Long-Term Interannual and Seasonal Links between the Nutrient Regime, Sestonic Chlorophyll and Dominant Bluegreen Algae under the Varying Intensity of Monsoon Precipitation in a Drinking Water Reservoir
Abstract
1. Introduction
2. Materials and Methods
2.1. Study Area
2.2. Study Sites and Longitudinal Zonation and Land Use Patterns
2.3. Water Quality Sampling and Rainfall Data
2.4. Assessment of Algal Blooms and Species
2.5. Trophic State Index and Light Attenuation
2.6. Water Pollution Index
2.7. Data Analysis
3. Results and Discussion
3.1. Inter-Annual Variations in Salient Water Chemistry Factors
3.2. Spatial Fluctuations in Water Quality
3.3. Flood and Drought Impacts of Nutrient Regime, Organic Pollutants, CHL-a, and TCB
3.4. Predominant Relations between Water Chemistry and Hydrology
3.5. Long-Term Trend Analysis
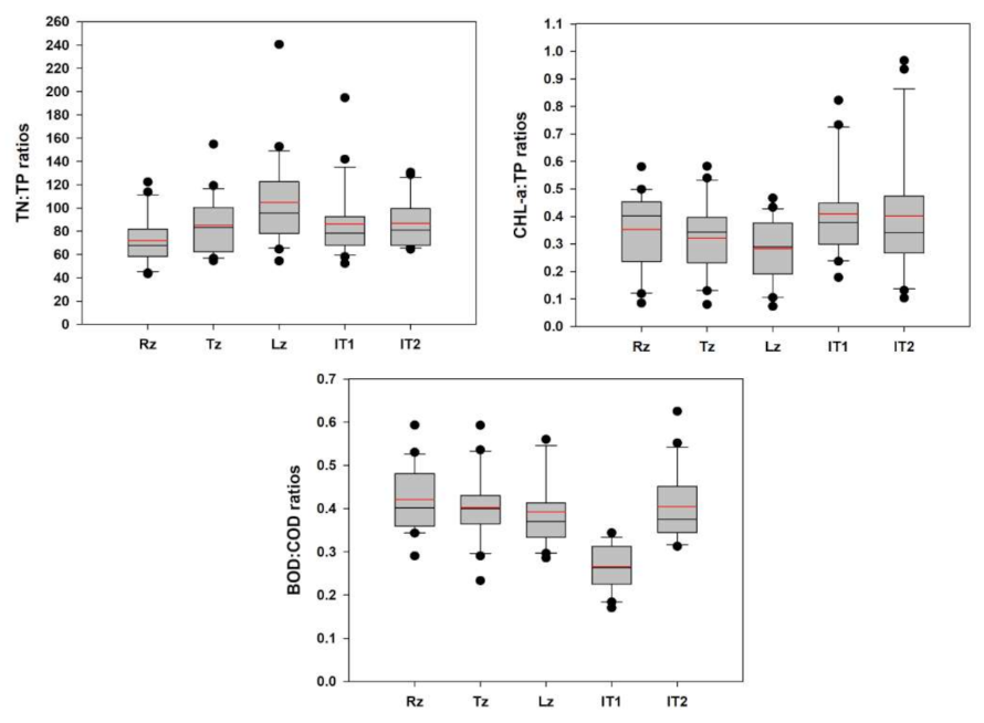
3.6. Empirical Relationship between Nutrients, Algal CHL-a, Ambient Ratios, and Clarity
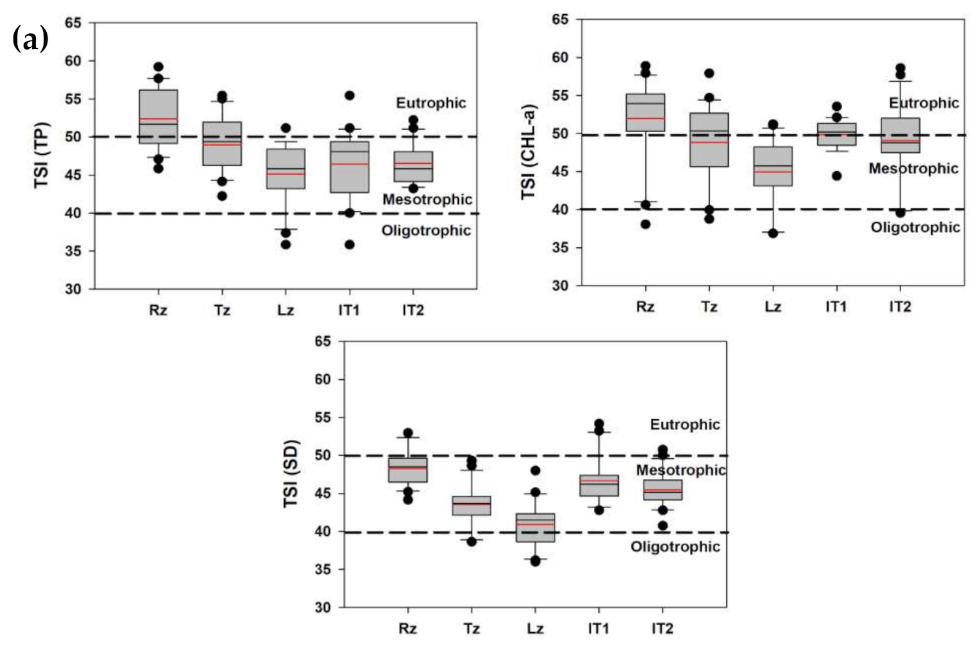
3.7. Trophic Status Evaluation and Blue-Green Algae Blooms
3.8. Principal Component Analysis
3.9. Overall Water Pollution Status
4. Conclusions
Author Contributions
Funding
Institutional Review Board Statement
Informed Consent Statement
Data Availability Statement
Acknowledgments
Conflicts of Interest
Appendix A

References
- Mahdiyan, O.; Filazzola, A.; Molot, L.A.; Gray, D.; Sharma, S. Drivers of water quality changes within the Laurentian Great Lakes region over the past 40 years. Limnol. Oceanogr. 2021, 66, 237–254. [Google Scholar] [CrossRef]
- Atique, U.; An, K.-G. Reservoir Water Quality Assessment Based on Chemical Parameters and the Chlorophyll Dynamics in Relation to Nutrient Regime. Pol. J. Environ. Stud. 2019, 28, 1043–1061. [Google Scholar] [CrossRef]
- Znachor, P.; Nedoma, J.; Hejzlar, J.; Seďa, J.; Kopáček, J.; Boukal, D.; Mrkvička, T. Multiple long-term trends and trend reversals dominate environmental conditions in a man-made freshwater reservoir. Sci. Total Environ. 2018, 624, 24–33. [Google Scholar] [CrossRef] [PubMed]
- Michalak, A.M. Study role of climate change in extreme threats to water quality. Nature 2016, 535, 349–350. [Google Scholar] [CrossRef] [PubMed]
- Lee, S.W.; Hwang, S.J.; Lee, S.B.; Hwang, H.S.; Sung, H.C. Landscape ecological approach to the relationships of land use patterns in watersheds to water quality characteristics. Landsc. Urban Plan. 2009, 92, 80–89. [Google Scholar] [CrossRef]
- Mamun, M.; Kwon, S.; Kim, J.E.; An, K.G. Evaluation of algal chlorophyll and nutrient relations and the N:P ratios along with trophic status and light regime in 60 Korea reservoirs. Sci. Total Environ. 2020, 741, 140451. [Google Scholar] [CrossRef]
- Atique, U.; An, K.-G. Landscape heterogeneity impacts water chemistry, nutrient regime, organic matter and chlorophyll dynamics in agricultural reservoirs. Ecol. Indic. 2020, 110, 105813. [Google Scholar] [CrossRef]
- Hara, J.; Atique, U.; An, K.G. Multiyear links between water chemistry, algal chlorophyll, drought-flood regime, and nutrient enrichment in a morphologically complex reservoir. Int. J. Environ. Res. Public Health 2020, 17, 3139. [Google Scholar] [CrossRef]
- Kopacek, J.; Stuchlık, E.; Straskrabova, V.; Psenakova, P. Factors governing nutrient status of mountain lakes in the Tatra Mountains. Freshw. Biol. 2000, 43, 369–383. [Google Scholar] [CrossRef]
- Hayes, N.M.; Deemer, B.R.; Corman, J.R.; Razavi, N.R.; Strock, K.E. Key differences between lakes and reservoirs modify climate signals: A case for a new conceptual model. Limnol. Oceanogr. 2017, 2, 47–62. [Google Scholar] [CrossRef]
- Li, Z.; Ma, J.; Guo, J.; Paerl, H.W.; Brookes, J.D.; Xiao, Y.; Lunhui, L. Water quality trends in the Three Gorges Reservoir region before and after impoundment (1992–2016). Ecohydrol. Hydrobiol. 2018, 19, 317–327. [Google Scholar] [CrossRef]
- Mamun, M.; Kim, J.Y.; An, K.-G. Trophic Responses of the Asian Reservoir to Long-Term Seasonal and Interannual Dynamic Monsoon. Water 2020, 12, 2066. [Google Scholar] [CrossRef]
- Hutchins, M.G.; Abesser, C.; Prudhomme, C.; Elliott, J.A.; Bloomfield, J.P.; Mansour, M.M.; Hii, O.E. Combined impacts of future land-use and climate stressors on water resources and quality in groundwater and surface waterbodies of the upper Thames river basin, UK. Sci. Total Environ. 2018, 631–632, 962–986. [Google Scholar] [CrossRef]
- Atique, U.; An, K.-G. Stream health evaluation using a combined approach of multi-metric chemical pollution and biological integrity models. Water 2018, 10, 661. [Google Scholar] [CrossRef]
- Haque, M.A.; Jewel, M.A.S.; Atique, U.; Paul, A.K.; Iqbal, S. Seasonal and spatial variation of flagellate communities in a tropical river. Limnologica 2020, 85, 125824. [Google Scholar] [CrossRef]
- Logan, B.; Taffs, K. Relationship between diatoms and water quality (TN, TP) in sub-tropical east Australian estuaries. J. Paleolimnol. 2013, 50, 123. [Google Scholar] [CrossRef]
- Trochine, C.; Guerrieri, M.; Liboriussen, L.; Willems, P.; Lauridsen, T.L.; Søndergaard, M.; Jeppesen, E. Factors controlling the stable isotope composition and C: N ratio of seston and periphyton in shallow lake mesocosms with contrasting nutrient loadings and temperatures. Freshw. Biol. 2017, 62, 1596–1613. [Google Scholar] [CrossRef]
- da Rocha Junior, C.A.N.; da Costa, M.R.A.; Menezes, R.F.; Attayde, J.L.; Becker, V. Water volume reduction increases eutrophication risk in tropical semi-arid reservoirs. Acta Limnol. Bras. 2018, 30, e106. [Google Scholar] [CrossRef]
- Jeppesen, E.; Brucet, S.; Naselli-Flores, L.; Papastergiadou, E.; Stefanidis, K.; Nõges, T.; Nõges, P.; Attayde, J.L.; Zohary, T.; Coppens, J.; et al. Ecological impacts of global warming and water abstraction on lakes and reservoirs due to changes in water level and related changes in salinity. Hydrobiologia 2015, 750, 201–227. [Google Scholar] [CrossRef]
- Brasil, J.; Attayde, J.L.; Vasconcelos, F.R.; Dantas, D.D.F.; Huszar, V.L.M. Drought induced water-level reduction favors cyanobacteria blooms in tropical shallow lakes. Hydrobiologia 2016, 770, 145–164. [Google Scholar] [CrossRef]
- Schindler, D.W. The dilemma of controlling cultural eutrophication of lakes. Proc. R. Soc. B Biol. Sci. 2012, 279, 4322. [Google Scholar] [CrossRef] [PubMed]
- Markad, A.T.; Landge, A.T.; Nayak, B.B.; Inamdar, A.B.; Mishra, A.K. Trophic state modeling for shallow freshwater reservoir: A new approach. Environ. Monit. Assess. 2019, 191, 586. [Google Scholar] [CrossRef] [PubMed]
- Hughes, R.M.; Dunham, S.; Maas-Hebner, K.G.; Yeakley, J.A.; Schreck, C.; Harte, M.; Schaeffer, J. A review of urban water body challenges and approaches: (1) Rehabilitation and remediation. Fisheries 2014, 39, 18–29. [Google Scholar] [CrossRef]
- Atique, U.; Kwon, S.; An, K.-G. Linking weir imprints with riverine water chemistry, microhabitat alterations, fish assemblages, chlorophyll-nutrient dynamics, and ecological health assessments. Ecol. Indic. 2020, 117, 106652. [Google Scholar] [CrossRef]
- Le Moal, M.; Gascuel-Odoux, C.; Ménesguen, A.; Souchon, Y.; Étrillard, C.; Levain, A.; Pinay, G. Eutrophication: A new wine in an old bottle? Sci. Total Environ. 2019, 651, 1–11. [Google Scholar] [CrossRef]
- Haberman, J.; Haldna, M. Indices of zooplankton community as valuable tools in assessing the trophic state and water quality of eutrophic lakes: Long term study of Lake Võrtsjärv. J. Limnol. 2014, 73, 61–71. [Google Scholar] [CrossRef]
- Havens, K.E. Lake Eutrophication and Plankton Food Webs. In Eutrophication: Causes, Consequences and Control; Ansari, A.A., Gill, S.S., Eds.; Springer: Dordrecht, The Netherlands, 2014; pp. 73–80. [Google Scholar] [CrossRef]
- Paerl, H.W.; Otten, T.G. Harmful cyanobacterial blooms: Causes, consequences, and controls. Microb. Ecol. 2013, 65, 995–1010. [Google Scholar] [CrossRef] [PubMed]
- Jackson, M.C.; Loewen, C.J.; Vinebrooke, R.D.; Chimimba, C.T. Net effects of multiple stressors in freshwater ecosystems: A meta-analysis. Glob. Chang. Biol. 2016, 22, 180–189. [Google Scholar] [CrossRef]
- Kim, J.Y.; Atique, U.; An, K.-G. Relative Abundance and Invasion Dynamics of Alien Fish Species Linked to Chemical Conditions, Ecosystem Health, Native Fish Assesmblage, and Stream Order. Water 2021, 13, 158. [Google Scholar] [CrossRef]
- Kim, J.-J.; Atique, U.; An, K.-G. Long-Term Ecological Health Assessment of a Restored Urban Stream Based on Chemical Water Quality, Physical Habitat Conditions and Biological Integrity. Water 2019, 11, 114. [Google Scholar] [CrossRef]
- Smith, V.H.; Schindler, D.W. Eutrophication science: Where do we go from here? Trends Ecol. Evol. 2009, 24, 201–207. [Google Scholar] [CrossRef] [PubMed]
- Atique, U.; Byungjin, L.; Johee, Y.; An, K.-G. Biological Health Assessments of Lotic Waters by Biotic Integrity Indices and their Relations to Water Chemistry. Water 2019, 11, 436. [Google Scholar] [CrossRef]
- An, K.G.; Park, S.S. Indirect influence of the summer monsoon on chlorophyll-total phosphorus models in reservoirs: A case study. Ecol. Model. 2002, 152, 191–203. [Google Scholar] [CrossRef]
- An, K.-G.; Park, S.S.; Ahn, K.Y.; Urchin, C.G. Dynamics of nitrogen, phosphorus, algal biomass, and suspended solids in an artificial lentic ecosystem and significant implications of regional hydrology on trophic status. J. Environ. Biol. 2003, 24, 29–38. [Google Scholar] [PubMed]
- An, K.G.; Kim, D.S. Response of reservoir water quality to nutrient inputs from streams and in-lake fishfarms. Water. Air Soil Pollut. 2003, 149, 27–49. [Google Scholar] [CrossRef]
- Atique, U.; Iqbal, S.; Khan, N.; Qazi, B.; Javeed, A.; Anjum, K.M.; Haider, M.S.; Khan, T.A.; Mahmood, S.; Sherzada, S. Multivariate Assessment of Water Chemistry and Metals in a River Impacted by Tanning Industry. Fresenius Environ. Bull. 2020, 29, 3013–3025. [Google Scholar]
- MOE. Standard Methods for the Examination of Water Quality Contamination, 7th ed.; Ministry of Environemnt (MOE): Gwacheon, Korea, 2000; p. 435. (In Korean)
- Crumpton, W.G.; Isenhart, T.M.; Mitchell, P.D. Nitrate and organic N analyses with second-derivative spectroscopy. Limnol. Oceanogr. 1992, 37, 907–913. [Google Scholar] [CrossRef]
- Eaton, A.; Franson, M.A. Standard Methods for the Examination of Water and Wastewater; American Public Health Association: Washington, DC, USA, 2005.
- APHA. Standard Methods for the Examination of Water and Wastewater, 21st ed.; American Public Health Association: New York, NY, USA, 2005. [Google Scholar]
- Chung, J. Illustration of the Freshwater Algae of Korea; Academy Publishing Co.: Seoul, Korea, 1993. [Google Scholar]
- NIER. Changes of Water Environment and Phytoplankton Community Structures in the Nakdong River; National Institute of Environmental Research: Incheon, Korea, 2013. [Google Scholar]
- Carlson, R.E. A trophic state index for lakes. Limnol. Oceanogr. 1977, 22, 361–369. [Google Scholar] [CrossRef]
- Carlson, R.E.; Simpson, J. A Coordinator’s Guide to Volunteer Lake Monitoring Methods; North American Lake Management Society: Madison, WI, USA, 1996. [Google Scholar]
- Carlson, R.E.; Havens, K.E. Simple graphical methods for the interpretation of relationships between trophic state variables. Lake Reserv. Manag. 2005, 21, 107–118. [Google Scholar] [CrossRef]
- Walker, W.W. An empirical analysis of phosphorus, nitrogen, and turbidity effects on reservoir chlorophyll-A levels. Can. Water Resour. J. 1982, 7, 88–107. [Google Scholar] [CrossRef][Green Version]
- Dodds, W.K.; Jones, J.R.; Welch, E.B. Suggested classification of stream trophic state: Distributions of temperate stream types by chlorophyll, total nitrogen and phosphorus. Water Res. 1998, 32, 1455–1462. [Google Scholar] [CrossRef]
- Lee, H.J.; An, K.-G. The development and application of multi-metric water quality assessment model for reservoir managements in Korea. Korean J. Limnol. 2009, 42, 242–252. [Google Scholar]
- Singh, A.; Maichle, R. ProUCL V. 5.1.Statistical Software for Environmental Applications for Data Sets with and without Nondetect Observations; USEPA: Washington, DC, USA, 2016.
- Deitch, M.J.; Dolman, B. Restoring Summer Base Flow under a Decentralized Water Management Regime: Constraints, Opportunities, and Outcomes in Mediterranean-Climate California. Water 2017, 9, 29. [Google Scholar] [CrossRef]
- Sood, A.; Singh, K.D.; Pandey, P.; Sharma, S. Assessment of bacterial indicators and physicochemical parameters to investigate pollution status of Gangetic river system of Uttarakhand (India). Ecol. Indic. 2008, 8, 709–717. [Google Scholar] [CrossRef]
- Hoyer, M.V.; Donze, J.L.; Schulz, E.J.; Willis, D.J.; Canfield, D.E. Total coliform and escherichia coli counts in 99 florida lakes with relations to some common limnological factors. Lake Reserv. Manag. 2006, 22, 141–150. [Google Scholar] [CrossRef]
- Bhagwat, T.; Klein, I.; Huth, J.; Leinenkugel, P. Volumetric Analysis of Reservoirs in Drought-Prone Areas Using Remote Sensing Products. Remote Sens. 2019, 11, 1974. [Google Scholar] [CrossRef]
- Han, Z.; Huang, S.; Huang, Q.; Leng, G.; Wang, H.; He, L.; Fang, W.; Li, P. Assessing GRACE-based terrestrial water storage anomalies dynamics at multi-timescales and their correlations with teleconnection factors in Yunnan Province, China. J. Hydrol. 2019, 574, 836–850. [Google Scholar] [CrossRef]
- Ren, K.; Huang, S.; Huang, Q.; Wang, H.; Leng, G.; Fang, W.; Li, P. Assessing the reliability, resilience and vulnerability of water supply system under multiple uncertain sources. J. Clean. Prod. 2020, 252, 119806. [Google Scholar] [CrossRef]
- Yue, S.; Pilon, P.; Cavadias, G. Power of the Mann ± Kendall and Spearman s rho tests for detecting monotonic trends in hydrological series. J. Hydrol. 2002, 259, 254. [Google Scholar] [CrossRef]
- Jones, J.R.; Knowlton, M.F. Chlorophyll response to nutrients and non-algal seston in missouri reservoirs and oxbow lakes. Lake Reserv. Manag. 2005, 21, 361–371. [Google Scholar] [CrossRef]
- Palácio, S.M.; Espinoza-Quiñones, F.R.E.; de Pauli, A.R.; Queiroz, C.B.; Fabris, S.C.; Fagundes-Klen, M.R.; Veit, M.; Piana, P.A. Assessment of anthropogenic impacts on the water quality of Marreco River, Brazil, based on principal component analysis and toxicological assays. Water Air Soil Pollut. 2016, 227, 307. [Google Scholar] [CrossRef]
- Muangthong, S.; Shrestha, S. Assessment of surface water quality using multivariate statistical techniques: Case study of the Nampong River and Songkhram River, Thailand. Environ. Monit. Assess. 2015, 187, 548. [Google Scholar] [CrossRef] [PubMed]
- Kanownik, W.; Policht-Latawiec, A. Changeability of oxygen and biogenic indices in waters flowing through areas under various anthropopressures. Pol. J. Environ. Stud. 2015, 24, 1633. [Google Scholar] [CrossRef]
- Taranu, Z.E.; Gregory-Eaves, I.; Steele, R.J.; Beaulieu, M.; Legendre, P. Predicting microcystin concentrations in lakes and reservoirs at a continental scale: A new framework for modelling an important health risk factor. Glob. Ecol. Biogeogr. 2017, 26, 625–637. [Google Scholar] [CrossRef]













| Hydrological and Dimensional Attributes | Characteristics |
|---|---|
| Construction period | 1975–1980 |
| Dam type | Concrete gravity and embankment dam |
| Height of dam | 72 m |
| Length of dam | 495 m |
| Mean depth | 21.2 m |
| Maximum depth | 69 m |
| Average water residence time | 180 days |
| Surface area | 6.8 × 107 m2 |
| Surface water volume | 14.3 × 108 m3 |
| Average annual rainfall | 1400 mm |
| Flood water level | 80 m |
| Full reservoir level | 76.5 |
| Total capacity | 14.9 × 108 m3 |
| Active capacity | 79 × 107 m3 |
| Hydroelectric power generation | 90 MW |
| Parameters | S Value | p Value | Slope | Intercept | Trend | Trend Sign |
|---|---|---|---|---|---|---|
| pH | 7 | 0.42 | −0.0007 | 7.77 | No trend | 0 |
| WT | −67 | 0.02 | −0.1 | 15.49 | Decreasing trend | - |
| EC | 80 | 0.00 | 2.11 | 125.27 | Increasing Trend | + |
| DO | −95 | 0.00 | −0.05 | 9.98 | Decreasing trend | - |
| TSS | −103 | 0.00 | −0.07 | 3.86 | Decreasing trend | - |
| BOD | 70 | 0.00 | 0.01 | 1.02 | Increasing trend | + |
| COD | 29 | 0.19 | 0.002 | 3.11 | No trend | 0 |
| TP | −54 | 0.05 | −0.2 | 25.34 | No trend | 0 |
| TN | 78 | 0.01 | 0.02 | 1.49 | Increasing trend | + |
| TN:TP | 96 | 0.01 | 1.82 | 64.46 | Increasing trend | + |
| TDP | 1 | 0.5 | 0.0001 | 0.011 | No trend | 0 |
| PO4-P | −51 | 0.06 | −0.0001 | 0.006 | No trend | 0 |
| NO3-N | −98 | 0.00 | −0.01 | 1.31 | Decreasing trend | - |
| NH4-N | −90 | 0.00 | −0.0018 | 0.06 | Decreasing trend | - |
| TDN | 130 | 0.00 | 0.03 | 1.19 | Increasing trend | + |
| CHL | −140 | 0.00 | −0.31 | 11.35 | Decreasing trend | - |
| CHL:TP | −66 | 0.02 | −0.01 | 0.46 | Decreasing trend | - |
| SD | 82 | 0.00 | 0.16 | 1.58 | Increasing trend | + |
| TCB | 71 | 0.01 | 12.83 | 55.63 | Increasing trend | + |
| Variables | Components | ||
|---|---|---|---|
| VF1 | VF2 | VF3 | |
| pH | −0.15 | −0.09 | 0.70 |
| WT | −0.46 | 0.41 | 0.58 |
| DO | −0.36 | 0.54 | −0.45 |
| EC | 0.36 | −0.39 | 0.18 |
| TSS | −0.01 | 0.77 | 0.20 |
| BOD | 0.89 | −0.03 | 0.22 |
| COD | 0.37 | 0.34 | 0.71 |
| TN | 0.93 | −0.13 | −0.14 |
| TP | 0.39 | 0.84 | −0.23 |
| CHL | −0.55 | 0.71 | 0.30 |
| TCB | −0.05 | −0.06 | 0.61 |
| SD | 0.60 | 0.08 | −0.16 |
| Eigenvalues | 3.12 | 2.54 | 2.19 |
| % of Variance | 26.04 | 21.20 | 18.32 |
| Cumulative % | 26.04 | 47.24 | 65.56 |
| Category | Model Metrics | Scoring Criteria | Reservoir Zone | Intake Tower | |||||
|---|---|---|---|---|---|---|---|---|---|
| 5 | 3 | 1 | Rz | Tz | Lz | IT1 | IT2 | ||
| Nutrient Regime | M1: TN (mg/L) | <1.5 | 1.5–3.0 | >3 | 1.98 (3) | 1.85 (3) | 1.72 (3) | 1.55 (3) | 1.63 (3) |
| M2: TP(µg/L) | <30 | 30–100 | >100 | 29.5 (5) | 23.04 (5) | 17.71 (5) | 19.61 (5) | 19.19 (5) | |
| M3:TN:TP ratio | >50 | 20–50 | <20 | 72.13 (5) | 85.17 (5) | 104.81 (5) | 86.16 (5) | 86.84 (5) | |
| Organic matter | M4: BOD (mg/L) | <1 | 1–2.5 | >2.5 | 1.30 (3) | 1.18 (3) | 1.08 (3) | 0.99 (3) | 1.20 (3) |
| Ionic content and solids | M5: TSS (mg/L) | <4 | 4–10 | >10 | 4.11 (3) | 2.64 (5) | 1.90 (5) | 2.96 (5) | 2.23 (5) |
| M6: EC (µS/cm) | <180 | 180–300 | >300 | 155.66 (5) | 151.80 (5) | 147.61 (5) | 133.66 (5) | 146.80 (5) | |
| Primary production indicator | M7: CHL (µg/L) | <3 | 3 to 10 | >10 | 10.18 (1) | 7.24 (3) | 4.72 (3) | 7.28 (3) | 7.4 (3) |
| Final Scores | 25 | 29 | 29 | 29 | 29 | ||||
| Water Quality Criteria | Good | Good | Good | Good | Good | ||||
Publisher’s Note: MDPI stays neutral with regard to jurisdictional claims in published maps and institutional affiliations. |
© 2021 by the authors. Licensee MDPI, Basel, Switzerland. This article is an open access article distributed under the terms and conditions of the Creative Commons Attribution (CC BY) license (http://creativecommons.org/licenses/by/4.0/).
Share and Cite
Kim, J.Y.; Atique, U.; Mamun, M.; An, K.-G. Long-Term Interannual and Seasonal Links between the Nutrient Regime, Sestonic Chlorophyll and Dominant Bluegreen Algae under the Varying Intensity of Monsoon Precipitation in a Drinking Water Reservoir. Int. J. Environ. Res. Public Health 2021, 18, 2871. https://doi.org/10.3390/ijerph18062871
Kim JY, Atique U, Mamun M, An K-G. Long-Term Interannual and Seasonal Links between the Nutrient Regime, Sestonic Chlorophyll and Dominant Bluegreen Algae under the Varying Intensity of Monsoon Precipitation in a Drinking Water Reservoir. International Journal of Environmental Research and Public Health. 2021; 18(6):2871. https://doi.org/10.3390/ijerph18062871
Chicago/Turabian StyleKim, Ji Yoon, Usman Atique, Md Mamun, and Kwang-Guk An. 2021. "Long-Term Interannual and Seasonal Links between the Nutrient Regime, Sestonic Chlorophyll and Dominant Bluegreen Algae under the Varying Intensity of Monsoon Precipitation in a Drinking Water Reservoir" International Journal of Environmental Research and Public Health 18, no. 6: 2871. https://doi.org/10.3390/ijerph18062871
APA StyleKim, J. Y., Atique, U., Mamun, M., & An, K.-G. (2021). Long-Term Interannual and Seasonal Links between the Nutrient Regime, Sestonic Chlorophyll and Dominant Bluegreen Algae under the Varying Intensity of Monsoon Precipitation in a Drinking Water Reservoir. International Journal of Environmental Research and Public Health, 18(6), 2871. https://doi.org/10.3390/ijerph18062871

