Current Status and Temporal Trend of Potentially Toxic Elements Pollution in Agricultural Soil in the Yangtze River Delta Region: A Meta-Analysis
Abstract
1. Introduction
2. Materials and methods
2.1. Literature Collection and Data Extraction
2.2. Heterogeneity Test and Sensitivity Analysis
2.3. Chemical Analysis
2.4. Calculation of Weighted Mean Concentration
2.5. Potential Ecological Risk Evaluation
2.6. Data Analysis
3. Results
3.1. Publication Bias and Outlier Analysis
3.2. Overall Status of Soil PTEs Content in the YRD
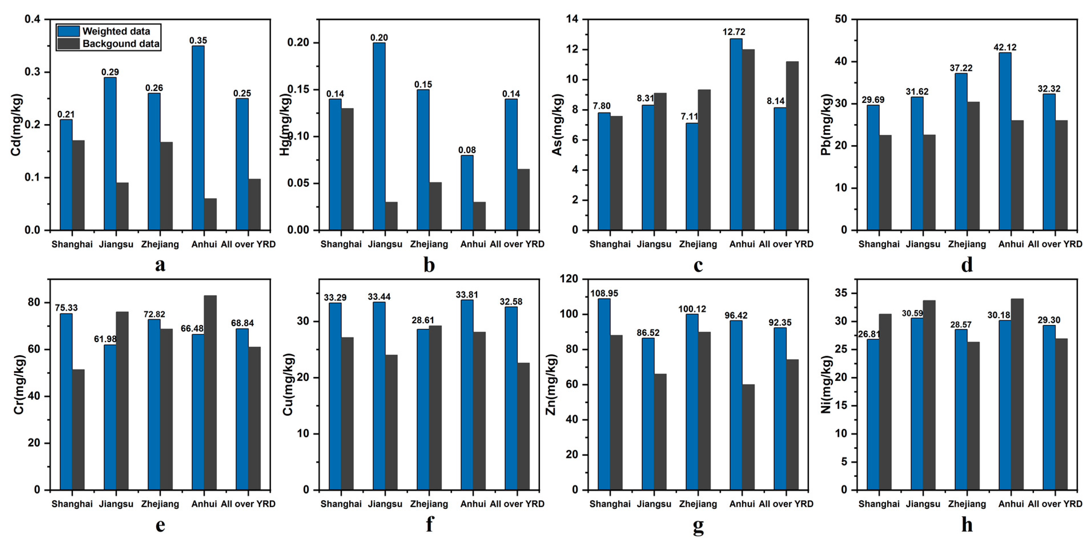
3.3. Spatial Distribution Pattern of Soil PTEs in the YRD
3.4. Ecological Risk Assessment of PTEs in the YRD
3.5. Temporal Trend Analysis of PTEs in Agricultural Soil of the YRD
4. Discussion
4.1. PTEs Pollution Characteristics in the YRD
4.2. Temporal Variation of Soil PTEs Content in YRD
4.3. Comparison with Previous Studies
| Region | Cd | Hg | As | Pb | Cr | Cu | Zn | Ni | Field Sampling/Review | Reference |
|---|---|---|---|---|---|---|---|---|---|---|
| YRD, China | 0.25 | 0.14 | 8.14 | 32.32 | 68.84 | 32.58 | 92.35 | 29.30 | Review (118 articles) | This study |
| YRD, China | 0.23 | 37.63 | 25.82 | 88.38 | 29.21 | 240 soil samples | [26] | |||
| Pearl River Delta, China | 0.58 | 40.00 | 71.40 | 33.00 | 84.70 | 21.10 | 38 soil samples | [63] | ||
| Heilongjiang, China | 0.10 | 0.05 | 8.53 | 21.29 | 59.45 | 26.04 | 450 soil samples | [65] | ||
| Hebei, China | 0.15 | 0.08 | 6.16 | 18.80 | 57.77 | 21.22 | 69.96 | 25.04 | 100 soil samples | [66] |
| Shanxi, China | 0.61 | 10.72 | 76.69 | 30.19 | 87.69 | 43.87 | 126 soil samples | [64] | ||
| Fujian, China | 0.26 | 22.60 | 91.94 | 49.01 | 27.92 | 27.46 | 272 soil samples | [67] | ||
| Hunan, China | 0.85 | 0.25 | 21.05 | 56.06 | 74.96 | 38.85 | 147.28 | 26.83 | Review | [68] |
| China | 0.25 | 0.16 | 9.50 | 34.90 | 65.30 | 30.70 | 85.30 | 30.70 | 138 soil samples | [69] |
5. Conclusions
Supplementary Materials
Author Contributions
Funding
Institutional Review Board Statement
Informed Consent Statement
Conflicts of Interest
References
- Clergue, B.; Amiaud, B.; Pervanchon, F.; Lasserre-Joulin, F.o.; Plantureux, S. Biodiversity: Function and assessment in agricultural areas. A review. Agron. Sustain. Dev. 2005, 25, 1–15. [Google Scholar] [CrossRef]
- Chen, Z.; Chen, Y.; Lei, T. Study on variation of cultivated land and matching of cultivated land with water resources. Water Resour. Hydrop. Eng. 2019, 50, 69–78. (In Chinese) [Google Scholar]
- Wu, J.; Song, J.; Li, W.; Zheng, M. The accumulation of heavy metals in agricultural land and the associated potential ecological risks in Shenzhen, China. Environ. Sci. Pollut. Res. Int. 2016, 23, 1428–1440. [Google Scholar] [CrossRef] [PubMed]
- Cai, L.; Xu, Z.; Bao, P.; He, M.; Dou, L.; Chen, L.; Zhou, Y.; Zhu, Y.-G. Multivariate and geostatistical analyses of the spatial distribution and source of arsenic and heavy metals in the agricultural soils in Shunde, Southeast China. J. Geochem. Explor. 2015, 148, 189–195. [Google Scholar] [CrossRef]
- Gao, J.; Strijker, D.; Song, G.; Li, S. Drivers behind farmers’ willingness to terminate arable land use contracts. Tijdschr. Econ. Soc. Geogr. 2018, 109, 73–86. [Google Scholar] [CrossRef]
- Ministry of Ecology and Environment of the People’s Republic of China (MEE of China). Soil Environmental Quality Risk Control Standard for Soil Contamination of Agricultural Land; MEE of China: Beijing, China, 2018. Available online: http://www.mee.gov.cn/ywgz/fgbz/bz/bzwb/trhj/201807/t20180703_446029.shtml (accessed on 1 August 2018).
- National Council of SPCAs (NSPCIR); Minisry of Environmental Protection; Ministry of Land and Resources. The National Soil Pollution Condition Investigation Report [EB/OL]; NSPCIR: Beijing, China, 2014. Available online: http://www.gov.cn/foot/site1/20140417/782bcb88840814ba158d01.pdf (accessed on 17 April 2014).
- Ren, Z.; Xiao, R.; Zhang, Z.; Lv, X.; Fei, X. Risk assessment and source identification of heavy metals in agricultural soil: A case study in the coastal city of Zhejiang Province, China. Stoch. Environ. Res. Risk A 2019, 33, 2109–2118. [Google Scholar] [CrossRef]
- Huang, S.S.; Liao, Q.L.; Hua, M.; Wu, X.M.; Bi, K.S.; Yan, C.Y.; Chen, B.; Zhang, X.Y. Survey of heavy metal pollution and assessment of agricultural soil in Yangzhong district, Jiangsu Province, China. Chemosphere 2007, 67, 2148–2155. [Google Scholar] [CrossRef]
- Hu, B.F.; Xue, J.; Zhou, Y.; Shao, S.; Fu, Z.Y.; Li, Y.; Chen, S.C.; Qi, L.; Shi, Z. Modelling bioaccumulation of heavy metals in soil-crop ecosystems and identifying its controlling factors using machine learning. Environ. Pollut. 2020, 262, 114308. [Google Scholar] [CrossRef]
- Hu, B.F.; Shao, S.; Fu, Z.Y.; Li, Y.; Ni, H.; Chen, S.C.; Zhou, Y.; Jin, B.; Shi, Z. Identifying heavy metal pollution hot spots in soil-rice systems: A case study in south of Yangtze River Delta, China. Sci. Total Environ. 2019, 658, 614–625. [Google Scholar] [CrossRef]
- Liu, Y.; Zhang, L.; Han, X.; Zhuang, T.; Shi, Z.; LU, X. Spatial variability and evaluation of soil heavy metal contamination in the urban-transect of Shanghai. Environ. Sci. 2012, 33, 599–605. (In Chinese) [Google Scholar]
- Tian, H.; Cheng, K.; Wang, Y.; Zhao, D.; Lu, L.; Jia, W.; Hao, J. Temporal and spatial variation characteristics of atmospheric emissions of Cd, Cr, and Pb from coal in China. Atmos. Environ. 2012, 50, 157–163. [Google Scholar] [CrossRef]
- Zhang, Y.; Hou, D.; O’Connor, D.; Shen, Z.; Shi, P.; Ok, Y.S.; Tsang, D.C.W.; Wen, Y.; Luo, M. Lead contamination in Chinese surface soils: Source identification, spatial-temporal distribution and associated health risks. Crit. Rev. Environ. Sci. Technol. 2019, 49, 1386–1423. [Google Scholar] [CrossRef]
- Gil, C.; Boluda, R.; Rodríguez Martín, J.A.; Guzmán, M.; del Moral, F.; Ramos-Miras, J. Assessing soil contamination and temporal trends of heavy metal contents in greenhouses on semiarid land. Land Degrad. Dev. 2018, 29, 3344–3354. [Google Scholar] [CrossRef]
- Li, P.; Zhi, Y.; Shi, J.; Zeng, L.; Wu, L. County-scale temporal-spatial distribution and variability tendency of heavy metals in arable soils influenced by policy adjustment during the last decade: A case study of Changxing, China. Environ. Sci. Pollut. Res. Int. 2015, 22, 17937–17947. [Google Scholar] [CrossRef] [PubMed]
- Hung, H.; Katsoyiannis, A.A.; Brorstrom-Lunden, E.; Olafsdottir, K.; Aas, W.; Breivik, K.; Bohlin-Nizzetto, P.; Sigurdsson, A.; Hakola, H.; Bossi, R.; et al. Temporal trends of persistent organic pollutants (pops) in arctic air: 20 years of monitoring under the arctic monitoring and assessment programme (amap). Environ. Pollut. 2016, 217, 52–61. [Google Scholar] [CrossRef]
- Hu, B.F.; Jia, X.L.; Hu, J.; Xu, D.Y.; Xia, F.; Li, Y. Assessment of heavy metal pollution and health risks in the soil-plant-human system in the Yangtze River Delta, China. Int. J. Environ. Res. Public Health 2017, 14, 1042. [Google Scholar] [CrossRef] [PubMed]
- Tan, M.-Z.; Xu, F.-M.; Chen, J.; Zhang, X.-L.; Chen, J.-Z. Spatial prediction of heavy metal pollution for soils in peri-urban Beijing, China based on fuzzy set theory. Pedosphere 2006, 16, 545–554. [Google Scholar] [CrossRef]
- Fu, T.T.; Zhao, R.Y.; Hu, B.F.; Jia, X.L.; Wang, Z.; Zhou, L.; Huang, M.X.; Li, Y.; Shi, Z. Novel framework for modelling the cadmium balance and accumulation in farmland soil in Zhejiang Province, East China: Sensitivity analysis, parameter optimisation, and forecast for 2050. J. Clean. Prod. 2021, 279, 123674. [Google Scholar] [CrossRef]
- Li, X.; Ding, S.; Chen, W.; Wang, X.; lv, S.; Liu, R. Construction and application of early warning system for soil environmental quality. Environ. Sci. 2020, 41, 2834–2841. (In Chinese) [Google Scholar]
- Bengtsson, J.; AhnstrÖM, J.; Weibull, A.-C. The effects of organic agriculture on biodiversity and abundance: A meta-analysis. J. Appl. Ecol. 2005, 42, 261–269. [Google Scholar] [CrossRef]
- Knapp, S.; van der Heijden, M.G.A. A global meta-analysis of yield stability in organic and conservation agriculture. Nat. Commun. 2018, 9, 3632. [Google Scholar] [CrossRef] [PubMed]
- Guo, L.B.; Gifford, R.M. Soil carbon stocks and land use change: A meta-analysis. Global Change Biol. 2010, 8, 345–360. [Google Scholar] [CrossRef]
- Huang, Y.; Wang, L.; Wang, W.; Li, T.; He, Z.; Yang, X. Current status of agricultural soil pollution by heavy metals in China: A meta-analysis. Sci. Total Environ. 2019, 651, 3034–3042. [Google Scholar] [CrossRef] [PubMed]
- Shao, D.; Zhan, Y.; Zhou, W.; Zhu, L. Current status and temporal trend of heavy metals in farmland soil of the Yangtze River Delta region: Field survey and meta-analysis. Environ. Pollut. 2016, 219, 329–336. [Google Scholar] [CrossRef]
- Hu, B.F.; Shao, S.; Fu, T.T.; Fu, Z.Y.; Zhou, Y.; Li, Y.; Qi, L.; Chen, S.C.; Shi, Z. Composite assessment of human health risk from potentially toxic elements through multiple exposure routes: A case study in farmland in an important industrial city in East China. J. Geochem. Explor. 2020, 210, 106443. [Google Scholar] [CrossRef]
- Xia, F.; Hu, B.F.; Shao, S.; Xu, D.Y.; Zhou, Y.; Zhou, Y.; Huang, M.X.; Li, Y.; Chen, S.C.; Shi, Z. Improvement of spatial modeling of Cr, Pb, Cd, As and Ni in soil based on Portable X-ray Fluorescence (PXRF) and Geostatistics: A case study in East China. Int. J. Environ. Res. Public Health 2019, 16, 2694. [Google Scholar] [CrossRef]
- Hang, X.; Wang, H.; Zhou, J. Prevention and regulation countermeasures of soil heavy metal contamination in Yangtze River Delta. Chin. J. Soil Sci. 2013, 44, 245–251. (In Chinese) [Google Scholar]
- State Environmental Protection Administration of China (SEPAC). Soil Quality Determination of Total Chromium, Zinc, Copper, Nickel, Cadmium, and Lead Contents (GB/T 17134-17141); Chinese Environment Press: Beijing, China, 1997. (In Chinese)
- State Environmental Protection Administration of China (SEPAC). Soil Quality-Analysis of total Mercury, Arsenic and Lead contents (GB/T 22105-2008); Chinese Environment Press: Beijing, China, 2008. (In Chinese)
- Higgins, J.P.T.; Thompson, S.G.; Deeks, J.J.; Altman, D.G. Measuring inconsistency in meta-analyses. BMJ 2003, 327, 557–560. [Google Scholar] [CrossRef]
- Wang, D.; Zhai, J.; Mou, Z.; Zong, H.; Zhao, X.; Wang, X.; Gu, P. Discussing on the Research of Heterogeneity in Meta-analysis. Chin. J. Evid. Based Med. 2009, 9, 1115–1118. (In Chinese) [Google Scholar]
- Viechtbauer, W.; Cheung, M.W. Outlier and influence diagnostics for meta-analysis. Res. Synth. Methods 2010, 1, 112–125. [Google Scholar] [CrossRef]
- Hakanson, L. An ecological risk index for aquatic pollution control. A sedimentological approach. Water Res. 1980, 14, 975–1001. [Google Scholar] [CrossRef]
- Viechtbauer, W. Conducting meta-analyses in r with the metafor package. J. Stat. Softw. 2010, 36, 1–48. [Google Scholar] [CrossRef]
- Wei, F.; Yang, G.; Jiang, D.; Liu, Z.; Sun, B. Basic statistics and characteristics of background values of soil elements in China. Environ. Monit. China 1991, 1, 1–6. (In Chinese) [Google Scholar]
- Dai, F.; Li, X. A preliminary study on background levels of thirteen priority metals in soil of Shanghai. Shanghai Environ. Sci. 2009, 28, 271–274. (In Chinese) [Google Scholar]
- Liao, Q.; Liu, C.; Xu, Y.; Jin, Y.; Wu, Y.; Hua, M.; Zhu, B.; Wong, Z. Geochemical baseline values of elements in soil of Jiangsu Province. Geol. China 2011, 38, 1363–1378. (In Chinese) [Google Scholar]
- Wang, Q.; Dong, Y.; Zhou, G.; Zhen, W. Soil geochemical baseline values and environmental background values in Zhejiang, China. Geol. China. 2007, 05, 590–597. (In Chinese) [Google Scholar]
- Cheng, H.; Li, K.; Li, M.; Yang, K.; Liu, F.; Cheng, X. Geochemical background and baseline value of chemical elements in urban soil in China. Earth Sci. Front. 2014, 21, 265–306. (In Chinese) [Google Scholar]
- Facchinelli, A.; Sacchi, E.; Mallen, L. Multivariate statistical and GIS-based approach to identify heavy metal sources in soils. Environ. Pollut. 2001, 114, 313–324. [Google Scholar] [CrossRef]
- De Vries, W.; Lofts, S.; Tipping, E.; Meili, M.; Groenenberg, J.E.; Schutze, G. Impact of soil properties on critical concentrations of cadmium, lead, copper, zinc, and mercury in soil and soil solution in view of ecotoxicological effects. Rev. Environ. Contam. Toxicol. 2007, 191, 47–89. [Google Scholar]
- Krishna, A.K.; Govil, P.K. Heavy metal contamination of soil around Pali industrial area, Rajasthan, India. Environ. Geol. 2004, 47, 38–44. [Google Scholar] [CrossRef]
- Loska, K.; Wiechuła, D.; Korus, I. Metal contamination of farming soils affected by industry. Environ. Int. 2004, 30, 159–165. [Google Scholar] [CrossRef]
- Wang, C.; Yuan, X.; Chen, Y.; Ji, J.; Xi, B. BB Quantification of contributions from different sources on heavy metals accumulation in the paddy soil from Suzhou area. Acta Sci. Circumstantiae 2015, 35, 3269–3275. (In Chinese) [Google Scholar]
- Zhu, J.; Wang, T.; Bieser, J.; Matthias, V. Source attribution and process analysis for atmospheric mercury in eastern China simulated by CMAQ-Hg. Atmos. Chem. Phys. 2015, 15, 8767–8779. [Google Scholar] [CrossRef]
- Dong, L.; Hu, W.; Huang, B.; Liu, G. Source of heavy metal in soils of a typical vegetable production system along Yangtze River in Nanjing. Acta Pedol. Sin. 2013, 51, 1251–1261. [Google Scholar]
- Lu, S.; Teng, Y.; Wang, Y.; Wu, J.; Wang, J. Research on the ecological risk of heavy metals in the soil around a Pb–Zn mine in the Huize county, China. Chin. J. Geochem. 2015, 34, 540–549. [Google Scholar] [CrossRef]
- Zhong, X.; Chen, Z.; Li, Y.; Ding, K.; Liu, W.; Liu, Y.; Yuan, Y.; Zhang, M.; Baker, A.J.M.; Yang, W.; et al. Factors influencing heavy metal availability and risk assessment of soils at typical metal mines in Eastern China. J. Hazard. Mater. 2020, 400, 123289. [Google Scholar] [CrossRef]
- Shi, T.R.; Ma, J.; Wu, X.; Ju, T.A.; Lin, X.L.; Zhang, Y.Y.; Li, X.H.; Gong, Y.W.; Hou, H.; Zhao, L.; et al. Inventories of heavy metal inputs and outputs to and from agricultural soils: A review. Ecotox. Environ. Saf. 2018, 164, 118–124. [Google Scholar] [CrossRef]
- Xu, Y.L.; Tang, H.M.; Liu, T.X.; Li, Y.F.; Huang, X.J.; Pi, J. Effects of long-term fertilization practices on heavy metal cadmium accumulation in the surface soil and rice plants of double-cropping rice system in Southern China. Environ. Sci. Pollut. R. 2018, 25, 19836–19844. [Google Scholar] [CrossRef]
- Hu, B.F.; Shao, S.; Ni, H.; Fu, Z.Y.; Huang, M.X.; Chen, Q.X.; Shi, Z. Assessment of potentially toxic element pollution in soils and related health risks in 271 cities across China. Environ. Pollut. 2020, 270, 116196. [Google Scholar] [CrossRef]
- Pogrzeba, M.; Rusinowski, S.; Krzyzak, J. Macroelements and heavy metals content in energy crops cultivated on contaminated soil under different fertilization-case studies on autumn harvest. Environ. Sci. Pollut. Res. 2018, 25, 12096–12106. [Google Scholar] [CrossRef]
- Brazauskiene, D.-M.; Paulauskas, V.; Sabiene, N. Speciation of Zn, Cu, and Pb in the soil depending on soil texture and fertilization with sewage sludge compost. J. Soil. Sedim. 2008, 8, 184–192. [Google Scholar] [CrossRef]
- Luo, L.; Ma, Y.B.; Zhang, S.Z.; Wei, D.P.; Zhu, Y.G. An inventory of trace element inputs to agricultural soils in China. J. Environ. Manag. 2009, 90, 2524–2530. [Google Scholar] [CrossRef] [PubMed]
- Shi, T.R.; Zhang, Y.Y.; Gong, Y.W.; Ma, J.; Wei, H.Y.; Wu, X.; Zhao, L.; Hou, H. Status of cadmium accumulation in agricultural soils across China (1975–2016): From temporal and spatial variations to risk assessment. Chemosphere 2019, 230, 136–143. [Google Scholar] [CrossRef] [PubMed]
- Salman, S.A.; Elnazer, A.A.; El Nazer, H.A. Integrated mass balance of some heavy metals fluxes in yaakob village, South Sohag, Egypt. Int. J. Environ. Sci. Technol. 2016, 14, 1011–1018. [Google Scholar] [CrossRef]
- Shi, T.; Ma, J.; Wu, F.; Ju, T.; Gong, Y.; Zhang, Y.; Wu, X.; Hou, H.; Zhao, L.; Shi, H. Mass balance-based inventory of heavy metals inputs to and outputs from agricultural soils in Zhejiang Province, China. Sci. Total Environ. 2019, 649, 1269–1280. [Google Scholar] [CrossRef]
- Hou, Q.; Yang, Z.; Ji, J.; Yu, T.; Chen, G.; Li, J.; Xia, X.; Zhang, M.; Yuan, X. Annual net input fluxes of heavy metals of the agro-ecosystem in the Yangtze River Delta, China. J. Geochem. Explor. 2014, 139, 68–84. [Google Scholar] [CrossRef]
- Schipper, P.N.M.; Bonten, L.T.C.; Plette, A.C.C.; Moolenaar, S.W. Measures to diminish leaching of heavy metals to surface waters from agricultural soils. Desalination 2008, 226, 89–96. [Google Scholar] [CrossRef]
- Deng, L.; Li, Z.; Wang, J.; Liu, H.; Li, N.; Wu, L.; Hu, P.; Luo, Y.; Christie, P. Long-term field phytoextraction of zinc/cadmium contaminated soil by sedum plumbizincicola under different agronomic strategies. Int. J. Phytoremediat. 2016, 18, 134–140. [Google Scholar] [CrossRef]
- Wong, S.C.; Li, X.D.; Zhang, G.; Qi, S.H.; Min, Y.S. Heavy metals in agricultural soils of the Pearl River Delta, South China. Environ. Pollut. 2002, 119, 33–44. [Google Scholar] [CrossRef]
- Li, W.; Xie, Y. Assessment on heavy metal pollution of soil in main vegetable areas of Shanxi Province. J. Libr. Inform. Sci. 2010, 20, 157–160. (In Chinese) [Google Scholar]
- Hu, B.F.; Zhou, Y.; Jiang, Y.F.; Ji, W.J.; Fu, Z.Y.; Shao, S.; Li, S.; Huang, M.X.; Zhou, L.Q.; Shi, Z. Spatio-temporal variation and source changes of potentially toxic elements in soil on a typical plain of the Yangtze River Delta, China (2002–2012). J. Environ. Manag. 2020, 271, 110943. [Google Scholar] [CrossRef] [PubMed]
- Yang, P.; Mao, R.; Shao, H.; Gao, Y. An investigation on the distribution of eight hazardous heavy metals in the suburban farmland of China. J. Hazard. Mater. 2009, 167, 1246–1251. [Google Scholar] [CrossRef] [PubMed]
- Kang, Z.; Wang, S.; Qin, J.; Wu, R.; Li, H. Pollution characteristics and ecological risk assessment of heavy metals in paddy fields of Fujian Province, China. Sci. Rep. 2020, 10, 12244. [Google Scholar] [CrossRef]
- Li, X.; Zhao, Z.; Yuan, Y.; Wang, X.; Li, X. Heavy metal accumulation and its spatial distribution in agricultural soils: Evidence from Hunan Province, China. RSC Adv. 2018, 8, 10665–10672. [Google Scholar] [CrossRef]
- Hu, B.F.; Shao, S.; Ni, H.; Fu, Z.Y.; Hu, L.; Zhou, Y.; Min, X.X.; She, S.F.; Chen, S.C.; Huang, M.X.; et al. Current status, spatial features, health risks, and potential driving factors of soil heavy metal pollution in China at province level. Environ. Pollut. 2020, 266, 114961. [Google Scholar] [CrossRef] [PubMed]
- Song, W.; Chen, B.; Liu, L. Soil heavy metal pollution of cultivated land in China. Res. Soil Water Conserv. 2013, 20, 293–298. (In Chinese) [Google Scholar]
- Lei, M.; Zeng, M.; Wang, L. Arsenic, lead, and cadmium pollution in rice from Hunan markets and contaminated areas and their health risk assessment. Acta Sci. Circumst. 2010, 30, 2314–2320. (In Chinese) [Google Scholar]
- Liu, B.; Li, T.; Cai, Y. Brief introduction to status quo, hazards and repair methods of cadmium rice. Mod. Food 2018, 21, 86–89. (In Chinese) [Google Scholar]






| Element | Cd | Hg | As | Pb | Cr | Cu | Zn | Ni |
|---|---|---|---|---|---|---|---|---|
| Numbers of sites | 153 | 121 | 127 | 175 | 137 | 120 | 104 | 49 |
| Number of sampling points | 27,210 | 255,447 | 29,290 | 31,432 | 22,183 | 20,888 | 20,104 | 10,549 |
| Weighted mean values a | 0.25 | 0.14 | 8.14 | 32.32 | 68.84 | 32.58 | 92.35 | 29.30 |
| Number of outliers | 2 | 1 | 1 | 0 | 2 | 0 | 1 | 0 |
| Background values b | 0.10 | 0.07 | 11.20 | 26.00 | 61.00 | 22.60 | 74.20 | 26.90 |
| Standard values c | 0.30 | 0.50 | 30.00 | 80.00 | 250.00 | 150.00 | 200.00 | 60.00 |
| Percentage of exceedances d | 26.14% | 1.65% | 1.57% | 3.43% | 0 | 0.83% | 6.94% | 0 |
| Region | City | Cd | Hg | As | Pb | Cr | Cu | Zn | Ni | Total |
|---|---|---|---|---|---|---|---|---|---|---|
| Entire YRD | 77.3 | 88.6 | 7.3 | 6.2 | 2.2 | 7.2 | 1.2 | 5.4 | 195.5 | |
| Shanghai | 36.9 | 43.2 | 10.3 | 6.6 | 2.9 | 6.1 | 1.2 | 4.3 | 111.6 | |
| Jiangsu | 97.1 | 264.9 | 9.1 | 7.0 | 1.6 | 7.0 | 1.3 | 4.5 | 392.6 | |
| Nanjing | 170.7 | 269.0 | 11.8 | 7.2 | 2.0 | 7.9 | 1.5 | 5.2 | 475.3 | |
| Wuxi | 49.2 | 121.4 | 12.0 | 9.1 | 1.5 | 7.2 | 1.3 | 0.0 | 201.8 | |
| Changzhou | 62.0 | 0.0 | 11.2 | 8.3 | 1.4 | 7.9 | 1.5 | 4.3 | 96.6 | |
| Suzhou | 55.7 | 297.3 | 9.7 | 7.4 | 1.7 | 7.2 | 1.4 | 4.5 | 384.9 | |
| Nantong | 23.2 | 115.7 | 8.0 | 6.9 | 1.1 | 4.3 | 0.0 | 0.0 | 159.2 | |
| Yancheng | 36.5 | 52.0 | 7.7 | 3.4 | 1.6 | 3.8 | 1.4 | 3.5 | 109.8 | |
| Yangzhou | 44.0 | 138.7 | 10.5 | 5.7 | 1.9 | 5.8 | 1.1 | 4.6 | 212.3 | |
| Zhenjiang | 42.0 | 0.0 | 0.0 | 5.7 | 1.5 | 6.0 | 0.0 | 5.3 | 60.5 | |
| Taizhou | 206.7 | 164.0 | 7.8 | 6.9 | 1.5 | 5.6 | 0.0 | 3.6 | 396.1 | |
| Zhejiang | 45.7 | 128.7 | 7.6 | 6.1 | 2.1 | 4.9 | 1.1 | 5.4 | 201.6 | |
| Hangzhou | 39.7 | 62.7 | 8.7 | 4.5 | 1.4 | 5.0 | 0.5 | 3.4 | 12.9 | |
| Ningbo | 55.7 | 135.6 | 5.6 | 7.3 | 2.3 | 6.1 | 1.0 | 5.7 | 219.4 | |
| Jiaxing | 35.0 | 156.5 | 9.5 | 6.5 | 2.1 | 4.7 | 1.0 | 6.9 | 222.0 | |
| Huzhou | 44.0 | 159.8 | 9.0 | 5.0 | 2.1 | 3.9 | 1.1 | 6.6 | 231.6 | |
| Shaoxing | 0.0 | 103.5 | 7.8 | 5.7 | 1.9 | 5.3 | 1.1 | 4.5 | 129.8 | |
| Jinhua | 0.0 | 56.2 | 9.6 | 8.0 | 0.0 | 6.5 | 1.2 | 0.0 | 81.6 | |
| Taizhou | 28.7 | 148.2 | 7.8 | 5.1 | 1.7 | 4.6 | 0.0 | 4.8 | 200.9 | |
| Anhui | 181.9 | 111.3 | 10.6 | 9.5 | 2.6 | 6.2 | 1.6 | 4.6 | 328.4 | |
| Hefei | 120.0 | 46.7 | 4.9 | 5.8 | 0.8 | 4.7 | 1.4 | 3.1 | 187.3 | |
| Wuhu | 13.0 | 154.7 | 11.3 | 11.4 | 2.6 | 4.7 | 1.9 | 5.4 | 205.0 | |
| Maanshan | 0.0 | 16.7 | 0.0 | 0.0 | 0.0 | 0.0 | 0.0 | 0.0 | 16.7 | |
| Tongling | 420.0 | 108.4 | 17.2 | 32.1 | 6.4 | 34.4 | 3.8 | 0.0 | 513.9 | |
| Anqing | 0.0 | 0.0 | 11.6 | 0.0 | 0.0 | 0.0 | 0.0 | 0.0 | 11.6 | |
| Chuzhou | 0.0 | 185.3 | 7.1 | 8.8 | 2.7 | 4.0 | 1.0 | 4.2 | 213.1 | |
| Chizhou | 236.7 | 107.5 | 10.5 | 10.4 | 0.0 | 4.3 | 0.0 | 0.0 | 369.3 | |
| Xuancheng | 62.0 | 0.0 | 0.0 | 7.4 | 0.0 | 0.0 | 0.0 | 0.0 | 69.4 |
Publisher’s Note: MDPI stays neutral with regard to jurisdictional claims in published maps and institutional affiliations. |
© 2021 by the authors. Licensee MDPI, Basel, Switzerland. This article is an open access article distributed under the terms and conditions of the Creative Commons Attribution (CC BY) license (http://creativecommons.org/licenses/by/4.0/).
Share and Cite
She, S.; Hu, B.; Zhang, X.; Shao, S.; Jiang, Y.; Zhou, L.; Shi, Z. Current Status and Temporal Trend of Potentially Toxic Elements Pollution in Agricultural Soil in the Yangtze River Delta Region: A Meta-Analysis. Int. J. Environ. Res. Public Health 2021, 18, 1033. https://doi.org/10.3390/ijerph18031033
She S, Hu B, Zhang X, Shao S, Jiang Y, Zhou L, Shi Z. Current Status and Temporal Trend of Potentially Toxic Elements Pollution in Agricultural Soil in the Yangtze River Delta Region: A Meta-Analysis. International Journal of Environmental Research and Public Health. 2021; 18(3):1033. https://doi.org/10.3390/ijerph18031033
Chicago/Turabian StyleShe, Shufeng, Bifeng Hu, Xianglin Zhang, Shuai Shao, Yefeng Jiang, Lianqing Zhou, and Zhou Shi. 2021. "Current Status and Temporal Trend of Potentially Toxic Elements Pollution in Agricultural Soil in the Yangtze River Delta Region: A Meta-Analysis" International Journal of Environmental Research and Public Health 18, no. 3: 1033. https://doi.org/10.3390/ijerph18031033
APA StyleShe, S., Hu, B., Zhang, X., Shao, S., Jiang, Y., Zhou, L., & Shi, Z. (2021). Current Status and Temporal Trend of Potentially Toxic Elements Pollution in Agricultural Soil in the Yangtze River Delta Region: A Meta-Analysis. International Journal of Environmental Research and Public Health, 18(3), 1033. https://doi.org/10.3390/ijerph18031033

