra, A. Effects of Non-uniform Suction, Heat Generation/Absorption and Chemical Reaction with Activation Energy on MHD Falkner-SkanS Flow of Tangent Hyperbolic Nanofluid over a Stretching/Shrinking Edge. J. Appl. Comput. Mech. 2020, 6, 640–652. [Google Scholar]
- Zyła, G.; Fal, J.; Estelle, P. Thermophysical and dielectric profiles of ethylene glycol-based titanium nitride (TiN–EG) nanofluids with various size of particles. Int. J. Heat Mass Transf. 2017, 113, 1189–1199. [Google Scholar] [CrossRef]
- Xie, H.; Yu, W.; Chen, W. MgO nanofluids: Higher thermal conductivity and lower viscosity among ethylene glycol-based nanofluids containing oxide nanoparticles. J. Exp. Nanosci. 2010, 5, 463–472. [Google Scholar] [CrossRef]
- Kiruba, R.; Gopalakrishnan, M.; Mahalingam, T.; Jeevaraj, A.K.S. The Effect of Temperature on the Ultrasonic Properties of Carbon Nanotubes Incorporated in Zinc Oxide Nanofluids. J. Nanofluids 2013, 2, 50–54. [Google Scholar] [CrossRef]
- Żyła, G.; Fal, J. Viscosity, thermal and electrical conductivity of silicon dioxide–ethylene glycol transparent nanofluids: An experimental studies. Thermochim. Acta 2017, 650, 106–113. [Google Scholar] [CrossRef]
- Jahanshahi, M.; Hosseinizadeh, S.; Alipanah, M.; Dehghani, A.; Vakilinejad, G. Numerical simulation of free convection based on experimental measured conductivity in a square cavity using Water/SiO2 nanofluid. Int. Commun. Heat Mass Transf. 2010, 37, 687–694. [Google Scholar] [CrossRef]
- Ananda, S.R.; Murugendrappa, M.V. Structural and Electrical Characterization of Polypyrrole and Cobalt Aluminum Oxide Nano Composites. Int. J. Mater. Metall. Eng. 2016, 10, 1334–1339. [Google Scholar]
- Shen, L.; Wang, H.; Dong, M.; Ma, Z. Solvothermal synthesis and electrical conductivity model for the zinc oxide-insulated oil nanofluid. Phys. Lett. A 2012, 376, 1053–1057. [Google Scholar] [CrossRef]
- Minea, A.A. A Review on Electrical Conductivity of Nanoparticle-Enhanced Fluids. Nanomaterials 2019, 9, 1592. [Google Scholar] [CrossRef] [PubMed]
- Fal, J.; Wanic, M.; Budzik, G.; Oleksy, M.; Zyła, G. Electrical Conductivity and Dielectric Properties of Ethylene Glycol-Based Nanofluids Containing Silicon Oxide–Lignin Hybrid Particles. Nanomaterials 2019, 9, 1008. [Google Scholar] [CrossRef] [PubMed]
- Van Der Pol, E.; Coumans, F.A.W.; Sturk, A.; Nieuwland, R.; Van Leeuwen, T.G. Refractive Index Determination of Nanoparticles in Suspension Using Nanoparticle Tracking Analysis. Nano Lett. 2014, 14, 6195–6201. [Google Scholar] [CrossRef] [PubMed]
- Liu, S.; Lai, C.; Li, B.; Zhang, C.; Zhang, M.; Huang, D.; Qin, L.; Yi, H.; Liu, X.; Huang, F.; et al. Role of radical and non-radical pathway in activating persulfate for degradation of p-nitrophenol by sulfur-doped ordered mesoporous carbon. Chem. Eng. J. 2020, 384, 123304. [Google Scholar] [CrossRef]
- Dong, F.; Guo, W.; Park, S.-K.; Ha, C.-S. Controlled synthesis of novel cyanopropyl polysilsesquioxane hollow spheres loaded with highly dispersed Au nanoparticles for catalytic applications. Chem. Commun. 2012, 48, 1108–1110. [Google Scholar] [CrossRef] [PubMed]
- Dou, L.; Wang, Y.; Li, Y.; Zhang, H. Novel core–shell-like nanocomposites xCu@Cu2O/MgAlO-rGO through an in situ self-reduction strategy for highly efficient reduction of 4-nitrophenol. Dalton Trans. 2017, 46, 15836–15847. [Google Scholar] [CrossRef]
- Zhang, J.; Chen, G.; Guay, D.; Chaker, M.; Ma, D. Highly active PtAu alloy nanoparticle catalysts for the reduction of 4-nitrophenol. Nanoscale 2014, 6, 2125–2130. [Google Scholar] [CrossRef]
- Dou, L.; Zhang, H. Facile assembly of nanosheet array-like CuMgAl-layered double hydroxide/rGO nanohybrids for highly efficient reduction of 4-nitrophenol. J. Mater. Chem. 2016, 4, 18990–19002. [Google Scholar] [CrossRef]
- Liu, L.; Chen, R.; Liu, W.; Wu, J.; Gao, D. Catalytic reduction of 4-nitrophenol over Ni-Pd nanodimers supported on nitrogen-doped reduced graphene oxide. J. Hazard. Mater. 2016, 320, 96–104. [Google Scholar] [CrossRef]
- Ye, W.; Yu, J.; Zhou, Y.; Gao, D.; Wang, D.; Wang, C.; Xue, D. Green synthesis of Pt–Au dendrimer-like nanoparticles supported on polydopamine-functionalized graphene and their high performance toward 4- nitrophenol reduction. Appl. Catal. B Environ. 2016, 181, 371–378. [Google Scholar] [CrossRef]
- Xia, J.; He, G.; Zhang, L.; Sun, X.; Wang, X. Hydrogenation of nitrophenols catalyzed by carbon black-supported nickel nanoparticles under mild conditions. Appl. Catal. B Environ. 2016, 180, 408–415. [Google Scholar] [CrossRef]
- Yan, Z.; Fu, L.; Zuo, X.; Yang, H. Green assembly of stable and uniform silver nanoparticles on 2D silica nanosheets for catalytic reduction of 4-nitrophenol. Appl. Catal. B Environ. 2018, 226, 23–30. [Google Scholar] [CrossRef]
- Morales, M.V.; Rocha, M.; Freire, C.; Asedegbega-Nieto, E.; Gallegos-Suarez, E.; Rodríguez-Ramos, I.; Guerrero-Ruiz, A. Development of highly efficient Cu versus Pd catalysts supported on graphitic carbon materials for the reduction of 4-nitrophenol to 4-aminophenol at room temperature. Carbon 2017, 111, 150–161. [Google Scholar] [CrossRef]
- Qin, L.; Zeng, Z.; Zeng, G.; Lai, C.; Duan, A.; Xiao, R.; Huang, D.; Fu, Y.; Yi, H.; Li, B.; et al. Cooperative catalytic performance of bimetallic Ni-Au nanocatalyst for highly efficient hydrogenation of nitroaromatics and corresponding mechanism insight. Appl. Catal. B Environ. 2019, 259, 118035. [Google Scholar] [CrossRef]






| Concentration (%) | Relative Viscosity (cP) | |||||||
|---|---|---|---|---|---|---|---|---|
| 303 K | 308 K | 313 K | 318 K | |||||
| Al2O3 | SiO2 | Al2O3 | SiO2 | Al2O3 | SiO2 | Al2O3 | SiO2 | |
| 0.2 | 1.02 | 1.02 | 1.01 | 1.01 | 1.00 | 1.00 | 0.99 | 0.99 |
| 0.4 | 1.03 | 1.03 | 1.02 | 1.02 | 1.01 | 1.01 | 1.00 | 1.00 |
| 0.6 | 1.04 | 1.04 | 1.03 | 1.03 | 1.01 | 1.02 | 1.00 | 1.01 |
| 0.8 | 1.05 | 1.05 | 1.04 | 1.04 | 1.03 | 1.03 | 1.01 | 1.02 |
| 1.0 | 1.06 | 1.06 | 1.05 | 1.05 | 1.04 | 1.04 | 1.02 | 1.03 |
| 1.2 | 1.07 | 1.07 | 1.06 | 1.06 | 1.05 | 1.05 | 1.04 | 1.04 |
| 1.4 | 1.09 | 1.08 | 1.08 | 1.07 | 1.07 | 1.06 | 1.05 | 1.05 |
| 1.6 | 1.10 | 1.09 | 1.09 | 1.08 | 1.08 | 1.07 | 1.06 | 1.06 |
| 1.8 | 1.12 | 1.11 | 1.11 | 1.10 | 1.09 | 1.09 | 1.07 | 1.07 |
| 2.0 | 1.13 | 1.12 | 1.12 | 1.11 | 1.10 | 1.10 | 1.09 | 1.08 |
| Frequency (Hz) | Impedance (Ω) | Angle (°) | Resistance (Ω) | Capacitance (F) | D-Factor (D) | Reactance (Ω) |
|---|---|---|---|---|---|---|
| ×106 | - | ×106 | ×10−12 | - | ×103 | |
| 100.00 | 6.61 | 11.18 | 6.74 | 46.30 | 5.1090 | −3457.30 |
| 992.54 | 4.49 | 26.96 | 5.04 | 16.10 | 1.9740 | −10,001.00 |
| 5704.02 | 2.21 | 49.00 | 3.39 | 9.51 | 0.8640 | −2940.90 |
| 9851.50 | 1.60 | 56.25 | 2.89 | 8.41 | 0.6620 | −1924.20 |
| 10,989.20 | 1.49 | 57.67 | 2.80 | 8.23 | 0.6270 | −1762.70 |
| 1.08 × 106 | 0.03 | 88.02 | 0.85 | 5.25 | 0.0320 | −28.02 |
| 2.09 × 106 | 0.02 | 91.60 | −0.54 | 4.84 | −0.0300 | −15.78 |
| 3.23 × 106 | 0.01 | 95.88 | −0.12 | 4.16 | −0.1060 | −11.86 |
| 4.48 × 106 | 0.01 | 101.10 | −0.03 | 2.92 | −0.3210 | −12.18 |
| 5.00 × 106 | 0.01 | 119.95 | −0.02 | 2.23 | −0.6039 | −14.35 |
| Weight Fraction of NPs in the NF | 298 K (mS) | 303 K (mS) | 308 K (mS) | 313 K (mS) | pH | |||||
|---|---|---|---|---|---|---|---|---|---|---|
| Al2O3 | SiO2 | Al2O3 | SiO2 | Al2O3 | SiO2 | Al2O3 | SiO2 | Al2O3 | SiO2 | |
| 0.2 | 4.35 | 2.68 | 3.90 | 2.51 | 3.63 | 2.37 | 3.30 | 1.95 | 7.16 | 6.50 |
| 0.4 | 4.42 | 2.79 | 4.19 | 2.62 | 3.82 | 2.45 | 3.49 | 2.06 | 7.34 | 6.55 |
| 0.6 | 4.48 | 2.84 | 4.34 | 2.75 | 3.96 | 2.56 | 3.45 | 2.19 | 7.52 | 6.62 |
| 0.8 | 5.14 | 2.96 | 4.46 | 2.86 | 3.76 | 2.71 | 3.52 | 2.32 | 7.66 | 6.65 |
| 1.0 | 5.32 | 3.04 | 4.58 | 2.92 | 4.17 | 2.80 | 3.85 | 2.53 | 7.85 | 6.70 |
| 1.2 | 5.49 | 3.12 | 5.11 | 3.07 | 4.72 | 2.96 | 4.23 | 2.75 | 7.99 | 6.77 |
| 1.4 | 5.66 | 3.22 | 5.34 | 3.14 | 4.89 | 3.08 | 4.41 | 2.88 | 8.17 | 6.83 |
| 1.6 | 5.78 | 3.37 | 5.48 | 3.27 | 5.14 | 3.15 | 4.72 | 2.98 | 8.36 | 6.90 |
| 1.8 | 5.89 | 3.44 | 5.63 | 3.32 | 5.27 | 3.24 | 4.99 | 3.09 | 8.45 | 6.95 |
| 2.0 | 6.06 | 3.56 | 5.78 | 3.48 | 5.49 | 3.36 | 5.13 | 3.17 | 8.62 | 7.03 |
| Weight Fraction (%) | Velocity (m/s) | Density (kg/m3) | Ref. Index | |||
|---|---|---|---|---|---|---|
| Al2O3 | SiO2 | Al2O3 | SiO2 | Al2O3 | SiO2 | |
| 0.2 | 1485.0 | 1480.0 | 999.35 | 1003.20 | 1.335 | 1.337 |
| 0.4 | 1487.0 | 1482.0 | 1000.94 | 1003.70 | 1.337 | 1.338 |
| 0.6 | 1489.0 | 1484.0 | 1001.31 | 1004.40 | 1.338 | 1.339 |
| 0.8 | 1490.0 | 1485.5 | 1002.24 | 1005.50 | 1.339 | 1.340 |
| 1.0 | 1493.0 | 1487.0 | 1004.21 | 1006.50 | 1.340 | 1.341 |
| 1.2 | 1494.5 | 1489.0 | 1005.42 | 1007.60 | 1.341 | 1.342 |
| 1.4 | 1497.5 | 1491.0 | 1006.17 | 1008.60 | 1.342 | 1.343 |
| 1.6 | 1500.0 | 1493.0 | 1006.64 | 1009.40 | 1.343 | 1.344 |
| 1.8 | 1502.0 | 1494.5 | 1007.38 | 1010.10 | 1.344 | 1.345 |
| 2.0 | 1505.0 | 1496.5 | 1008.41 | 1011.80 | 1.345 | 1.346 |
| Nanofluids | kapp (×10−3 s−1) |
|---|---|
| Ag Al2O3-1% | 35.5 |
| Ag Al2O3-2% | 2.8 (lower time region, <60 min) |
| 92.9 (Higher time region, >60 min) | |
| Ag SiO2-1% | 6.00 |
| Ag SiO2-2% | 29.3 |
Publisher’s Note: MDPI stays neutral with regard to jurisdictional claims in published maps and institutional affiliations. |
© 2021 by the authors. Licensee MDPI, Basel, Switzerland. This article is an open access article distributed under the terms and conditions of the Creative Commons Attribution (CC BY) license (http://creativecommons.org/licenses/by/4.0/).
Share and Cite
Mannu, R.; Karthikeyan, V.; Veerappa, M.M.; Roy, V.A.L.; Gopalan, A.-I.; Saianand, G.; Sonar, P.; Xu, B.; Lee, K.-P.; Kim, W.-J.; et al. Facile Use of Silver Nanoparticles-Loaded Alumina/Silica in Nanofluid Formulations for Enhanced Catalytic Performance toward 4-Nitrophenol Reduction. Int. J. Environ. Res. Public Health 2021, 18, 2994. https://doi.org/10.3390/ijerph18062994
Mannu R, Karthikeyan V, Veerappa MM, Roy VAL, Gopalan A-I, Saianand G, Sonar P, Xu B, Lee K-P, Kim W-J, et al. Facile Use of Silver Nanoparticles-Loaded Alumina/Silica in Nanofluid Formulations for Enhanced Catalytic Performance toward 4-Nitrophenol Reduction. International Journal of Environmental Research and Public Health. 2021; 18(6):2994. https://doi.org/10.3390/ijerph18062994
Chicago/Turabian StyleMannu, Rashmi, Vaithinathan Karthikeyan, Murugendrappa Malalkere Veerappa, Vellaisamy A. L. Roy, Anantha-Iyengar Gopalan, Gopalan Saianand, Prashant Sonar, Binrui Xu, Kwang-Pill Lee, Wha-Jung Kim, and et al. 2021. "Facile Use of Silver Nanoparticles-Loaded Alumina/Silica in Nanofluid Formulations for Enhanced Catalytic Performance toward 4-Nitrophenol Reduction" International Journal of Environmental Research and Public Health 18, no. 6: 2994. https://doi.org/10.3390/ijerph18062994
APA StyleMannu, R., Karthikeyan, V., Veerappa, M. M., Roy, V. A. L., Gopalan, A.-I., Saianand, G., Sonar, P., Xu, B., Lee, K.-P., Kim, W.-J., Lee, D.-E., & Kannan, V. (2021). Facile Use of Silver Nanoparticles-Loaded Alumina/Silica in Nanofluid Formulations for Enhanced Catalytic Performance toward 4-Nitrophenol Reduction. International Journal of Environmental Research and Public Health, 18(6), 2994. https://doi.org/10.3390/ijerph18062994

