Low-Level Groundwater Atrazine in High Atrazine Usage Nebraska Counties: Likely Effects of Excessive Groundwater Abstraction
Abstract
:1. Introduction
2. Materials and Methods
Statistical Analysis
3. Results
3.1. Descriptive Statistics of Sampled Wells, Hydrometeorological Characteristics, and Groundwater Utilization in the Eastern Nebraska Counties
3.2. Atrazine Concentration by Well Depth in Eastern Nebraska Counties
3.3. Depletion of Atrazine and Its Metabolites with Time in Eastern Nebraska Counties
3.4. Precipitation and Temperature trend in Eastern Nebraska Counties
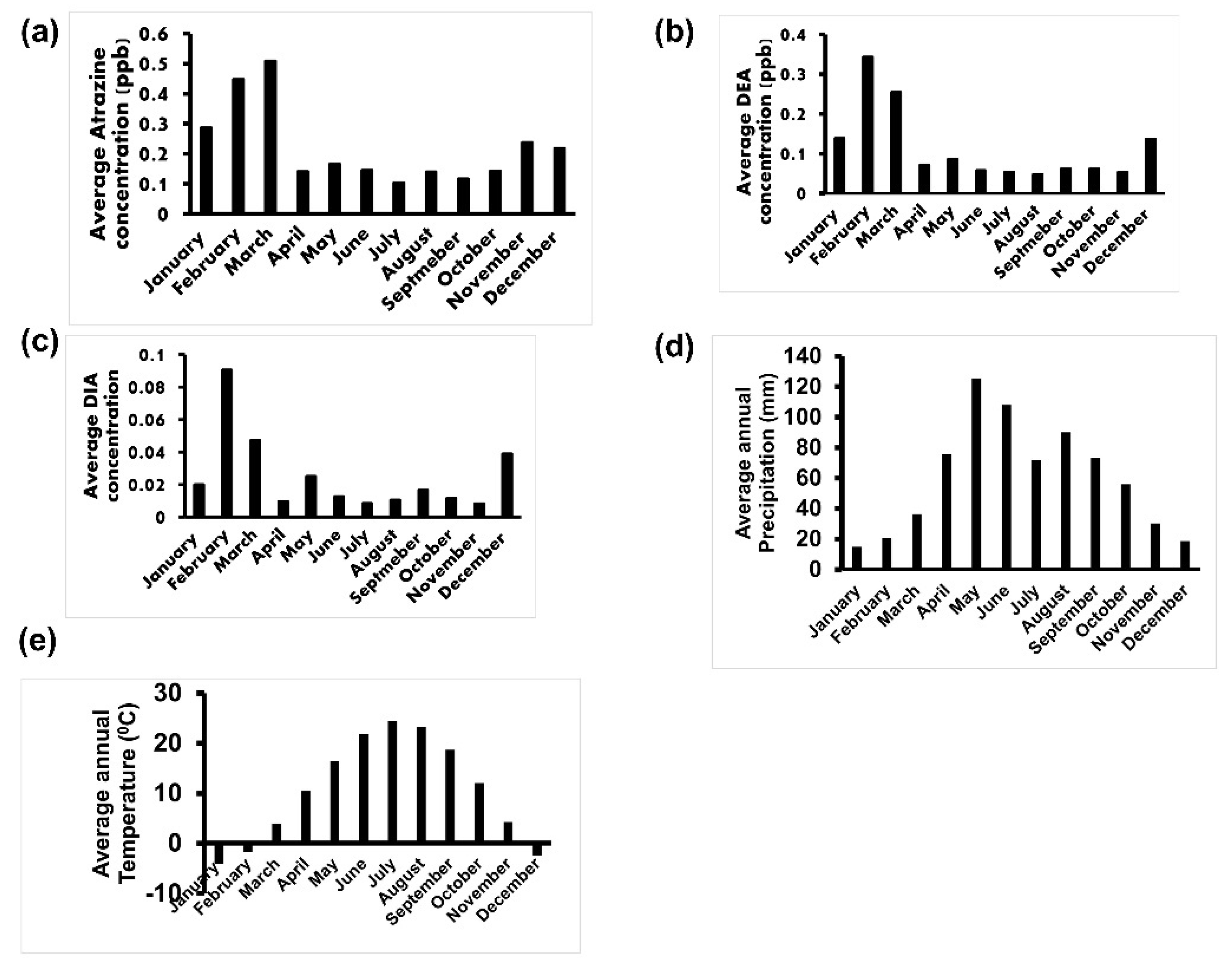
3.5. Seasonal Variation of Atrazine and Its Metabolites in Eastern Nebraska Counites
3.6. Characterization of Groundwater Atrazine Depletion in Eastern Nebraska Counties
4. Discussion
5. Conclusions
Author Contributions
Funding
Institutional Review Board Statement
Informed Consent Statement
Data Availability Statement
Acknowledgments
Conflicts of Interest
Abbreviations
| N.D.A. | Nebraska Departments of Agriculture |
| D.E.A. | Deethylatrazine |
| DIA | Deisopropylatrazine |
| ERC | Estrogen related cancer |
| PRISM | Parameter–Elevation Regressions on Independent Slopes Model |
| NAWQA | National Water-Quality Assessment |
| USGS | United States Geographical Survey |
| MCL | Maximum Contaminant Level |
References
- United States Geological Survey. The Quality of the Nation’s Groundwater; United States Geological Survey: Reston, WV, USA, 2015. Available online: https://www.usgs.gov/news/quality-nation%E2%80%99s-groundwater (accessed on 31 October 2021).
- University of Nebraska-Lincoln. An Introduction to Drinking Water; University of Nebraska-Lincoln: Lincoln, NE, USA, 2011; Available online: https://extensionpublications.unl.edu/assets/pdf/g1539.pdf (accessed on 31 October 2021).
- Nebraska Department of Environment and Energy. NDEE Water Programs Nebraska Water Quality: A Brief Overview; Nebraska Department of Environment and Energy: Lincoln, NE, USA, 2011. Available online: http://www.deq.state.ne.us/NDEQProg.nsf/WaterHome.xsp (accessed on 31 October 2021).
- New-Aaron, M.; Naveed, Z.; Rogan, E.G. Estrogen Disrupting Pesticides in Nebraska Groundwater: Trends between Pesticide-contaminated Water and Estrogen-related Cancers in An Ecological Observational Study. Water 2021, 13, 790. [Google Scholar] [CrossRef]
- Mahler, B.J.; Van Metre, P.C.; Burley, T.E.; Loftin, K.A.; Meyer, M.T.; Nowell, L.H. Similarities and differences in occurrence and temporal fluctuations in glyphosate and atrazine in small Midwestern streams (U.S.A.) during the 2013 growing season. Sci. Total Environ. 2017, 579, 149–158. [Google Scholar] [CrossRef] [PubMed] [Green Version]
- Fairchild, J.F.; Roessler, D.S.; Carlson, A.R. Comparative sensitivity of five species of macrophytes and six species of algae to atrazine, metribuzin, alachlor, and metolachlor. Environ. Toxicol. Chem. Int. J. 1998, 17, 1830–1834. [Google Scholar] [CrossRef]
- Thurman, E.; Goolsby, D.; Aga, D.; Pomes, M.; Meyer, M. Occurrence of alachlor and its sulfonated metabolite in rivers and reservoirs of the Midwestern United States: The importance of sulfonation in the transport of chloroacetanilide herbicides. Environ. Sci. Technol. 1996, 30, 569–574. [Google Scholar] [CrossRef]
- Syafrudin, M.; Kristanti, R.A.; Yuniarto, A.; Hadibarata, T.; Rhee, J.; Al-Onazi, W.A.; Algarni, T.S.; Almarri, A.H.; Al-Mohaimeed, A.M. Pesticides in drinking water—A review. Int. J. Environ. Res. Public Health 2021, 18, 468. [Google Scholar] [CrossRef]
- Jablonowski, N.D.; Schäffer, A.; Burauel, P. Still present after all these years: Persistence plus potential toxicity raise questions about the use of atrazine. Environ. Sci. Pollut. Res. 2011, 18, 328–331. [Google Scholar] [CrossRef] [Green Version]
- Kookana, R.; Holz, G.; Barnes, C.; Bubb, K.; Fremlin, R.; Boardman, B. Impact of climatic and soil conditions on environmental fate of atrazine used under plantation forestry in Australia. J. Environ. Manag. 2010, 91, 2649–2656. [Google Scholar] [CrossRef]
- Ralston-Hooper, K.; Hardy, J.; Hahn, L.; Ochoa-Acuña, H.; Lee, L.S.; Mollenhauer, R.; Sepúlveda, M.S. Acute and chronic toxicity of atrazine and its metabolites deethylatrazine and deisopropylatrazine on aquatic organisms. Ecotoxicology 2009, 18, 899–905. [Google Scholar] [CrossRef]
- Khan, J.A.; He, X.; Shah, N.S.; Sayed, M.; Khan, H.M.; Dionysiou, D.D. Degradation kinetics and mechanism of desethyl-atrazine and diisopropyl-atrazine in water with O.H. and SO4− based-AOPs. Chem. Eng. J. 2017, 325, 485–494. [Google Scholar] [CrossRef]
- Tchounwou, P.; Wilson, B.; Ishaque, A.; Ransome, R.; Huang, M.-J.; Leszczynski, J. Toxicity assessment of atrazine and related triazine compounds in the microtox assay, and computational modeling for their structure-activity relationship. Int. J. Mol. Sci. 2000, 1, 63–74. [Google Scholar] [CrossRef]
- Daly, C.; Neilson, R.P.; Phillips, D.L. A statistical-topographic model for mapping climatological precipitation over mountainous terrain. J. Appl. Meteorol. Climatol. 1994, 33, 140–158. [Google Scholar] [CrossRef] [Green Version]
- Daly, C.; Taylor, G.; Gibson, W. The PRISM approach to mapping precipitation and temperature. In Proceedings of the 10th AMS Conference on Applied Climatology; Citeseer: Corvallis, OR, USA, 1997; pp. 20–23. [Google Scholar]
- Exner, M.E.; Spalding, R.F.; Harrell, D.M. Development of a quality-assessed agrichemical database for monitoring anthropogenic impacts on groundwater quality. Environ. Monit. Assess. 2005, 107, 249–257. [Google Scholar] [CrossRef] [PubMed]
- Abimbola, O.P.; Meyer, G.E.; Mittelstet, A.R.; Rudnick, D.R.; Franz, T.E. Knowledge-guided machine learning for improving daily soil temperature prediction across the United States. Vadose Zone J. 2021, 20, e20151. [Google Scholar] [CrossRef]
- Leeper, R.D.; Matthews, J.L.; Cesarini, M.S.; Bell, J.E. Evaluation of air and soil temperatures for determining the onset of growing season. J. Geophys. Res. Biogeosci. 2021, 126, e2020JG006171. [Google Scholar] [CrossRef]
- Yuan, B.; Liang, S.; Jin, Y.-X.; Zhang, M.-J.; Zhang, J.-B.; Kim, N.-H. Toxic effects of atrazine on porcine oocytes and possible mechanisms of action. PLoS ONE 2017, 12, e0179861. [Google Scholar] [CrossRef] [Green Version]
- Jin, Y.; Wang, L.; Chen, G.; Lin, X.; Miao, W.; Fu, Z. Exposure of mice to atrazine and its metabolite diaminochlorotriazine elicits oxidative stress and endocrine disruption. Environ. Toxicol. Pharmacol. 2014, 37, 782–790. [Google Scholar] [CrossRef] [PubMed]
- Gammon, D.W.; Aldous, C.N.; Carr, W.C., Jr.; Sanborn, J.R.; Pfeifer, K.F. A risk assessment of atrazine use in California: Human health and ecological aspects. Pest Manag. Sci. Former. Pestic. Sci. 2005, 61, 331–355. [Google Scholar] [CrossRef] [PubMed]
- Yang, S.; Jia, Z.C.; Chen, J.Y.; Hu, J.X.; Zhang, L.S. Toxic effects of atrazine on reproductive system of male rats. Biomed. Environ. Sci. 2014, 27, 281–288. [Google Scholar]
- Kniewald, J.; Mildner, P.; Kniewald, Z. Effects of s-triazine herbicides on hormone-receptor complex formation, 5α-reductase and 3α-hydroxysteroid dehydrogenase activity at the anterior pituitary level. In Hormonal Steroids; Elsevier: Amsterdam, The Netherlands, 1979; pp. 833–838. [Google Scholar]
- Nwani, C.D.; Lakra, W.S.; Nagpure, N.S.; Kumar, R.; Kushwaha, B.; Srivastava, S.K. Toxicity of the herbicide atrazine: Effects on lipid peroxidation and activities of antioxidant enzymes in the freshwater fish Channa punctatus (Bloch). Int. J. Environ. Res. Public Health 2010, 7, 3298–3312. [Google Scholar] [CrossRef] [PubMed] [Green Version]
- Rinsky, J.L.; Hopenhayn, C.; Golla, V.; Browning, S.; Bush, H.M. Atrazine exposure in public drinking water and preterm birth. Public Health Rep. 2012, 127, 72–80. [Google Scholar] [CrossRef] [PubMed] [Green Version]
- Loosli, R. Epidemiology of atrazine. Rev. Environ. Contam. Toxicol. 1995, 143, 47–57. [Google Scholar]
- Goodman, M.; Mandel, J.S.; DeSesso, J.M.; Scialli, A.R. Atrazine and pregnancy outcomes: A systematic review of epidemiologic evidence. Birth Defects Res. Part B Dev. Reprod. Toxicol. 2014, 101, 215–236. [Google Scholar] [CrossRef] [PubMed] [Green Version]
- Spalding, R.F.; Exner, M.E.; Snow, D.D.; Cassada, D.A.; Burbach, M.E.; Monson, S.J. Herbicides in groundwater beneath Nebraska’s management systems evaluation area. J. Environ. Qual. 2003, 32, 92–99. [Google Scholar] [CrossRef]
- Shin, J.Y.; Cheney, M.A. Abiotic dealkylation and hydrolysis of atrazine by birnessite. Environ. Toxicol. Chem. Int. J. 2005, 24, 1353–1360. [Google Scholar] [CrossRef] [PubMed] [Green Version]
- Solomon, R.D.J.; Kumar, A.; Santhi, V.S. Atrazine biodegradation efficiency, metabolite detection, and trzD gene expression by enrichment bacterial cultures from agricultural soil. J. Zhejiang Univ. Sci. B 2013, 14, 1162–1172. [Google Scholar] [CrossRef] [PubMed] [Green Version]
- Struthers, J.; Jayachandran, K.; Moorman, T. Biodegradation of atrazine by Agrobacterium radiobacter J14a and use of this strain in bioremediation of contaminated soil. Appl. Environ. Microbiol. 1998, 64, 3368–3375. [Google Scholar] [CrossRef] [Green Version]
- Curran, W.S.; Loux, M.M.; Liebl, R.A.; Simmons, F.W. Photolysis of imidazolinone herbicides in aqueous solution and on soil. Weed Sci. 1992, 40, 143–148. [Google Scholar] [CrossRef]
- Agency for Toxic Substances and Disease Registry, Potential for Human Exposure. 2011. Available online: https://www.atsdr.cdc.gov/ToxProfiles/tp153-c6.pdf (accessed on 4 November 2021).
- Klint, M.; Arvin, E.; Jensen, B.K. Degradation of the Pesticides Mecoprop and Atrazine in Unpolluted Sandy Aquifers; 0047-2425; Wiley Online Library: Hoboken, NJ, USA, 1993. [Google Scholar]
- U.S. Environmental Protection Agency. Pesticides, and Toxic Substances-Interim Reregistration Eligibility Decision-Atrazine; U.S. Environmental Protection Agency: Washington, DC, USA, 2003. Available online: https://www3.epa.gov/pesticides/chem_search/reg_actions/reregistration/red_PC-080803_1-Apr-06.pdf (accessed on 7 November 2021).
- Hanson, W.; Strid, A.; Gervais, J.; Cross, A.; Jenkins, J. Atrazine Fact Sheet; National Pesticide; Information Center, Oregon State University Extension Services: Corvallis, OR, USA, 2020. [Google Scholar]
- National Integrated Drought Information System, Drought in Nebraska from 2000–Present. 2021. Available online: https://www.drought.gov/states/nebraska (accessed on 4 November 2021).
- Miller, S.M.; Sweet, C.W.; DePinto, J.V.; Hornbuckle, K.C. Atrazine and Nutrients in Precipitation: Results from the Lake Michigan Mass Balance Study. Environ. Sci. Technol. 2000, 34, 55–61. [Google Scholar] [CrossRef]
- Kansas State University Agricultural Experiment Station and Cooperation Extension Service. In Managing to Minimize Atrazine Runoff; Hays, KS, USA, 2000; Available online: https://www.coffey.k-state.edu/crops-livestock/crops/conservation/Managing%20to%20Minimize%20Atrazine%20Runoff.pdf (accessed on 4 November 2021).
- Nebraska Department of Agriculture. Recommended Atrazine Best Management Practices (B.M.P.s)1 for Surface Water Quality; Nebraska Department of Agriculture: Lincoln, NE, USA, 2019. Available online: https://nda.nebraska.gov/pesticide/atrazine_bmp_handout.pdf (accessed on 7 November 2021).
- Lazic, S.; Sunjka, D.; Hristov, N. Seasonal Variation of Atrazine Residues in Groundwater in Agricultural Area of SERBIA. 2012. Available online: https://www.semanticscholar.org/paper/Seasonal-variation-of-atrazine-residues-in-in-area-Lazic-%C5%A0unjka/7e22ea61c79db848fab11fce3fb4d5120930d42d (accessed on 4 November 2021).
- Kansas Geological Survey Geohydrology. Atrazine, Central Kansas Croplands. 2010. Available online: https://www.kgs.ku.edu/Publications/Bulletins/GW12/02_prob.html (accessed on 4 November 2021).
- Jaikaew, P.; Boulange, J.; Thuyet, D.Q.; Malahat, F.; Ishihara, S.; Watanabe, H. Potential impacts of seasonal variation on atrazine and metolachlor persistence in andisol soil. Environ. Monit. Assess. 2015, 187, 760. [Google Scholar] [CrossRef]
- United States Geological Survey. Groundwater Decline and Depletion; United States Geological Survey: Reston, WV, USA, 1999. Available online: https://www.usgs.gov/special-topic/water-science-school/science/groundwater-decline-and-depletion?qt-science_center_objects=0#qt-science_center_objects (accessed on 4 November 2021).












| Variable | N | Mean | Standard Deviation | Minimum | Maximum |
|---|---|---|---|---|---|
| Atrazine (ppb) | 4053 | 0.2 | 0.7 | 0.0 | 9.7 |
| Deethylatrazine(ppb) | 3008 | 0.02 | 0.08 | 0.0 | 0.8 |
| Deisopropylatrazine (ppb) | 3601 | 0.07 | 0.2 | 0.0 | 2.6 |
| Hydroxyatrazine (ppb) | 70 | 0.0 | 0.0 | 0.0 | 0.0 |
| Well depth (feet) | 4295 | 129.9 | 85.3 | 4.0 | 765.0 |
| Precipitation (mm) | 3360 | 60.2 | 53.2 | 0.0 | 347.0 |
| Mean daily temperature (°C) | 3360 | 10.6 | 10.3 | -10.9 | 27.2 |
| Domestic total self-supplied groundwater withdrawals (Mgal/d) | 33 | 0.90 | 1.9 | 0.02 | 10.1 |
| Domestic self-supplied population (thousands) | 33 | 7.1 | 15.0 | 0.1 | 79.1 |
| Characteristics | Cluster 5 | Cluster 7 |
|---|---|---|
| Counties | Burt, Cass, Colfax, Dodge, Lincoln, and Sarpy | York and Polk |
| Number of observations | 34 | 6 |
| Average of precipitation (mm) | 57.7 | 62.0 |
| Annual average air temperature (°C) | 10.8 | 10.8 |
| Average well density (wells per area of land) | Low | High |
| Average domestic self-supplied population, in thousands | 7.30 | 2.90 |
| Average public supply population served by groundwater, in thousands | 30.20 | 6.84 |
| Average domestic total self-supplied withdrawals, groundwater, in Mgal/d | 0.96 | 0.37 |
| Average public supply total self-supplied withdrawals, groundwater, in Mgal/d | 8.82 | 1.26 |
| Average commercial total self-supplied withdrawals, groundwater, in Mgal/d | 0.008 | 0 |
| Average total population of the area (in thousands) | 103.1 | 9.9 |
| Metropolitan | Yes | No |
Publisher’s Note: MDPI stays neutral with regard to jurisdictional claims in published maps and institutional affiliations. |
© 2021 by the authors. Licensee MDPI, Basel, Switzerland. This article is an open access article distributed under the terms and conditions of the Creative Commons Attribution (CC BY) license (https://creativecommons.org/licenses/by/4.0/).
Share and Cite
New-Aaron, M.; Abimbola, O.; Mohammadi, R.; Famojuro, O.; Naveed, Z.; Abadi, A.; Bell, J.E.; Bartelt-Hunt, S.; Rogan, E.G. Low-Level Groundwater Atrazine in High Atrazine Usage Nebraska Counties: Likely Effects of Excessive Groundwater Abstraction. Int. J. Environ. Res. Public Health 2021, 18, 13241. https://doi.org/10.3390/ijerph182413241
New-Aaron M, Abimbola O, Mohammadi R, Famojuro O, Naveed Z, Abadi A, Bell JE, Bartelt-Hunt S, Rogan EG. Low-Level Groundwater Atrazine in High Atrazine Usage Nebraska Counties: Likely Effects of Excessive Groundwater Abstraction. International Journal of Environmental Research and Public Health. 2021; 18(24):13241. https://doi.org/10.3390/ijerph182413241
Chicago/Turabian StyleNew-Aaron, Moses, Olufemi Abimbola, Raheleh Mohammadi, Oluwaseun Famojuro, Zaeema Naveed, Azar Abadi, Jesse E. Bell, Shannon Bartelt-Hunt, and Eleanor G. Rogan. 2021. "Low-Level Groundwater Atrazine in High Atrazine Usage Nebraska Counties: Likely Effects of Excessive Groundwater Abstraction" International Journal of Environmental Research and Public Health 18, no. 24: 13241. https://doi.org/10.3390/ijerph182413241
APA StyleNew-Aaron, M., Abimbola, O., Mohammadi, R., Famojuro, O., Naveed, Z., Abadi, A., Bell, J. E., Bartelt-Hunt, S., & Rogan, E. G. (2021). Low-Level Groundwater Atrazine in High Atrazine Usage Nebraska Counties: Likely Effects of Excessive Groundwater Abstraction. International Journal of Environmental Research and Public Health, 18(24), 13241. https://doi.org/10.3390/ijerph182413241

