Effects of PM Exposure on the Methylation of Clock Genes in A Population of Subjects with Overweight or Obesity
Abstract
1. Introduction
2. Materials and Methods
2.1. Study Subjects
2.2. Assessment of PM Exposure
2.3. Sample Collection, DNA Extraction, and Bisulfite Treatment
2.4. DNA Amplification and Pyrosequencing
2.5. Statistical Analysis
3. Results
3.1. Characteristics of the Study Population, PM Assessment, and DNA Methylation
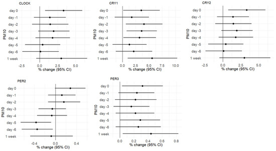
3.2. Association between PM and The Methylation of Clock Genes
3.3. Effect of Obesity on The Relationship between PM and Methylation
4. Discussion
5. Conclusions
Supplementary Materials
Author Contributions
Funding
Institutional Review Board Statement
Informed Consent Statement
Data Availability Statement
Acknowledgments
Conflicts of Interest
References
- Schraufnagel, D.E.; Balmes, J.R.; Cowl, C.T.; De Matteis, S.; Jung, S.-H.; Mortimer, K.; Perez-Padilla, R.; Rice, M.B.; Riojas-Rodriguez, H.; Sood, A.; et al. Air Pollution and Noncommunicable Diseases. Chest 2019, 155, 417–426. [Google Scholar] [CrossRef]
- Hoek, G.; Krishnan, R.M.; Beelen, R.; Peters, A.; Ostro, B.; Brunekreef, B.; Kaufman, J.D. Long-term air pollution exposure and cardio- respiratory mortality: A review. Environ. Health 2013, 12, 43. [Google Scholar] [CrossRef]
- Hamanaka, R.B.; Mutlu, G.M. Particulate Matter Air Pollution: Effects on the Cardiovascular System. Front. Endocrinol. (Lausanne) 2018, 9. [Google Scholar] [CrossRef]
- Ji, X.; Zhang, Y.; Li, G.; Sang, N. Potential Role of Inflammation in Associations between Particulate Matter and Heart Failure. Curr. Pharm. Des. 2018, 24, 341–358. [Google Scholar] [CrossRef]
- Tang, H.; Cheng, Z.; Li, N.; Mao, S.; Ma, R.; He, H.; Niu, Z.; Chen, X.; Xiang, H. The short- and long-term associations of particulate matter with inflammation and blood coagulation markers: A meta-analysis. Environ. Pollut. 2020, 267, 115630. [Google Scholar] [CrossRef]
- De Grove, K.C.; Provoost, S.; Brusselle, G.G.; Joos, G.F.; Maes, T. Insights in particulate matter-induced allergic airway inflammation: Focus on the epithelium. Clin. Exp. Allergy 2018, 48, 773–786. [Google Scholar] [CrossRef]
- Cooper, D.M.; Loxham, M. Particulate matter and the airway epithelium: The special case of the underground? Eur. Respir. Rev. 2019, 28, 190066. [Google Scholar] [CrossRef]
- McCormack, M.C.; Belli, A.J.; Kaji, D.A.; Matsui, E.C.; Brigham, E.P.; Peng, R.D.; Sellers, C.; Williams, D.L.; Diette, G.B.; Breysse, P.N.; et al. Obesity as a susceptibility factor to indoor particulate matter health effects in COPD. Eur. Respir. J. 2015, 45, 1248–1257. [Google Scholar] [CrossRef]
- Dong, G.H.; Qian, Z.; Liu, M.-M.; Wang, D.; Ren, W.-H.; Fu, Q.; Wang, J.; Simckes, M.; Ferguson, T.F.; Trevathan, E. Obesity enhanced respiratory health effects of ambient air pollution in Chinese children: The Seven Northeastern Cities study. Int. J. Obes. 2013, 37, 94–100. [Google Scholar] [CrossRef]
- Manna, P.; Jain, S.K. Obesity, Oxidative Stress, Adipose Tissue Dysfunction, and the Associated Health Risks: Causes and Therapeutic Strategies. Metab. Syndr. Relat. Disord. 2015, 13, 423–444. [Google Scholar] [CrossRef]
- Unamuno, X.; Gómez-Ambrosi, J.; Rodríguez, A.; Becerril, S.; Frühbeck, G.; Catalán, V. Adipokine dysregulation and adipose tissue inflammation in human obesity. Eur. J. Clin. Investig. 2018, 48, e12997. [Google Scholar] [CrossRef] [PubMed]
- Atawia, R.T.; Bunch, K.L.; Toque, H.A.; Caldwell, R.B.; Caldwell, R.W. Mechanisms of obesity-induced metabolic and vascular dysfunctions. Front. Biosci. Landmark 2019, 24, 890–934. [Google Scholar] [CrossRef]
- Brochu, P.; Bouchard, M.; Haddad, S. Physiological Daily Inhalation Rates for Health Risk Assessment in Overweight/Obese Children, Adults, and Elderly. Risk Anal. 2014, 34, 567–582. [Google Scholar] [CrossRef] [PubMed]
- Weichenthal, S.A.; Godri Pollitt, K.; Villeneuve, P.J. PM2.5, oxidant defence and cardiorespiratory health: A review. Environ. Health 2013, 12, 40. [Google Scholar] [CrossRef] [PubMed]
- Cantone, L.; Tobaldini, E.; Favero, C.; Albetti, B.; Sacco, R.M.; Torgano, G.; Ferrari, L.; Montano, N.; Bollati, V. Particulate Air Pollution, Clock Gene Methylation, and Stroke: Effects on Stroke Severity and Disability. Int. J. Mol. Sci. 2020, 21, 3090. [Google Scholar] [CrossRef] [PubMed]
- Nawrot, T.S.; Saenen, N.D.; Schenk, J.; Janssen, B.G.; Motta, V.; Tarantini, L.; Cox, B.; Lefebvre, W.; Vanpoucke, C.; Maggioni, C.; et al. Placental circadian pathway methylation and in utero exposure to fine particle air pollution. Environ. Int. 2018, 114, 231–241. [Google Scholar] [CrossRef] [PubMed]
- Rosenwasser, A.M.; Turek, F.W. Neurobiology of Circadian Rhythm Regulation. Sleep Med. Clin. 2015, 10, 403–412. [Google Scholar] [CrossRef]
- Panda, S. Circadian physiology of metabolism. Science 2016, 354, 1008–1015. [Google Scholar] [CrossRef]
- Huang, R.-C. The discoveries of molecular mechanisms for the circadian rhythm: The 2017 Nobel Prize in Physiology or Medicine. Biomed. J. 2018, 41, 5–8. [Google Scholar] [CrossRef]
- Albrecht, U. Timing to Perfection: The Biology of Central and Peripheral Circadian Clocks. Neuron 2012, 74, 246–260. [Google Scholar] [CrossRef]
- Takahashi, J.S. Transcriptional architecture of the mammalian circadian clock. Nat. Rev. Genet. 2017, 18, 164–179. [Google Scholar] [CrossRef]
- Jagannath, A.; Taylor, L.; Wakaf, Z.; Vasudevan, S.R.; Foster, R.G. The genetics of circadian rhythms, sleep and health. Hum. Mol. Genet. 2017, 26, R128–R138. [Google Scholar] [CrossRef]
- McCuen-Wurst, C.; Ruggieri, M.; Allison, K.C. Disordered eating and obesity: Associations between binge-eating disorder, night-eating syndrome, and weight-related comorbidities. Ann. N. Y. Acad. Sci. 2018, 1411, 96–105. [Google Scholar] [CrossRef]
- Hwang, J.; Sundar, I.K.; Yao, H.; Sellix, M.T.; Rahman, I. Circadian clock function is disrupted by environmental tobacco/cigarette smoke, leading to lung inflammation and injury via a SIRT1-BMAL1 pathway. FASEB J. 2014, 28, 176–194. [Google Scholar] [CrossRef]
- Scheiermann, C.; Kunisaki, Y.; Frenette, P.S. Circadian control of the immune system. Nat. Rev. Immunol. 2013, 13, 190–198. [Google Scholar] [CrossRef]
- Xu, H.; Huang, L.; Zhao, J.; Chen, S.; Liu, J.; Li, G. The circadian clock and inflammation: A new insight. Clin. Chim. Acta 2021, 512, 12–17. [Google Scholar] [CrossRef]
- Bollati, V.; Iodice, S.; Favero, C.; Angelici, L.; Albetti, B.; Cacace, R.; Cantone, L.; Carugno, M.; Cavalleri, T.; De Giorgio, B.; et al. Susceptibility to particle health effects, miRNA and exosomes: Rationale and study protocol of the SPHERE study. BMC Public Health 2014, 14, 1137. [Google Scholar] [CrossRef]
- Weir, C.B.; Jan, A. BMI Classification Percentile And Cut Off Points; StatPearls Publishing: Treasure Island, FL, USA, 2019. [Google Scholar]
- Ramos Salas, X.; Alberga, A.S.; Cameron, E.; Estey, L.; Forhan, M.; Kirk, S.F.L.; Russell-Mayhew, S.; Sharma, A.M. Addressing weight bias and discrimination: Moving beyond raising awareness to creating change. Obes. Rev. 2017, 18, 1323–1335. [Google Scholar] [CrossRef]
- Puhl, R.; Suh, Y. Health Consequences of Weight Stigma: Implications for Obesity Prevention and Treatment. Curr. Obes. Rep. 2015, 4, 182–190. [Google Scholar] [CrossRef]
- Albury, C.; Strain, W.D.; Brocq, S.L.; Logue, J.; Lloyd, C.; Tahrani, A. The importance of language in engagement between health-care professionals and people living with obesity: A joint consensus statement. Lancet Diabetes Endocrinol. 2020, 8, 447–455. [Google Scholar] [CrossRef]
- Rubino, F.; Puhl, R.M.; Cummings, D.E.; Eckel, R.H.; Ryan, D.H.; Mechanick, J.I.; Nadglowski, J.; Ramos Salas, X.; Schauer, P.R.; Twenefour, D.; et al. Joint international consensus statement for ending stigma of obesity. Nat. Med. 2020, 26, 485–497. [Google Scholar] [CrossRef] [PubMed]
- Lim, A.S.P.; Srivastava, G.P.; Yu, L.; Chibnik, L.B.; Xu, J.; Buchman, A.S.; Schneider, J.A.; Myers, A.J.; Bennett, D.A.; De Jager, P.L. 24-Hour Rhythms of DNA Methylation and Their Relation with Rhythms of RNA Expression in the Human Dorsolateral Prefrontal Cortex. PLoS Genet. 2014, 10, e1004792. [Google Scholar] [CrossRef] [PubMed]
- Giorgio, C.; Alessandro, D.M.; di Menno, B.; Daniela, D.; Marco, I.; Carmelo, N.; Gaetano, S.; Giuseppe, V.; Achille, M. Evaluation of the temporal variation of air quality in Rome, Italy, from 1999 to 2008. Ann. Ist. Super. Sanita 2010, 46. [Google Scholar] [CrossRef]
- Bollati, V.; Baccarelli, A.; Hou, L.; Bonzini, M.; Fustinoni, S.; Cavallo, D.; Byun, H.-M.; Jiang, J.; Marinelli, B.; Pesatori, A.C.; et al. Changes in DNA Methylation Patterns in Subjects Exposed to Low-Dose Benzene. Cancer Res. 2007, 67, 876–880. [Google Scholar] [CrossRef] [PubMed]
- Wang, Y.; Li, R.; Chen, R.; Gu, W.; Zhang, L.; Gu, J.; Wang, Z.; Liu, Y.; Sun, Q.; Zhang, K.; et al. Ambient fine particulate matter exposure perturbed circadian rhythm and oscillations of lipid metabolism in adipose tissues. Chemosphere 2020, 251, 126392. [Google Scholar] [CrossRef]
- Rutter, J. Regulation of Clock and NPAS2 DNA Binding by the Redox State of NAD Cofactors. Science 2001, 293, 510–514. [Google Scholar] [CrossRef]
- Man, A.W.C.; Xia, N.; Li, H. Circadian Rhythm in Adipose Tissue: Novel Antioxidant Target for Metabolic and Cardiovascular Diseases. Antioxidants 2020, 9, 968. [Google Scholar] [CrossRef]
- Pergoli, L.; Cantone, L.; Favero, C.; Angelici, L.; Iodice, S.; Pinatel, E.; Hoxha, M.; Dioni, L.; Letizia, M.; Albetti, B.; et al. Extracellular vesicle-packaged miRNA release after short-term exposure to particulate matter is associated with increased coagulation. Part. Fibre Toxicol. 2017, 14, 32. [Google Scholar] [CrossRef]
- Hong, H.K.; Maury, E.; Ramsey, K.M.; Perelis, M.; Marcheva, B.; Omura, C.; Kobayashi, Y.; Guttridge, D.C.; Barish, G.D.; Bass, J. Requirement for NF-κB in maintenance of molecular and behavioral circadian rhythms in mice. Genes Dev. 2018, 32, 1367–1379. [Google Scholar] [CrossRef]
- Song, P.; Li, Z.; Li, X.; Yang, L.; Zhang, L.; Li, N.; Guo, C.; Lu, S.; Wei, Y. Transcriptome Profiling of the Lungs Reveals Molecular Clock Genes Expression Changes after Chronic Exposure to Ambient Air Particles. Int. J. Environ. Res. Public Health 2017, 14, 90. [Google Scholar] [CrossRef]
- Li, R.; Wang, Y.; Chen, R.; Gu, W.; Zhang, L.; Gu, J.; Wang, Z.; Liu, Y.; Sun, Q.; Zhang, K.; et al. Ambient fine particulate matter disrupts hepatic circadian oscillation and lipid metabolism in a mouse model. Environ. Pollut. 2020, 262, 114179. [Google Scholar] [CrossRef] [PubMed]
- Joska, T.M.; Zaman, R.; Belden, W.J. Regulated DNA methylation and the circadian clock: Implications in cancer. Biology 2014, 3, 560–577. [Google Scholar] [CrossRef] [PubMed]
- Jin, J.; Lian, T.; Gu, C.; Yu, K.; Gao, Y.Q.; Su, X.D. The effects of cytosine methylation on general transcription factors. Sci. Rep. 2016, 6, 1–13. [Google Scholar] [CrossRef]
- Okamoto-Uchida, Y.; Izawa, J.; Nishimura, A.; Hattori, A.; Suzuki, N.; Hirayama, J. Post-translational Modifications are Required for Circadian Clock Regulation in Vertebrates. Curr. Genom. 2019, 20, 332–339. [Google Scholar] [CrossRef] [PubMed]
- Wang, X.; Tian, G.; Li, Z.; Zheng, L. The Crosstalk Between miRNA and Mammalian Circadian Clock. Curr. Med. Chem. 2015, 22, 1582–1588. [Google Scholar] [CrossRef]
- Numaguchi, S.; Esumi, M.; Sakamoto, M.; Endo, M.; Ebihara, T.; Soma, H.; Yoshida, A.; Tokuhashi, Y. Passive cigarette smoking changes the circadian rhythm of clock genes in rat intervertebral discs. J. Orthop. Res. 2016, 34, 39–47. [Google Scholar] [CrossRef]
- World Health Organization. Global Status Report on Noncommunicable Diseases 2014; World Health Organization: Geneva, Switzerland, 2015. [Google Scholar]
- Bonzini, M.; Pergoli, L.; Cantone, L.; Hoxha, M.; Spinazzè, A.; Del Buono, L.; Favero, C.; Carugno, M.; Angelici, L.; Broggi, L.; et al. Short-term particulate matter exposure induces extracellular vesicle release in overweight subjects. Environ. Res. 2017, 155, 228–234. [Google Scholar] [CrossRef]
- Peng, H.; Zhu, Y.; Goldberg, J.; Vaccarino, V.; Zhao, J. DNA methylation of five core circadian genes jointly contributes to glucose metabolism: A gene-set analysis in monozygotic twins. Front. Genet. 2019, 10. [Google Scholar] [CrossRef]
- Ramos-Lopez, O.; Samblas, M.; Milagro, F.I.; Riezu-Boj, J.I.; Crujeiras, A.B.B.; Martinez, J.A.; Project, M. Circadian gene methylation profiles are associated with obesity, metabolic disturbances and carbohydrate intake. Chronobiol. Int. 2018, 35, 969–981. [Google Scholar] [CrossRef]
- Hsu, M.C.; Huang, C.C.; Choo, K.B.; Huang, C.J. Uncoupling of promoter methylation and expression of Period1 in cervical cancer cells. Biochem. Biophys. Res. Commun. 2007, 360, 257–262. [Google Scholar] [CrossRef]
- Bigini, E.G.; Chasens, E.R.; Conley, Y.P.; Imes, C.C. DNA methylation changes and improved sleep quality in adults with obstructive sleep apnea and diabetes. BMJ Open Diabetes Res. Care 2019, 7, 707. [Google Scholar] [CrossRef] [PubMed]
- Jansen, E.C.; Dolinoy, D.; Peterson, K.E.; O’Brien, L.M.; Chervin, R.D.; Cantoral, A.; Tellez-Rojo, M.M.; Solano-Gonzalez, M.; Goodrich, J. Adolescent sleep timing and dietary patterns in relation to DNA methylation of core circadian genes: A pilot study of Mexican youth. Epigenetics 2020, 00, 1–14. [Google Scholar] [CrossRef] [PubMed]
- Wahl, S.; Drong, A.; Lehne, B.; Loh, M.; Scott, W.R.; Kunze, S.; Tsai, P.-C.; Ried, J.S.; Zhang, W.; Yang, Y.; et al. Epigenome-wide association study of body mass index, and the adverse outcomes of adiposity. Nature 2017, 541, 81–86. [Google Scholar] [CrossRef]
- Shimba, S.; Ishii, N.; Ohta, Y.; Ohno, T.; Watabe, Y.; Hayashi, M.; Wada, T.; Aoyagi, T.; Tezuka, M. Brain and muscle Arnt-like protein-1 (BMAL1), a component of the molecular clock, regulates adipogenesis. Proc. Natl. Acad. Sci. USA 2005, 102, 12071–12076. [Google Scholar] [CrossRef]
- Samblas, M.; Milagro, F.I.; Mansego, M.L.; Marti, A.; Martinez, J.A. PTPRS and PER3 methylation levels are associated with childhood obesity: Results from a genome-wide methylation analysis. Pediatr. Obes. 2018, 13, 149–158. [Google Scholar] [CrossRef]
- Samblas, M.; Milagro, F.I.; Gómez-Abellán, P.; Martínez, J.A.; Garaulet, M. Methylation on the Circadian Gene BMAL1 Is Associated with the Effects of a Weight Loss Intervention on Serum Lipid Levels. J. Biol. Rhythm. 2016, 31, 308–317. [Google Scholar] [CrossRef]
- Engin, A. Circadian rhythms in diet-induced obesity. Adv. Exp. Med. Biol. 2017, 960, 19–52. [Google Scholar] [CrossRef]



| Gene | Chromosome Position 1 | CpG Sites | Primers: Forward (F) Reverse (R) Sequencing (S) | Sequencing Length | T° Annealing | |
|---|---|---|---|---|---|---|
| ARNTL | chr11:13275818 -13278227 | 2 | F R S | GGGGTTAGTTTGGGTAATAGAATTAG Bio-TAAACTCCCTAAATAAAAAAACAAC TTATTTTATTTTATTTTAGT | 38 bp | 54 °C |
| CLOCK | chr4:55547142 -55547530 | 2 | F R S | TTTTTAGGAGATGGGAGAAGATGT Bio-TAAAAAATCCAAAAACCAAAAAAAA TTTTTTGTTAATATT | 28 bp | 51.5 °C |
| CRY1 | chr12:105617622 -105618592 | 3 | F R S | TTTGTGAGGGAAGGTTTAGTTT Bio-AACAATTTCCAAACCCTCC TTTTTAAGGGTTATGAG | 27 bp | 56 °C |
| CRY2 | chr11:45846906 -45847578 | 4 | F R S | TGTTTTTTGAGATTTGGTTTATTTT Bio- CCAAAACCCCTCTACCATTAACTA TGTTTTTTGAGATTTGGTTTATTTT | 33 bp | 54 °C |
| PER1 | chr17:8151724 -8152661 | 3 | F R S | TAGGGTTAGGGATTGGAGAATAGA Bio-ACCCAAACAAAAAACACACTATC GGGTTAGGAGTGTAGATTTT | 27 bp | 52 °C |
| PER2 | chr2:238288036 -238291073 | 3 | F R S | TGAGAAAGGTAGTATTTTTAAGG Bio-AAAACTCCACATACCCCACAC AGGAGGTTGTTTTGGGAGAT | 34 bp | 52 °C |
| PER3 | chr1:7784068 -7785195 | 3 | F R S | TGTTTGTTATTGATTGTAAAGTGAG Bio-AATTTAAATCCCCCTTTCCCTAC TGTTTGTTATTGATTGTAAAGTGAG | 25 bp | 52 °C |
| Characteristics | Value | |
|---|---|---|
| Age (years ± SD) | 52.7 ± 12.9 | |
| BMI (kg/m2 ± SD) | 33.8 ± 5.5 | |
| Categorical BMI (number of subjects (%)) | ||
| 25 ≤ BMI < 30 (Overweight) | 55 (27.5%) | |
| 30 ≤ BMI < 35 (Obesity Class I) | 72 (36.0%) | |
| BMI ≥ 35 (Obesity Classes II and III) | 73 (36.5%) | |
| Smoking habits (number of subjects (%)) | ||
| Nonsmoker | 109 (54.5%) | |
| Ex-smoker | 65 (32.5%) | |
| Current smoker | 26 (13%) | |
| Percentage of lymphocytes (mean ± SD) | 30.9% ± 7.2% | |
| Season of enrollment (number of subjects (%)) | ||
| Winter | 57 (28.5%) | |
| Spring | 55 (27.5%) | |
| Summer | 28 (14.0%) | |
| Autumn | 60 (30.0%) | |
| Temperature (°C ±SD) | 69.8 ± 14.7 | |
| Humidity (% ±SD) | 12.7 ± 7.6 |
| PM Size | Days before Blood Sampling | Mean (μg/m3) | SD | First Quartile (Q1) | Median (Q2) | Third Quartile (Q3) |
|---|---|---|---|---|---|---|
| PM10 | Day 0 | 47.2 | 28.8 | 25.7 | 37.3 | 62.2 |
| Day −1 | 41.8 | 30.2 | 22.0 | 31.0 | 56.0 | |
| Day −2 | 39.8 | 27.2 | 21.0 | 31.0 | 52.0 | |
| Day −3 | 41.3 | 29.9 | 22.0 | 33.0 | 56.0 | |
| Day −4 | 43.6 | 28.4 | 23.0 | 36.0 | 60.0 | |
| Day −5 | 43.6 | 27.5 | 24.0 | 36.0 | 59.0 | |
| Day −6 | 42.9 | 26.7 | 24.0 | 36.0 | 53.0 | |
| Weekly mean | 42.8 | 22.9 | 26.7 | 36.4 | 54.0 | |
| PM2.5 | Day 0 | 32.9 | 23.5 | 16.0 | 25.8 | 45.0 |
| Day −1 | 30.9 | 22.6 | 14.0 | 24.0 | 43.0 | |
| Day −2 | 30.4 | 22.6 | 14.5 | 25.0 | 38.0 | |
| Day −3 | 32.2 | 26.5 | 13.0 | 25.0 | 44.0 | |
| Day −4 | 32.9 | 23.8 | 16.0 | 25.0 | 46.0 | |
| Day −5 | 31.2 | 21.0 | 14.3 | 25.3 | 41.5 | |
| Day −6 | 30.8 | 20.0 | 16.0 | 25.0 | 43.0 | |
| Weekly mean | 31.3 | 18.9 | 16.0 | 27.9 | 40.6 |
| Gene | Mean (% mCpG) | SD | First Quartile (Q1) | Median (Q2) | Third Quartile (Q3) | Min | Max |
|---|---|---|---|---|---|---|---|
| ARNTL | 1.1 | 0.7 | 1.1 | 0.8 | 1.3 | 0 | 7.2 |
| CLOCK | 1.9 | 1.6 | 1.2 | 0.8 | 2.7 | 0.3 | 7.5 |
| CRY1 | 2 | 1.5 | 1.7 | 1.1 | 2.5 | 0 | 10.3 |
| CRY2 | 1.2 | 0.5 | 1.2 | 1 | 1.4 | 0 | 3.7 |
| PER1 | 1.5 | 1 | 1.4 | 0.8 | 2.2 | 0 | 5.3 |
| PER2 | 78.7 | 3.5 | 79 | 76.9 | 80.8 | 60.5 | 86.7 |
| PER3 | 84.9 | 3.7 | 85.5 | 82.5 | 87.4 | 73.2 | 93.3 |
| Methylation Genes Δ% (95% CI) p−Value | CRY2 | PER1 | PER2 | |||
|---|---|---|---|---|---|---|
| BMI = 25 | BMI = 51 | BMI = 25 | BMI = 51 | BMI = 25 | BMI = 51 | |
| PM10 Exposure | ||||||
| Day 0 | 5.4 (1.5; 9.4) | −1.2 (−6.8; 4.7) | 6.9 (3.3; 10.7) | −9.2 (−13.9; −4.2) | 0.5 (0.1; 1) | −0.2 (−0.9; 0.5) |
| 0.007 | 0.673 | <0.001 | <0.001 | 0.020 | 0.521 | |
| Day −1 | 3.2 (−0.1; 6.6) | −2 (−6.8; 3) | 4.7 (1.2; 8.3) | −8.4 (−12.5; −4.1) | 0.2 (−0.2; 0.6) | 0 (−0.6; 0.6) |
| 0.058 | 0.424 | 0.009 | 0.000 | 0.370 | 0.958 | |
| Day −2 | 3.2 (−0.9; 7.5) | −1.2 (−6.5; 4.4) | 2.7 (−1.4; 7) | −6.1 (−11; −1) | 0.5 (0; 1) | −0.3 (−1; 0.3) |
| 0.129 | 0.665 | 0.192 | 0.021 | 0.059 | 0.352 | |
| Day −3 | 1.8 (−2; 5.8) | 2.6 (−4.5; 10.2) | 1.2 (−2.7; 5.2) | −4.2 (−10.7; 2.7) | 0.2 (−0.3; 0.7) | −0.5 (−1.3; 0.4) |
| 0.351 | 0.481 | 0.557 | 0.224 | 0.470 | 0.266 | |
| Day −4 | 2 (−2.2; 6.4) | 1.5 (−5.3; 8.8) | 0.6 (−3.5; 5) | −1.8 (−8.2; 5.1) | 0.2 (−0.3; 0.8) | −0.6 (−1.4; 0.2) |
| 0.352 | 0.676 | 0.765 | 0.598 | 0.349 | 0.163 | |
| Day −5 | 4 (−0.3; 8.6) | −5.3 (−11.1; 0.8) | 3.8 (−0.3; 8) | −10.5 (−15.6; −5.1) | 0 (−0.5; 0.5) | −0.9 (−1.7; −0.2) |
| 0.068 | 0.089 | 0.070 | <0.001 | 0.985 | 0.011 | |
| Day −6 | 3.1 (−0.9; 7.2) | −4.4 (−9.4; 1) | 4.3 (0.5; 8.3) | −9.6 (−14; −5) | 0 (−0.4; 0.5) | −0.9 (−1.5; −0.2) |
| 0.134 | 0.110 | 0.026 | <0.001 | 0.842 | 0.009 | |
| 1 week | 6.2 (0.9; 11.7) | −2.5 (−9.6; 5.2) | 5.2 (0.2; 10.4) | −12.1 (−18.1; −5.7) | 0.3 (−0.3; 0.9) | −0.7 (−1.6; 0.1) |
| 0.021 | 0.506 | 0.043 | <0.001 | 0.318 | 0.100 | |
| Methylation Genes Δ% (95% CI) p-Value | CRY2 | PER1 | PER2 | |||
|---|---|---|---|---|---|---|
| BMI = 25 | BMI = 51 | BMI = 25 | BMI = 51 | BMI = 25 | BMI = 51 | |
| PM10 exposure | ||||||
| Day 0 | 8 (3; 13.2) | −4.4 (−11.6; 3.4) | 9.7 (4.8; 14.8) | −10.1 (−16.6; −3) | 0.7 (0.1; 1.2) | −0.7 (−1.6; 0.2) |
| 0.002 | 0.258 | <0.001 | 0.006 | 0.019 | 0.144 | |
| Day −1 | 2.9 (−1.2; 7.2) | 0.1 (−6.4; 7.1) | 5.8 (0.9; 10.8) | −8.3 (−14.5; −1.7) | 0.4 (−0.1; 0.9) | 0 (−0.9; 0.8) |
| 0.168 | 0.969 | 0.019 | 0.014 | 0.100 | 0.932 | |
| Day −2 | 3.1 (−1.9; 8.4) | −2.3 (−9.6; 5.4) | 3.9 (−1.3; 9.3) | −8.5 (−15; −1.5) | 0.5 (−0.1; 1.1) | −0.5 (−1.4; 0.4) |
| 0.221 | 0.542 | 0.141 | 0.019 | 0.103 | 0.303 | |
| Day −3 | 2.6 (−1.5; 7) | −1.2 (−8.9; 7.2) | 2.3 (−1.9; 6.8) | −5 (−12.3; 3) | 0.5 (−0.1; 1) | −0.7 (−1.7; 0.3) |
| 0.217 | 0.768 | 0.288 | 0.215 | 0.080 | 0.167 | |
| Day −4 | 1.3 (−4.2; 7) | −1 (−9.1; 7.7) | 1.5 (−4; 7.2) | −0.3 (−8.1; 8.2) | 0.3 (−0.3; 1) | −0.7 (−1.7; 0.3) |
| 0.656 | 0.813 | 0.604 | 0.941 | 0.334 | 0.170 | |
| Day −5 | 4.2 (−1.5; 10.2) | −8.7 (−16.3; −0.5) | 4.6 (−0.7; 10.3) | −11.9 (−18.7; −4.5) | −0.1 (−0.7; 0.6) | −1.2 (−2.2; −0.2) |
| 0.148 | 0.038 | 0.090 | 0.002 | 0.828 | 0.018 | |
| Day −6 | 2.8 (−2.8; 8.7) | −6.5 (−13.3; 0.8) | 6.3 (0.8; 12.2) | −11.3 (−17.2; −5) | 0 (−0.7; 0.6) | −1 (−1.9; −0.2) |
| 0.327 | 0.079 | 0.026 | 0.001 | 0.966 | 0.021 | |
| 1 week | 5.9 (−0.6; 12.7) | −4.6 (−13.4; 5) | 7.4 (1; 14.1) | −12.7 (−20.4; −4.4) | 0.5 (−0.2; 1.3) | −0.9 (−2; 0.2) |
| 0.074 | 0.332 | 0.023 | 0.004 | 0.184 | 0.115 | |
Publisher’s Note: MDPI stays neutral with regard to jurisdictional claims in published maps and institutional affiliations. |
© 2021 by the authors. Licensee MDPI, Basel, Switzerland. This article is an open access article distributed under the terms and conditions of the Creative Commons Attribution (CC BY) license (http://creativecommons.org/licenses/by/4.0/).
Share and Cite
Monti, P.; Iodice, S.; Tarantini, L.; Sacchi, F.; Ferrari, L.; Ruscica, M.; Buoli, M.; Vigna, L.; Pesatori, A.C.; Bollati, V. Effects of PM Exposure on the Methylation of Clock Genes in A Population of Subjects with Overweight or Obesity. Int. J. Environ. Res. Public Health 2021, 18, 1122. https://doi.org/10.3390/ijerph18031122
Monti P, Iodice S, Tarantini L, Sacchi F, Ferrari L, Ruscica M, Buoli M, Vigna L, Pesatori AC, Bollati V. Effects of PM Exposure on the Methylation of Clock Genes in A Population of Subjects with Overweight or Obesity. International Journal of Environmental Research and Public Health. 2021; 18(3):1122. https://doi.org/10.3390/ijerph18031122
Chicago/Turabian StyleMonti, Paola, Simona Iodice, Letizia Tarantini, Francesca Sacchi, Luca Ferrari, Massimiliano Ruscica, Massimiliano Buoli, Luisella Vigna, Angela Cecilia Pesatori, and Valentina Bollati. 2021. "Effects of PM Exposure on the Methylation of Clock Genes in A Population of Subjects with Overweight or Obesity" International Journal of Environmental Research and Public Health 18, no. 3: 1122. https://doi.org/10.3390/ijerph18031122
APA StyleMonti, P., Iodice, S., Tarantini, L., Sacchi, F., Ferrari, L., Ruscica, M., Buoli, M., Vigna, L., Pesatori, A. C., & Bollati, V. (2021). Effects of PM Exposure on the Methylation of Clock Genes in A Population of Subjects with Overweight or Obesity. International Journal of Environmental Research and Public Health, 18(3), 1122. https://doi.org/10.3390/ijerph18031122

