Prediction of Lumbar Disc Bulging and Protrusion by Anthropometric Factors and Disc Morphology
Abstract
1. Introduction
2. Materials and Methods
2.1. Subjects Recruitment
2.2. Data Collection
2.2.1. Magnetic Resonance Imaging (MRI) Equipment and Protocol
2.2.2. Definition of Disc Bulging, Disc Protrusion, Degenerative Spondylolisthesis and Spondylolytic Spondylolisthesis
2.2.3. Disc Morphology Measurement
2.3. Statistical Analysis
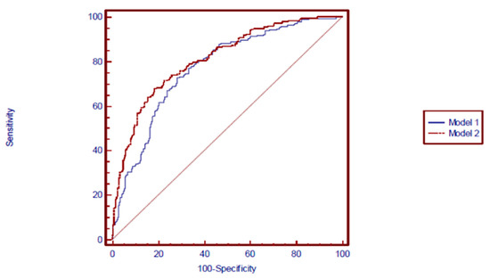
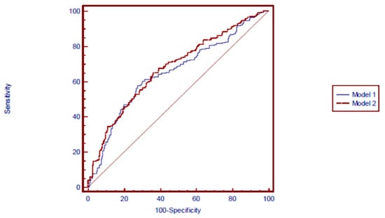
3. Results
4. Discussion
5. Conclusions
Author Contributions
Funding
Institutional Review Board Statement
Informed Consent Statement
Data Availability Statement
Acknowledgments
Conflicts of Interest
References
- Frymoyer, J.W.; Cats-Baril, W.L. An overview of the incidences and costs of low back pain. Orthop. Clin. N. Am. 1991, 22, 263–271. [Google Scholar] [CrossRef]
- Andersson, G.B. Epidemiology of low back pain. Acta Orthop. Scand. Suppl. 1998, 281, 28. [Google Scholar] [CrossRef] [PubMed]
- Paajanen, H.; Erkintalo, M.; Parkkola, R.; Salminen, J.; Kormano, M. Age-dependent correlation of low-back pain and lumbar disc regeneration. Arch. Orthop. Trauma Surg. 1997, 116, 106. [Google Scholar] [CrossRef]
- Klein, B.P.; Jensen, R.C.; Sanderson, L.M. Assessment of workers’ compensation claims for back strains/sprains. J. Occup. Med. 1984, 26, 443. [Google Scholar] [CrossRef] [PubMed]
- Webster, B.S.; Snook, S.H. The cost of 1989 workers’ compensation low back pain claims. Spine 1994, 19, 1111–1115. [Google Scholar] [CrossRef]
- Boos, N.; Rieder, R.; Schade, V.; Spratt, K.F.; Semmer, N.; Aebi, M. 1995 Volvo Award in clinical sciences. The diagnostic accuracy of magnetic resonance imaging, work perception, and psychosocial factors in identifying symptomatic disc herniations. Spine 1995, 20, 2613. [Google Scholar] [CrossRef] [PubMed]
- Cohn, E.L.; Maurer, E.J.; Keats, T.E.; Dussault, R.G.; Kaplan, P.A. Plain film evaluation of degenerative disk disease at the lumbosacral junction. Skeletal Radiol. 1997, 26, 161. [Google Scholar] [CrossRef] [PubMed]
- Brinckmann, P.; Grootenboer, H. Change of disc height, radial disc bulge, and intradiscal pressure from discectomy. An in vitro investigation on human lumbar discs. Spine 1991, 16, 641. [Google Scholar] [CrossRef]
- Brinckmann, P.; Horst, M. The influence of vertebral body fracture, intradiscal injection, and partial discectomy on the radial bulge and height of human lumbar discs. Spine 1985, 10, 138. [Google Scholar] [CrossRef]
- Tibrewal, S.B.; Pearcy, M.J. Lumbar intervertebral disc heights in normal subjects and patients with disc herniation. Spine 1985, 10, 452. [Google Scholar] [CrossRef]
- Nachemson, A.L.; Schultz, A.B.; Berkson, M.H. Mechanical properties of human lumbar spine motion segments. Influence of age, sex, disc level, and degeneration. Spine 1979, 4, 1. [Google Scholar] [CrossRef]
- Twomey, L.; Taylor, J. Age changes in lumbar intervertebral discs. Acta Orthop. Scand. 1985, 56, 496. [Google Scholar] [CrossRef]
- Videman, T.; Levalahti, E.; Battie, M.C. The effects of anthropometrics, lifting strength, and physical activities in disc degeneration. Spine 2007, 32, 1406. [Google Scholar] [CrossRef] [PubMed]
- Hrubec, Z.; Nashold, B.S. Epidemiology of lumbar disc lesions in the military in World War II. Am. J. Epidemiol. 1975, 102, 367–376. [Google Scholar] [CrossRef] [PubMed]
- Heliovaara, M.; Knekt, P.; Aromaa, A. Incidence and risk factors of herniated lumbar intervertebral disc or sciatica leading to hospitalization. J. Chronic Dis. 1987, 40, 251. [Google Scholar] [CrossRef]
- Videman, T.; Nummi, P.; Battié, M.C.; Gill, K. Digital assessment of MRI for lumbar disc desiccation. A comparison of digital versus subjective assessments and digital intensity profiles versus discogram and macroanatomic findings. Spine 1994, 19, 192. [Google Scholar] [CrossRef] [PubMed]
- Miller, J.A.; Schmatz, C.; Schultz, A.B. Lumbar disc degeneration: Correlation with age, sex, and spine level in 600 autopsy specimens. Spine 1988, 13, 173–178. [Google Scholar] [CrossRef]
- Videman, T.; Battié, M.C.; Gill, K.; Manninen, H.; Gibbons, L.E.; Fisher, L.D. Magnetic resonance imaging findings and their relationships in the thoracic and lumbar spine. Insights into the etiopathogenesis of spinal degeneration. Spine 1995, 20, 928. [Google Scholar] [CrossRef]
- Butler, D.; Trafimow, J.H.; Andersson, G.B.; McNeill, T.W.; Huckman, M.S. Discs degenerate before facets. Spine 1990, 15, 111. [Google Scholar] [CrossRef]
- Fardon, D.F.; Milette, P.C. Nomenclature and classification of lumbar disc pathology. Recommendations of the Combined task Forces of the North American Spine Society, American Society of Spine Radiology, and American Society of Neuroradiology. Spine 2001, 26, E93–E113. [Google Scholar] [CrossRef]
- Modic, M.T.; Ross, J.S. Lumbar degenerative disk disease. Radiology 2007, 245, 43. [Google Scholar] [CrossRef]
- Farfan, H.F. Mechanical Disorders of the Low Back; Lea & Febiger: Philadelphia, PA, USA, 1973. [Google Scholar]
- Dabbs, V.M.; Dabbs, L.G. Correlation between disc height narrowing and low-back pain. Spine 1990, 15, 1366. [Google Scholar] [CrossRef] [PubMed]
- Andersson, G.B.; Schultz, A.; Nathan, A.; Irstam, L. Roentgenographic measurement of lumbar intervertebral disc height. Spine 1981, 6, 154. [Google Scholar] [CrossRef]
- Amonoo-Kuofi, H.S. Morphometric changes in the heights and anteroposterior diameters of the lumbar intervertebral discs with age. J. Anat. 1991, 175, 159–168. [Google Scholar] [PubMed]
- Natarajan, R.N.; Andersson, G.B. The influence of lumbar disc height and cross-sectional area on the mechanical response of the disc to physiologic loading. Spine 1999, 24, 1873. [Google Scholar] [CrossRef] [PubMed]
- Kelsey, J.L.; Githens, P.B.; O’Conner, T.; Weil, U.; Calogero, J.A.; Holford, T.R.; White, A.A., 3rd; Walter, S.D.; Ostfeld, A.M.; Southwick, W.O. Acute prolapsed lumbar intervertebral disc. An epidemiologic study with special reference to driving automobiles and cigarette smoking. Spine 1984, 9, 608. [Google Scholar] [CrossRef]
- Kelsey, J.L. An epidemiological study of acute herniated lumbar intervertebral discs. Rheumatol. Rehabil. 1975, 14, 144. [Google Scholar] [CrossRef]
- Botsford, D.J.; Esses, S.I.; Ogilvie-Harris, D.J. In vivo diurnal variation in intervertebral disc volume and morphology. Spine 1994, 19, 935. [Google Scholar] [CrossRef] [PubMed]
- Inoue, H.; Ohmori, K.; Miyasaka, K.; Hosoe, H. Radiographic evaluation of the lumbosacral disc height. Skeletal. Radiol. 1999, 28, 638. [Google Scholar] [CrossRef]
- Luoma, K.; Vehmas, T.; Riihimäki, H.; Raininko, R. Disc height and signal intensity of the nucleus pulposus on magnetic resonance imaging as indicators of lumbar disc degeneration. Spine 2001, 26, 680. [Google Scholar] [CrossRef]
- Roberts, N.; Gratin, C.; Whitehouse, G.H. MRI analysis of lumbar intervertebral disc height in young and older populations. J. Magn. Reson. Imaging 1997, 7, 880. [Google Scholar] [CrossRef] [PubMed]
- Koeller, W.; Muehlhaus, S.; Meier, W.; Hartmann, F. Biomechanical properties of human intervertebral discs subjected to axial dynamic compression--influence of age and degeneration. J. Biomech. 1986, 19, 807. [Google Scholar] [CrossRef]




| Variables | Mean (Range) | N (%) |
|---|---|---|
| Age (years) | 49.3 (21–65) | |
| <40 | 88 (19.5) | |
| 40~<50 | 110 (24.3) | |
| 50~<60 | 188 (41.6) | |
| ≥60 | 66 (14.6) | |
| Sex | ||
| Male/Female | 210 (46.5)/242(53.5) | |
| Body height (cm) | 162.8 (140.0–185.0) | |
| Body weight (kg) | 65.5 (39.5–113.0) | |
| BMI (kg/m2) | 24.6 (16.6–39.0) | |
| <24 | 191 (42.3) | |
| 24~<27 | 159 (35.2) | |
| ≥27 | 102 (22.6) | |
| Low back pain (within 12 months) | ||
| Yes | 313 (70.0) | |
| missing | 5 (1.1) | |
| Work tenure (years) | 22.5(0.63–50) | |
| <15 | 120 (26.5) | |
| 15~<30 | 177 (39.1) | |
| ≥30 | 155 (34.4) | |
| Exercise (Yes) | 294 (65.0) | |
| missing | 4 (0.9) | |
| Smoking (Yes) | 103 (22.8) | |
| Education Level | ||
| Junior high and below | 142 (31.4) | |
| Senior high school | 216 (47.8) | |
| College or above | 89 (19.7) | |
| Missing | 5 (1.1) |
| Disc Level | Disc Height (mm) Mean (Range) | Disc Depth (mm) Mean (Range) |
|---|---|---|
| L3-L4 | 8.2 (4.8–11.6) | 31.3 (20.9–40.8) |
| L4-L5 | 9.3 (4.1–13.1) | 30.8 (21.9–39.8) |
| L5-S1 | 8.9 (3.4–13.3) | 29.0 (21.1–37.0) |
| Variable | Disc Level | Intra-Rater Reliability |
|---|---|---|
| Disc bulging and/or protrusion | L3-L4 | 0.883 |
| L4-L5 | 0.833 | |
| L5-S1 | 0.883 |
| Variable | Disc Level | Inter-Rater Reliability | Intra-Rater Reliability |
|---|---|---|---|
| Disc height | L3-L4 | 0.878 | 0.917 |
| L4-L5 | 0.899 | 0.916 | |
| L5-S1 | 0.943 | 0.948 | |
| Disc depth | L3-L4 | 0.805 | 0.926 |
| L4-L5 | 0.939 | 0.963 | |
| L5-S1 | 0.858 | 0.991 |
| L3-L4 Disc Bulging and/or Protrusion | L4-L5 Disc Bulging and/or Protrusion | L5-S1 Disc Bulging and/or Protrusion | ||||||||||
|---|---|---|---|---|---|---|---|---|---|---|---|---|
| β | Standardizedβ | P | R2 | β | Standardized β | P | R2 | β | Standardized β | P | R2 | |
| Model 1 (Anthropometric model) | 0.288 | 0.213 | 0.088 | |||||||||
| Age | 0.10 | 0.0013 | <0.0001 | 0.01 | 0.0001 | <0.0001 | 0.04 | 0.0004 | <0.0001 | |||
| Sex | −0.29 | −0.0476 | 0.08 | 0.16 | 0.0258 | 0.13 | −0.04 | −0.0060 | 0.8 | |||
| Body height | −0.01 | −0.0002 | 0.58 | 0.02 | 0.0004 | 0.55 | 0.01 | 0.0002 | 0.56 | |||
| Body weight | 0.04 | 0.0005 | 0.0025 | 0.01 | 0.0001 | 0.003 | 0.02 | 0.0002 | 0.03 | |||
| Model 2 (Disc morphology and anthropometric model) | 0.371 | |||||||||||
| Age | 0.08 | 0.0010 | <0.0001 | 0.06 | 0.0007 | <0.0001 | 0.04 | 0.0004 | 0.0008 | |||
| Sex | −0.10 | −0.0179 | 0.59 | −0.007 | −0.0012 | 0.97 | 0.15 | 0.0246 | 0.36 | |||
| Body height | −0.05 | −0.0012 | 0.02 | −0.05 | −0.0012 | 0.04 | −0.005 | −0.0001 | 0.82 | |||
| Body weight | 0.03 | 0.0004 | 0.02 | 0.03 | 0.0004 | 0.01 | 0.02 | 0.0002 | 0.036 | |||
| Disc height | −0.19 | −0.0179 | 0.038 | −0.18 | −0.0151 | 0.03 | −0.12 | −0.0070 | 0.046 | |||
| Disc depth | 0.37 | 0.0248 | <0.0001 | 0.30 | 0.0192 | <0.0001 | 0.19 | 0.0106 | 0.0009 | |||
| Disc Level | Predictive Model | Sensitivity (%) | Specificity (%) | Criterion | Positive Predictive Value (%) | Negative Predictive Value (%) |
|---|---|---|---|---|---|---|
| L34 | Model 1 (Anthropometric model) | 72.9 | 71.9 | >0.4568 | 1.13 | 99.83 |
| Model 2 (Disc morphology and anthropometric model) | 67.8 | 81.4 | >0.5155 | 1.59 | 99.83 | |
| L45 | Model 1 (Anthropometric model) | 76.6 | 61.5 | >0.5656 | 1.19 | 99.77 |
| Model 2 (Disc morphology and anthropometric model) | 74.7 | 66.5 | >0.5673 | 1.34 | 99.77 | |
| L5S1 | Model 1 (Anthropometric model) | 57.9 | 72.5 | >0.4625 | 0.91 | 99.75 |
| Model 2 (Disc morphology and anthropometric model) | 65.0 | 63.5 | >0.4230 | 0.77 | 99.76 |
Publisher’s Note: MDPI stays neutral with regard to jurisdictional claims in published maps and institutional affiliations. |
© 2021 by the authors. Licensee MDPI, Basel, Switzerland. This article is an open access article distributed under the terms and conditions of the Creative Commons Attribution (CC BY) license (http://creativecommons.org/licenses/by/4.0/).
Share and Cite
Hung, I.Y.-J.; Shih, T.T.-F.; Chen, B.-B.; Guo, Y.L. Prediction of Lumbar Disc Bulging and Protrusion by Anthropometric Factors and Disc Morphology. Int. J. Environ. Res. Public Health 2021, 18, 2521. https://doi.org/10.3390/ijerph18052521
Hung IY-J, Shih TT-F, Chen B-B, Guo YL. Prediction of Lumbar Disc Bulging and Protrusion by Anthropometric Factors and Disc Morphology. International Journal of Environmental Research and Public Health. 2021; 18(5):2521. https://doi.org/10.3390/ijerph18052521
Chicago/Turabian StyleHung, Isabella Yu-Ju, Tiffany Ting-Fang Shih, Bang-Bin Chen, and Yue Leon Guo. 2021. "Prediction of Lumbar Disc Bulging and Protrusion by Anthropometric Factors and Disc Morphology" International Journal of Environmental Research and Public Health 18, no. 5: 2521. https://doi.org/10.3390/ijerph18052521
APA StyleHung, I. Y.-J., Shih, T. T.-F., Chen, B.-B., & Guo, Y. L. (2021). Prediction of Lumbar Disc Bulging and Protrusion by Anthropometric Factors and Disc Morphology. International Journal of Environmental Research and Public Health, 18(5), 2521. https://doi.org/10.3390/ijerph18052521

