Leg Dominance and OSB12 Kick Start Performance in Young Competitive Swimmers
Abstract
1. Introduction
2. Materials and Methods
2.1. Participants
2.2. Test Protocol
2.2.1. Lower-Body Explosive Strength Test
2.2.2. Kick-Start Trials
2.3. Statistical Analysis
3. Results
3.1. Block Phase
3.2. Flight Phase
3.3. Underwater Phase
4. Discussion
5. Conclusions
Author Contributions
Funding
Institutional Review Board Statement
Informed Consent Statement
Data Availability Statement
Conflicts of Interest
References
- Honda, K.; Sinclair, P.; Mason, B.; Pease, D. A Biomechanical Comparison of Elite Swimmers Start Performance Using the Traditional Track Start and the New Kick Start. In Proceedings of the XIth International Symposium for Biomechanics and Medicine in Swimming, Oslo, Norway, 16–19 June 2010; Kjendlie, P., Stallman, R.K., Cabri, J., Eds.; Norwegian School of Sports Sciences: Oslo, Norway, 2010; pp. 94–96. [Google Scholar]
- Swiss Timing. OSB11 Swimming Starting Block. User’s Manual; Swiss Timing Ltd.: Corgémont, Switzerland, 2020. [Google Scholar]
- Benjanuvatra, N.; Lyttle, A.; Blanksby, B.; Larkin, D. Force development profile of the lower limbs in the grab and track start swimming. In Proceedings of the International Symposium Biomechanics Swimming, Ottawa, QC, Canada, 8–12 August 2004; Lamontagne, M.D., Robertson, G.E., Sveistrup, H., Eds.; International Society of Biomechanics in Sports: Ottawa, QC, Canada, 2004; pp. 399–402. [Google Scholar]
- Beretić, I.; Ðurović, M.; Okičić, T. Influence of the back plate on kinematical starting parameter changes in elite male Serbian swimmers. Facta Univ. Ser. Phys. Educ. Sport 2012, 10, 135–140. [Google Scholar]
- Beretić, I.; Durović, M.; Okičić, T.; Dopsaj, M. Relations between Lower Body Isometric Muscle Force Characteristics and Start Performance in Elite Male Sprint Swimmers. J. Sports Sci. Med. 2013, 12, 639–645. [Google Scholar]
- Biel, K.; Fischer, S.; Kibele, A. Kinematic analysis of take-off performance in elite swimmers: New OSB11 versus traditional starting block. In Proceedings of the XIth International Symposium for Biomechanics and Medicine in Swimming 2010, Oslo, Norway, 16–19 June 2010; Kjendlie, P., Stallman, R.K., Cabri, J., Eds.; Norwegian School of Sports Sciences: Oslo, Norway, 2010; p. 91. [Google Scholar]
- Garcia-Hermoso, A.; Escalante, Y.; Arellano, R.; Navarro, F.; Domínguez, A.M.; Saavedra, J.M. Relationship Between Final Performance and Block Times with the Traditional and the New Starting Platforms with A Back Plate in International Swimming Championship 50-M and 100-M Freestyle Events. J. Sports Sci. Med. 2013, 12, 698–706. [Google Scholar] [PubMed]
- Nomura, T.; Takeda, T.; Takagi, H. Influences of the back plate on competitive swimming starting motion in particular projection skill. In Proceedings of the XIth International Symposium for Biomechanics and Medicine in Swimming, Oslo, Norway, 16–19 June 2010; Kjendlie, P., Stallman, R.K., Cabri, J., Eds.; Norwegian School of Sports Sciences: Oslo, Norway, 2010; pp. 135–137. [Google Scholar]
- Ozeki, K.; Sakurai, S.; Taguchi, M.; Takise, S. Kicking the back plate of the starting block improves start phase performance in competitive swimming. In Proceedings of the 30th Annual Conference of the International Society of Biomechanics in Sports, Melbourne, Australia, 2–6 July 2012; Bradshaw, E.J., Burnett, A., Hume, P.A., Eds.; International Society of Biomechanics in Sports: Melbourne, Australia, 2012; pp. 373–376. [Google Scholar]
- Takeda, T.; Nomura, T. What are the differences between grab and track start? Rev. Port. Cienc. Desporto 2006, 6, 102–105. [Google Scholar]
- Vantorre, J.; Seifert, L.; Fernandes, R.J.; Vilas-Boas, J.P.; Chollet, D. Biomechanical Influence of Start Technique Preference for Elite Track Starters in Front Crawl. Open Sports Sci. J. 2010, 3, 137–139. [Google Scholar] [CrossRef]
- Mason, B.; Alcock, A.; Fowlie, J. A kinetic analysis and recommendations for elite swimmers performing the sprint start. In Proceedings of the XXV ISBS Symposium, Ouro Preto, Brazil, 23–27 August 2007; Menzel, H.J., Chagas, M.H., Eds.; Australia Australian Institute of Sport: Canberra, Australia, 2007; pp. 192–195. [Google Scholar]
- Slawson, S.; Conway, P.; Cossor, J.; Chakravorti, N.; Le-Sage, T.; West, A. The effect of start block configuration and swimmer kinematics on starting performance in elite swimmers using the Omega OSB11 block. Procedia Eng. 2011, 13, 141–147. [Google Scholar] [CrossRef]
- Hardt, J.; Benjanuvatra, N.; Blanksby, B. Do footedness and strength asymmetry relate to the dominant stance in swimming track start? J. Sports Sci. 2009, 27, 1221–1227. [Google Scholar] [CrossRef]
- Slawson, S.; Chakravorti, N.; Conway, P.; Cossor, J.; West, A. The Effect of Knee Angle on Force Production, in Swimming Starts, using the OSB11 Block. Procedia Eng. 2012, 34, 801–806. [Google Scholar] [CrossRef][Green Version]
- Takeda, T.; Takagi, H.; Tsubakimoto, S. Effect of inclination and position of new swimming starting block’s back plate on track-start performance. Sports Biomech. 2012, 11, 370–381. [Google Scholar] [CrossRef]
- Honda, K.; Sinclair, P.; Mason, B.; Pease, D. The effect of starting position on elite swim start performance using an angled kick plate. In Proceedings of the 30th Annual Conference of the International Society of Biomechanics in Sports, Melbourne, Australia, 2–6 July 2012; Bradshaw, E.J., Burnett, A., Hume, P.A., Eds.; International Society of Biomechanics in Sports: Melbourne, Australia, 2012; pp. 72–75. [Google Scholar]
- Barlow, H.; Halaki, M.; Stuelcken, M.; Greene, A.; Sinclair, P. The effect of different kick start positions on OMEGA OSB11 blocks on free swimming time to 15m in developmental level swimmers. Hum. Mov. Sci. 2014, 34, 178–186. [Google Scholar] [CrossRef]
- Kibele, A.; Biel, K.; Fischer, S. Optimising individual stance position in the swim start on OSB11. In Proceedings of the XIIth International Symposium on Biomechanics and Medicine in Swimming 2014, Canberra, Australia, 28 April–2 May 2014; Mason, B., Ed.; Australia Australian Institute of Sport: Canberra, Australia, 2014; pp. 158–163. [Google Scholar]
- Hamilton, R.T.; Shultz, S.J.; Schmitz, R.J.; Perrin, D.H. Triple-Hop Distance as a Valid Predictor of Lower Limb Strength and Power. J. Athl. Train. 2008, 43, 144–151. [Google Scholar] [CrossRef]
- Bolgla, L.A.; Keskula, D.R. Reliability of Lower Extremity Functional Performance Tests. J. Orthop. Sports Phys. Ther. 1997, 26, 138–142. [Google Scholar] [CrossRef]
- Formicola, D.; Rainoldi, A. A kinematic analysis to evaluate the start techniques’ efficacy in swimming. Sport Sci. Health 2014, 11, 57–66. [Google Scholar] [CrossRef]
- Seifert, L.; Vantorre, J.; Lemaitre, F.; Chollet, D.; Toussaint, H.M.; Vilas-Boas, J.-P. Different Profiles of the Aerial Start Phase in Front Crawl. J. Strength Cond. Res. 2010, 24, 507–516. [Google Scholar] [CrossRef]
- Norris, B.S.; Olson, S.L. Concurrent validity and reliability of two-dimensional video analysis of hip and knee joint motion during mechanical lifting. Physiother. Theory Pract. 2011, 27, 521–530. [Google Scholar] [CrossRef]
- Cohen, J. Statistical Power Analysis for the Behavioral Sciences, 2nd ed.; Routledge Academic: New York, NY, USA, 1988. [Google Scholar]
- Jones, P.; Bampouras, T.M. A Comparison of Isokinetic and Functional Methods of Assessing Bilateral Strength Imbalance. J. Strength Cond. Res. 2010, 24, 1553–1558. [Google Scholar] [CrossRef] [PubMed]
- Munro, A.G.; Herrington, L.C. Between-Session Reliability of Four Hop Tests and the Agility T-Test. J. Strength Cond. Res. 2011, 25, 1470–1477. [Google Scholar] [CrossRef] [PubMed]
- Breed, R.V.P.; McElroy, G.K.; Young, W.B. A biomechanical comparison of the grab, swing and track start in swimming. J. Hum. Mov. Stud. 2000, 39, 277–293. [Google Scholar]
- Slawson, S.E.; Conway, P.; Cossor, J.; Chakravorti, N.; West, A.A. The categorisation of swimming start performance with reference to force generation on the main block and footrest components of the Omega OSB11 start blocks. J. Sports Sci. 2013, 31, 468–478. [Google Scholar] [CrossRef] [PubMed]
- Tor, E.; Pease, D.L.; Ball, K. How Does Drag Affect the Underwater Phase of a Swimming Start? J. Appl. Biomech. 2015, 31, 8–12. [Google Scholar] [CrossRef]
- Burkhardt, D.; Born, D.-P.; Singh, N.B.; Oberhofer, K.; Carradori, S.; Sinistaj, S.; Lorenzetti, S. Key performance indicators and leg positioning for the kick-start in competitive swimmers. Sports Biomech. 2020, 1–15. [Google Scholar] [CrossRef] [PubMed]



| Swimmer | DL | Preferred | Optimal | ||||
|---|---|---|---|---|---|---|---|
| KPP | BP | FL | KPP | BP | FL | ||
| 1 | Right | 3 | NW | Right | 3 | NW | Right |
| 2 | Right | 3 | FW | Right | 3 | RW | Right |
| 3 | Right | 3 | NW | Left | 3 | RW | Right |
| 4 | Left | 3 | NW | Left | 3 | RW | Left |
| 5 | Right | 3 | FW | Right | 3 | NW | Right |
| 6 | Right | 2 | NW | Right | 4 | NW | Right |
| 7 | Right | 3 | NW | Right | 3 | RW | Right |
| 8 | Right | 2 | NW | Right | 4 | NW | Right |
| 9 | Right | 3 | NW | Right | 3 | RW | Right |
| 10 | Right | 3 | NW | Right | 3 | NW | Right |
| 11 | Right | 2 | NW | Left | 3 | NW | Right |
| 12 | Right | 4 | NW | Right | 3 | RW | Right |
| 13 | Right | 3 | NW | Right | 3 | RW | Right |
| 14 | Right | 3 | NW | Left | 3 | NW | Right |
| 15 | Right | 3 | NW | Right | 3 | RW | Right |
| 16 | Right | 3 | NW | Right | 4 | RW | Right |
| 17 | Right | 2 | NW | Right | 3 | RW | Right |
| 18 | Right | 3 | FW | Right | 3 | RW | Right |
| 19 | Right | 3 | FW | Right | 3 | NW | Right |
| 20 | Right | 3 | FW | Right | 3 | RW | Right |
| Variables | Leg | M | SE | SD | 95% CI | t | Prob | Prob | Prob | ES | |
|---|---|---|---|---|---|---|---|---|---|---|---|
| Lower | Upper | (T < t) | (|T| > |t|) | (T > t) | (Cohen’s d) | ||||||
| FKA | D | 131.18 | 0.63 | 2.82 | 129.86 | 132.50 | 0.89 | 0.81 | 0.38 | 0.19 | 0.28 |
| Non-D | 130.39 | 0.62 | 2.79 | 129.08 | 131.70 | ||||||
| FAA | D | 125.73 | 0.94 | 4.22 | 123.75 | 127.70 | 0.59 | 0.72 | 0.56 | 0.28 | 0.19 |
| Non-D | 124.94 | 0.94 | 4.21 | 122.96 | 126.91 | ||||||
| RKA | D | 81.35 | 0.49 | 2.21 | 80.31 | 82.38 | 1.13 | 0.87 | 0.27 | 0.13 | 0.36 |
| Non-D | 80.56 | 0.50 | 2.23 | 79.51 | 81.60 | ||||||
| RAA | D | 98.17 | 0.69 | 3.08 | 96.73 | 99.61 | 0.82 | 0.79 | 0.42 | 0.21 | 0.26 |
| Non-D | 97.38 | 0.68 | 3.04 | 95.96 | 98.80 | ||||||
| HA | D | 42.87 | 0.39 | 1.73 | 42.06 | 43.68 | 1.43 | 0.92 | 0.16 | 0.08 | 0.45 |
| Non-D | 42.08 | 0.39 | 1.77 | 41.25 | 42.91 | ||||||
| BT | D | 0.75 | 0.01 | 0.02 | 0.74 | 0.76 | −12.87 | 0.00 * | 0.00 * | 1.00 | −4.07 |
| Non-D | 0.84 | 0.01 | 0.02 | 0.83 | 0.85 | ||||||
| Variables | Leg | M | SE | SD | 95% CI | t | Prob | Prob | Prob | ES | |
|---|---|---|---|---|---|---|---|---|---|---|---|
| Lower | Upper | (T < t) | (|T| > |t|) | (T > t) | (Cohen’s d) | ||||||
| TA | D | 38.03 | 0.55 | 2.45 | 36.89 | 39.17 | 0.90 | 0.81 | 0.37 | 0.19 | 0.26 |
| Non-D | 37.33 | 0.54 | 2.46 | 36.18 | 38.48 | ||||||
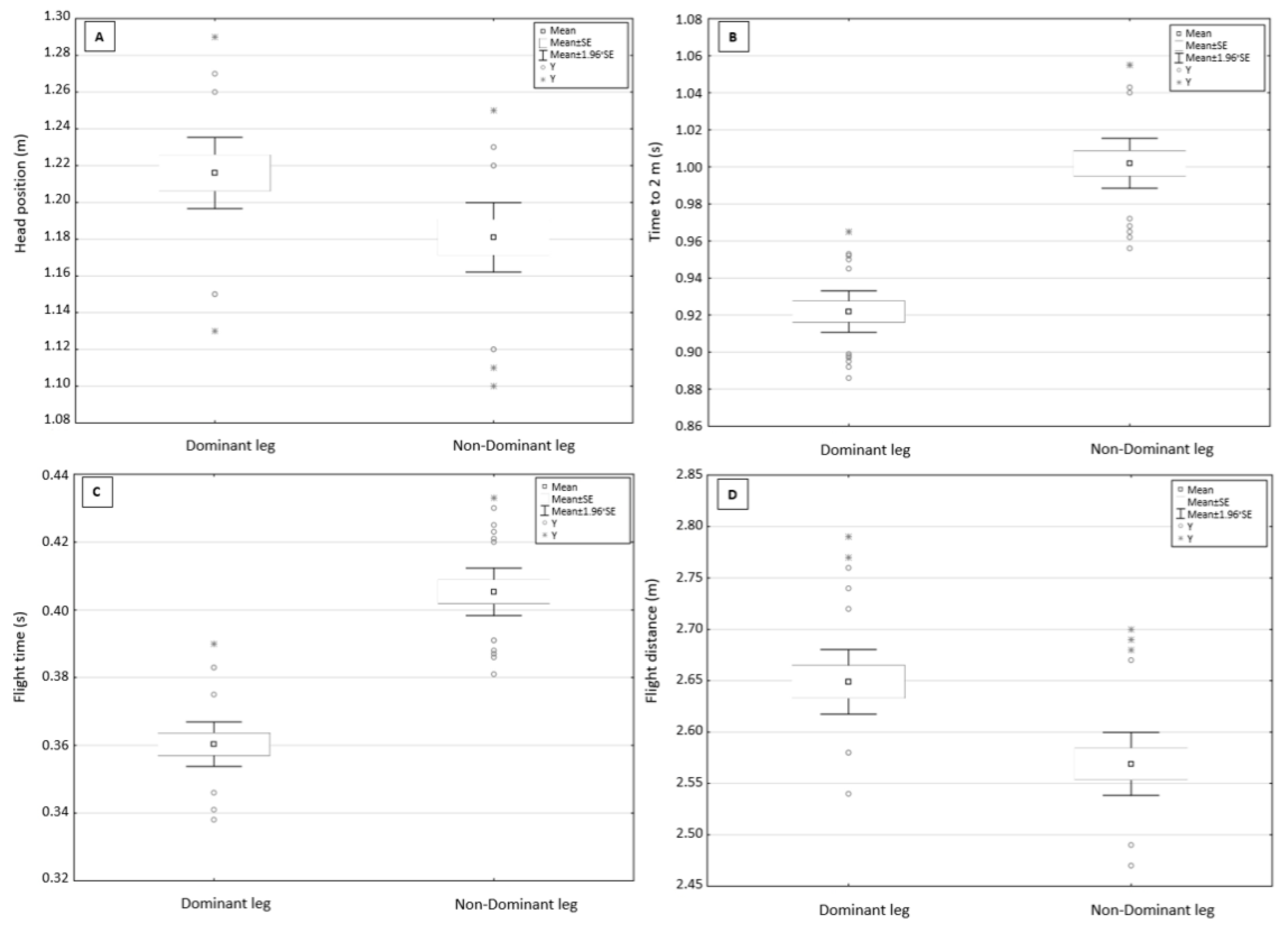
| HP | D | 1.22 | 0.01 | 0.04 | 1.20 | 1.24 | 2.53 | 0.99 | 0.01 * | 0.01 * | 0.80 |
| Non-D | 1.18 | 0.01 | 0.04 | 1.16 | 1.20 | ||||||
| T2 | D | 0.92 | 0.01 | 0.03 | 0.91 | 0.93 | −8.96 | 0.00 * | 0.00 * | 1.00 | −2.83 |
| Non-D | 1.00 | 0.01 | 0.03 | 0.99 | 1.02 | ||||||
| EA | D | 35.20 | 0.33 | 1.46 | 34.51 | 35.88 | 1.50 | 0.93 | 0.14 | 0.07 | 0.47 |
| Non-D | 34.50 | 0.33 | 1.50 | 33.80 | 35.19 | ||||||
| FT | D | 0.36 | 0.01 | 0.02 | 0.35 | 0.37 | −9.20 | 0.00 * | 0.00 * | 1.00 | −2.91 |
| Non-D | 0.41 | 0.01 | 0.02 | 0.40 | 0.41 | ||||||
| FD | D | 2.65 | 0.02 | 0.07 | 2.62 | 2.68 | 3.57 | 1.00 | 0.01 * | 0.01 * | 1.13 |
| Non-D | 2.57 | 0.02 | 0.07 | 2.54 | 2.60 | ||||||
| Variables | Leg | M | SE | SD | 95% CI | t | Prob | Prob | Prob | ES | |
|---|---|---|---|---|---|---|---|---|---|---|---|
| Lower | Upper | (T < t) | (|T| > |t|) | (T > t) | (Cohen’s d) | ||||||
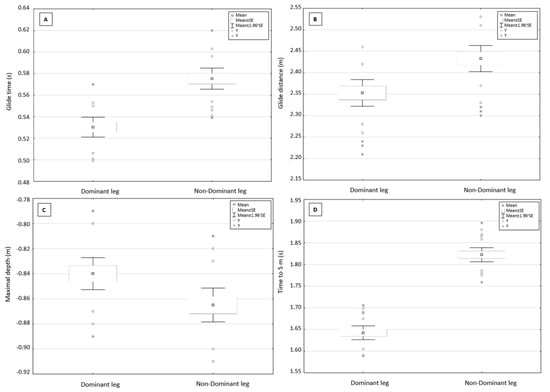
| GT | D | 0.53 | 0.01 | 0.02 | 0.52 | 0.54 | −6.57 | 0.00 * | 0.00 * | 1.00 | −2.08 |
| Non-D | 0.58 | 0.01 | 0.02 | 0.57 | 0.59 | ||||||
| GD | D | 2.35 | 0.02 | 0.07 | 2.32 | 2.38 | −3.60 | 0.01 * | 0.01 * | 1.00 | −1.14 |
| Non-D | 2.43 | 0.02 | 0.07 | 2.40 | 2.47 | ||||||
| MaxH | D | −0.84 | 0.01 | 0.03 | −0.85 | −0.83 | 2.64 | 1.00 | 0.01 * | 0.01 * | 0.84 |
| Non-D | −0.87 | 0.01 | 0.03 | −0.88 | −0.85 | ||||||
| T5 | D | 1.64 | 0.01 | 0.04 | 1.63 | 1.66 | −15.54 | 0.00 * | 0.00 * | 1.00 | −4.92 |
| Non-D | 1.82 | 0.01 | 0.04 | 1.81 | 1.84 | ||||||
Publisher’s Note: MDPI stays neutral with regard to jurisdictional claims in published maps and institutional affiliations. |
© 2021 by the authors. Licensee MDPI, Basel, Switzerland. This article is an open access article distributed under the terms and conditions of the Creative Commons Attribution (CC BY) license (https://creativecommons.org/licenses/by/4.0/).
Share and Cite
Matúš, I.; Ružbarský, P.; Vadašová, B.; Čech, P. Leg Dominance and OSB12 Kick Start Performance in Young Competitive Swimmers. Int. J. Environ. Res. Public Health 2021, 18, 13156. https://doi.org/10.3390/ijerph182413156
Matúš I, Ružbarský P, Vadašová B, Čech P. Leg Dominance and OSB12 Kick Start Performance in Young Competitive Swimmers. International Journal of Environmental Research and Public Health. 2021; 18(24):13156. https://doi.org/10.3390/ijerph182413156
Chicago/Turabian StyleMatúš, Ivan, Pavel Ružbarský, Bibiana Vadašová, and Pavol Čech. 2021. "Leg Dominance and OSB12 Kick Start Performance in Young Competitive Swimmers" International Journal of Environmental Research and Public Health 18, no. 24: 13156. https://doi.org/10.3390/ijerph182413156
APA StyleMatúš, I., Ružbarský, P., Vadašová, B., & Čech, P. (2021). Leg Dominance and OSB12 Kick Start Performance in Young Competitive Swimmers. International Journal of Environmental Research and Public Health, 18(24), 13156. https://doi.org/10.3390/ijerph182413156

