Associations of Medical Visits with Dentist Visits: A Register-Linkage Study of a Working-Age Population in Finland
Abstract
:1. Introduction
2. Materials and Methods
2.1. Study Population
2.2. Data on Outpatient Medical Visits and Dental Care Visits
2.3. Covariates
2.4. Statistical Methods
3. Results
3.1. Distributions of Medical and Dentist Visits
3.2. Adjusted Associations of Medical and Dentist Visits
4. Discussion
5. Conclusions
Supplementary Materials
Author Contributions
Funding
Institutional Review Board Statement
Informed Consent Statement
Data Availability Statement
Conflicts of Interest
Appendix A
| Model 1 | Model 2 | |||||
|---|---|---|---|---|---|---|
| OR | 95% CI | p-Value | OR | 95% CI | p-Value | |
| Intercept | 0.27 | (0.25, 0.29) | <0.001 | 0.35 | (0.33, 0.38) | <0.001 |
| Total medical visits | ||||||
| 0 (ref.) | 1 | |||||
| 1–2 | 1.43 | (1.33, 1.53) | <0.001 | |||
| 3–5 | 1.67 | (1.58, 1.76) | <0.001 | |||
| 6–10 | 1.98 | (1.88, 2.10) | <0.001 | |||
| >10 | 2.6 | (2.47, 2.75) | <0.001 | |||
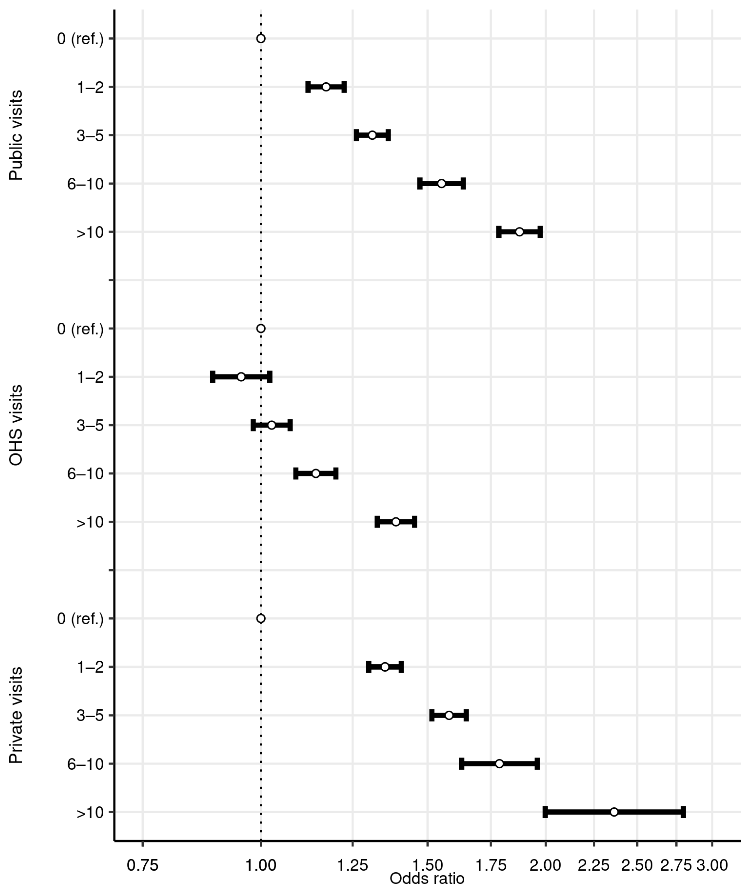
| Public visits | ||||||
| 0 (ref.) | 1 | |||||
| 1–2 | 1.17 | (1.12, 1.22) | <0.001 | |||
| 3–5 | 1.31 | (1.26, 1.36) | <0.001 | |||
| 6–10 | 1.55 | (1.47, 1.64) | <0.001 | |||
| >10 | 1.88 | (1.78, 1.97) | <0.001 | |||
| OHS visits | ||||||
| 0 (ref.) | 1 | |||||
| 1–2 | 0.95 | (0.89, 1.02) | 0.176 | |||
| 3–5 | 1.03 | (0.98, 1.07) | 0.255 | |||
| 6–10 | 1.14 | (1.09, 1.20) | <0.001 | |||
| >10 | 1.39 | (1.33, 1.45) | <0.001 | |||
| Private visits | ||||||
| 0 (ref.) | 1 | |||||
| 1–2 | 1.35 | (1.30, 1.41) | <0.001 | |||
| 3–5 | 1.58 | (1.52, 1.65) | <0.001 | |||
| 6–10 | 1.79 | (1.63, 1.96) | <0.001 | |||
| >10 | 2.36 | (2.00, 2.80) | <0.001 | |||
| Education | ||||||
| Upper tertiary | 1.26 | (1.18, 1.34) | <0.001 | 1.23 | (1.15, 1.31) | <0.001 |
| Lower tertiary | 1.38 | (1.31, 1.46) | <0.001 | 1.35 | (1.28, 1.43) | <0.001 |
| Secondary | 1.22 | (1.16, 1.28) | <0.001 | 1.21 | (1.15, 1.27) | <0.001 |
| Basic (ref.) | 1 | 1 | ||||
| Occupational class | ||||||
| U. non-manual employee | 1.02 | (0.97, 1.08) | 0.455 | 1 | (0.95, 1.06) | 0.966 |
| L. non-manual employee | 1.02 | (0.98, 1.07) | 0.307 | 1.02 | (0.97, 1.07) | 0.507 |
| Manual worker (ref.) | 1 | 1 | ||||
| Entrepreneur | 1.25 | (1.17, 1.34) | <0.001 | 1.08 | (1.00, 1.16) | 0.043 |
| Other | 1.11 | (1.06, 1.17) | <0.001 | 1.06 | (1.01, 1.12) | 0.024 |
| Income | ||||||
| Quantile 5 | 2.33 | (2.19, 2.47) | <0.001 | 2.46 | (2.31, 2.62) | <0.001 |
| Quantile 4 | 1.78 | (1.69, 1.88) | <0.001 | 1.88 | (1.77, 1.99) | <0.001 |
| Quantile 3 | 1.59 | (1.51, 1.67) | <0.001 | 1.64 | (1.55, 1.73) | <0.001 |
| Quantile 2 | 1.36 | (1.30, 1.43) | <0.001 | 1.36 | (1.30, 1.43) | <0.001 |
| Quantile 1 (ref.) | 1 | 1 | ||||
| Sex | ||||||
| Male (ref.) | 1 | 1 | ||||
| Female | 1.59 | (1.54, 1.65) | <0.001 | 1.49 | (1.45, 1.54) | <0.001 |
| Number of entitlements to special medicine reimbursements | 1.01 | (1.00, 1.03) | 0.106 | 1 | (0.99, 1.02) | 0.581 |
| Age group | ||||||
| 25–34 (ref.) | 1 | 1 | ||||
| 35–44 | 1.13 | (1.09, 1.17) | <0.001 | 1.13 | (1.08, 1.17) | <0.001 |
| 45–54 | 1.64 | (1.57, 1.70) | <0.001 | 1.62 | (1.56, 1.69) | <0.001 |
| 55–64 | 2.03 | (1.94, 2.12) | <0.001 | 1.96 | (1.87, 2.05) | <0.001 |
References
- Regidor, E.; Martínez, D.; E Calle, M.; Astasio, P.; Ortega, P.; Domínguez, V. Socioeconomic patterns in the use of public and private health services and equity in health care. BMC Health Serv. Res. 2008, 8, 183. [Google Scholar] [CrossRef] [PubMed] [Green Version]
- Lostao, L.; Blane, D.; Gimeno, D.; Netuveli, G.; Regidor, E. Socioeconomic patterns in use of private and public health services in Spain and Britain: Implications for equity in health care. Health Place 2014, 25, 19–25. [Google Scholar] [CrossRef]
- Kailembo, A.; Quiñonez, C.; Mitnik, G.V.L.; Weintraub, J.A.; Williams, J.S.; Preet, R.; Iafolla, T.; Dye, B.A. Income and wealth as correlates of socioeconomic disparity in dentist visits among adults aged 20 years and over in the United States, 2011–2014. BMC Oral Health 2018, 18, 147. [Google Scholar] [CrossRef]
- Blomgren, J.; Virta, L.J. Socioeconomic differences in use of public, occupational and private health care: A register-linkage study of a working-age population in Finland. PLoS ONE 2020, 15, e0231792. [Google Scholar] [CrossRef] [PubMed] [Green Version]
- Nurminen, M.; Blomgren, J.; Mikkola, H. Socioeconomic differences in utilization of public and private dental care in Finland: Register-based evidence on a population aged 25 and over. PLoS ONE 2021, 16, e0255126. [Google Scholar] [CrossRef]
- Reho, T.T.; Atkins, S.; Talola, N.; Viljamaa, M.; Sumanen, M.P.; Uitti, J. Frequent attenders in occupational health primary care: A cross-sectional study. Scand. J. Public Health 2019, 47, 28–36. [Google Scholar] [CrossRef]
- Perhoniemi, R.; Blomgren, J. Frequent attenders of three outpatient health care schemes in Finland: Characteristics and association with long-term sickness absences, 2016–2018. BMC Public Health 2021, 21, 1–14. [Google Scholar] [CrossRef]
- Vedsted, P.; Olesen, F. Social environment and frequent attendance in Danish general practice. Br. J. Gen. Pract. 2005, 55, 510–515. [Google Scholar]
- Pymont, C.; Butterworth, P. Longitudinal cohort study describing persistent frequent attenders in Australian primary healthcare. BMJ Open 2015, 5, e008975. [Google Scholar] [CrossRef]
- Martin, S.A.; Simon, L. Oral Health and Medicine Integration: Overcoming Historical Artifact to Relieve Suffering. Am. J. Public Health 2017, 107, S30–S31. [Google Scholar] [CrossRef] [PubMed]
- Hung, M.; Moffat, R.; Gill, G.; Lauren, E.; Ruiz-Negrón, B.; Rosales, M.N.; Richey, J.; Licari, F.W. Oral health as a gateway to overall health and well-being: Surveillance of the geriatric population in the United States. Spéc. Care Dent. 2019, 39, 354–361. [Google Scholar] [CrossRef]
- Sabbah, W.; Folayan, M.O.; El Tantawi, M. The Link between Oral and General Health. Int. J. Dent. 2019, 2019, 1–2. [Google Scholar] [CrossRef] [PubMed] [Green Version]
- Nguyen, L.; Hakkinen, U. Choices and utilization in dental care: Public vs. private dental sectors, and the impact of a two-channel financed health care system. Eur. J. Health Econ. 2006, 7, 99–106. [Google Scholar] [CrossRef] [PubMed]
- Agerholm, J.; Bruce, D.; de Leon, A.P.; Burström, B. Socioeconomic differences in healthcare utilization, with and without adjustment for need: An example from Stockholm, Sweden. Scand. J. Public Health 2013, 41, 318–325. [Google Scholar] [CrossRef]
- Brennan, D.S.; Luzzi, L.; Roberts-Thomson, K.F. Dental service patterns among private and public adult patients in Australia. BMC Health Serv. Res. 2008, 8, 1. [Google Scholar] [CrossRef] [Green Version]
- van Doorslaer, E.; Masseria, C.; Koolman, X. OECD Health Equity Research Group. Inequalities in access to medical care by income in developed countries. CMAJ 2006, 174, 177–183. [Google Scholar] [CrossRef] [Green Version]
- Manderbacka, K.; Häkkinen, U.; Nguyen, L.; Pirkola, S.; Ostamo, A.; Keskimäki, I. Health care services. In Health Inequalities in Finland. Trends in Socioeconomic Health Differences 1980–2005; Palosuo, H., Koskinen, S., Lahelma, E., Kostiainen, E., Prättälä, R., Martelin, T., Ostamo, A., Keskimäki, I., Sihto, M., Linnanmäki, E., Eds.; Ministry of Social Affairs and Health Publications: Helsinki, Finland, 2009; Volume 9, pp. 178–194. [Google Scholar]
- Keskimäki, I.; Tynkkynen, L.K.; Reissell, E.; Koivusalo, M.; Syrja, V.; Vuorenkoski, L.; Rechel, B.; Karanikolos, M. Finland: Health System Review. Health Syst. Transit. 2019, 21, 1–166. [Google Scholar]
- Lappalainen, K.; Aminoff, M.; Hakulinen, H.; Hirvonen, M.; Räsänen, K.; Sauni, R.; Stengård, J. Työterveyshuolto Suomessa 2015 ja kehit-ystrendi 2000–2015 [Occupational Health Care in Finland 2015 and Trend in 2000–2015]; Finnish Institute for Occupational Health: Helsinki, Finland, 2016. [Google Scholar]
- Official Statistics of Finland. Kelasto Database: Reimbursements of Medical Expenses: Number of Recipients and Reimbursements Paid out. 2021. Available online: http://raportit.kela.fi/linkki/9123705 (accessed on 25 August 2021).
- Cohen, L.A.; Bonito, A.J.; Eicheldinger, C.; Manski, R.J.; Macek, M.; Edwards, R.R.; Khanna, N. Behavioral and Socioeconomic Correlates of Dental Problem Experience and Patterns of Health Care-Seeking. J. Am. Dent. Assoc. 2011, 142, 137–149. [Google Scholar] [CrossRef] [PubMed]
- Strauss, S.M.; Alfano, M.C.; Shelley, D.; Fulmer, T. Identifying Unaddressed Systemic Health Conditions at Dental Visits: Patients Who Visited Dental Practices but Not General Health Care Providers in 2008. Am. J. Public Health 2012, 102, 253–255. [Google Scholar] [CrossRef]
- Lutfiyya, M.N.; Gross, A.J.; Soffe, B.; Lipsky, M.S. Dental care utilization: Examining the associations between health services deficits and not having a dental visit in past 12 months. BMC Public Health 2019, 19, 265. [Google Scholar] [CrossRef] [PubMed] [Green Version]
- Hall, G.; Dai, W.F.; Lim, S. Association between primary heath care and dental service use among supportive housing tenants with behavioral health conditions. Community Dent. Oral Epidemiol. 2021, 49, 70–77. [Google Scholar] [CrossRef] [PubMed]
- Blomgren, J.; Jäppinen, S. Social and Health Care Services and Social Security Benefits in Oulu in 2013–2018. Basic Description of Data; Working Papers; Kela: Helsinki, Finland, 2020; Volume 154, (In Finnish with English Abstract). [Google Scholar]
- Hujanen, T.; Mikkola, H. Työterveyshuollon kustannuskehitys [A slower rate of cost growth in occupational health care and the cost of care by age and sex]. Suomen Lääkärilehti 2016, 71, 1537–1540. [Google Scholar]
- Statistics Finland. Sosioekonomisen aseman luokitus 1989 [Classification of Socio-Economic Groups 1989]; Handbooks, 17; Statistics Finland: Helsinki, Finland, 1981. (In Finnish) [Google Scholar]
- Saastamoinen, L.; Aaltonen, K.; Maljanen, T.; Tuominen, U.; Martikainen, J. Health registers as a source of data for research and policy making. Dosis 2012, 28, 199–205. [Google Scholar]
- Cameron, A.C.; Trivedi, P.K. Microeconometrics: Methods and Applications; Cambridge University Press: New York, NY, USA, 2005. [Google Scholar]
- R Core Team. R: A Language and Environment for Statistical Computing; R Foundation for Statistical Computing: Vienna, Austria, 2018; Available online: https://www.R-project.org/ (accessed on 1 November 2021).
- Hung, H.-C.; Joshipura, K.J.; Colditz, G.; Manson, J.E.; Rimm, E.B.; Speizer, F.E.; Willett, W.C. The Association between Tooth Loss and Coronary Heart Disease in Men and Women. J. Public Health Dent. 2007, 64, 209–215. [Google Scholar] [CrossRef]
- Willershausen, B.; Kasaj, A.; Willershausen, I.; Zahorka, D.; Briseño, B.; Blettner, M.; Genth-Zotz, S.; Münzel, T. Association between Chronic Dental Infection and Acute Myocardial Infarction. J. Endod. 2009, 35, 626–630. [Google Scholar] [CrossRef]
- Kudiyirickal, M.G.; Pappachan, J.M. Diabetes mellitus and oral health. Endocrine 2015, 49, 27–34. [Google Scholar] [CrossRef]
- Sabbah, W.; Tsakos, G.; Chandola, T.; Sheiham, A.; Watt, R. Social Gradients in Oral and General Health. J. Dent. Res. 2007, 86, 992–996. [Google Scholar] [CrossRef]
- Molarius, A.; Engström, S.; Flink, H.; Simonsson, B.; Tegelberg. Åke Socioeconomic differences in self-rated oral health and dental care utilisation after the dental care reform in 2008 in Sweden. BMC Oral Health 2014, 14, 134. [Google Scholar] [CrossRef] [PubMed] [Green Version]
- Pathirana, T.I.; Jackson, C. Socioeconomic status and multimorbidity: A systematic review and meta-analysis. Aust. New Zealand J. Public Health 2018, 42, 186–194. [Google Scholar] [CrossRef] [PubMed] [Green Version]
- Kawada, T. Socioeconomic status and cardiovascular disease. Int. J. Cardiol. 2019, 274, 378. [Google Scholar] [CrossRef] [PubMed]
- Weinberg, D.; Stevens, G.W.J.M.; Duinhof, E.L.; Finkenauer, C. Adolescent Socioeconomic Status and Mental Health Inequalities in the Netherlands, 2001–2017. Int. J. Environ. Res. Public Health 2019, 16, 3605. [Google Scholar] [CrossRef] [PubMed] [Green Version]
- Finnish National Board on Research Integrity TENK. The Ethical Principles of Research with Human Participants and Ethical Review in the Human Sciences in Finland; Finnish National Board on Research Integrity: Helsinki, Finland, 2019; Available online: https://www.tenk.fi/sites/tenk.fi/files/Ihmistieteiden_eettisen_ennakkoarvioinnin_ohje_2019.pdf (accessed on 1 November 2021).




| N | % | Mean | Median | |
|---|---|---|---|---|
| Sex | ||||
| Male | 46,550 | 51.1 | ||
| Female | 44,510 | 48.9 | ||
| Age group | ||||
| 25–34 | 23,391 | 25.7 | 29.7 | 30.0 |
| 35–44 | 24,113 | 26.5 | 39.3 | 39.0 |
| 45–54 | 22,114 | 24.3 | 49.6 | 50.0 |
| 55–64 | 21,442 | 23.5 | 59.4 | 59.0 |
| Education | ||||
| Upper tertiary | 17,391 | 19.1 | ||
| Lower tertiary | 26,206 | 28.8 | ||
| Secondary | 38,184 | 41.9 | ||
| Basic | 9279 | 10.2 | ||
| Occupational class | ||||
| Upper non-manual employee | 21,560 | 23.7 | ||
| Lower non-manual employee | 25,006 | 27.5 | ||
| Manual worker | 15,139 | 16.6 | ||
| Entrepreneur | 5531 | 6.1 | ||
| Other | 23,824 | 26.2 | ||
| Income quintile | ||||
| Income quintile 5 | 18,212 | 20.0 | 161,352.1 | 131,323.4 |
| Income quintile 4 | 18,212 | 20.0 | 87,178.1 | 86,435.0 |
| Income quintile 3 | 18,212 | 20.0 | 65,828.7 | 65,773.8 |
| Income quintile 2 | 18,212 | 20.0 | 46,723.2 | 47,243.1 |
| Income quintile 1 | 18,212 | 20.0 | 21,081.8 | 20,642.6 |
| Number of entitlements to special medicine reimbursement | 0.5 | 0.0 | ||
| Residents with entitlements to special medicine reimbursement | 25,200 | 27.7 | ||
| Total number of residents | 91,060 | |||
| N | % | Mean | Median | IQR | |
|---|---|---|---|---|---|
| Number of medical visits | |||||
| Total | 13.8 | 8 | 15 | ||
| Public | 6.4 | 2 | 6 | ||
| OHS | 6.2 | 2 | 9 | ||
| Private | 1.2 | 0 | 1 | ||
| Number of dentist visits | 2.2 | 1 | 3 | ||
| Residents with medical visits to | |||||
| Any sector | 83,111 | 91.3 | |||
| Public | 61,706 | 67.8 | |||
| OHS | 50,523 | 55.5 | |||
| Private | 36,025 | 39.6 | |||
| Residents with dentist visits | 58,733 | 64.5 | |||
| Residents with | |||||
| Medical and dentist visits | 55,250 | 60.7 | |||
| Only medical visits | 27,861 | 30.6 | |||
| Only dentist visits | 3483 | 3.8 | |||
| No medical or dentist visits | 4466 | 4.9 | |||
Publisher’s Note: MDPI stays neutral with regard to jurisdictional claims in published maps and institutional affiliations. |
© 2021 by the authors. Licensee MDPI, Basel, Switzerland. This article is an open access article distributed under the terms and conditions of the Creative Commons Attribution (CC BY) license (https://creativecommons.org/licenses/by/4.0/).
Share and Cite
Nurminen, M.; Blomgren, J. Associations of Medical Visits with Dentist Visits: A Register-Linkage Study of a Working-Age Population in Finland. Int. J. Environ. Res. Public Health 2021, 18, 13337. https://doi.org/10.3390/ijerph182413337
Nurminen M, Blomgren J. Associations of Medical Visits with Dentist Visits: A Register-Linkage Study of a Working-Age Population in Finland. International Journal of Environmental Research and Public Health. 2021; 18(24):13337. https://doi.org/10.3390/ijerph182413337
Chicago/Turabian StyleNurminen, Mikko, and Jenni Blomgren. 2021. "Associations of Medical Visits with Dentist Visits: A Register-Linkage Study of a Working-Age Population in Finland" International Journal of Environmental Research and Public Health 18, no. 24: 13337. https://doi.org/10.3390/ijerph182413337
APA StyleNurminen, M., & Blomgren, J. (2021). Associations of Medical Visits with Dentist Visits: A Register-Linkage Study of a Working-Age Population in Finland. International Journal of Environmental Research and Public Health, 18(24), 13337. https://doi.org/10.3390/ijerph182413337

