A Comparative Study of Two-Minute versus Three-Minute Passive Recovery on Sprint Skating Performance of Ice Hockey Forwards and Defensemen
Abstract
:1. Introduction
2. Materials and Methods
2.1. Subjects
2.2. Main Test Procedures
2.2.1. Study Design
2.2.2. Measurement of Body Composition
2.2.3. Measurement of Maximum Heart Rate and Predicted VO2max by Skating Multistage Aerobic Test (SMAT)
2.2.4. Repeated Sprint Skating Ability (RSSA) Test
Speed Decrement (Sdec)
Warm-Up before RSSA Test
Recording of Heart Rate
2.3. Statistical Analysis
3. Results
3.1. Physical and Physiological Characteristics of the Subjects
3.2. RSSA-2- and RSSA-3 Test Performance
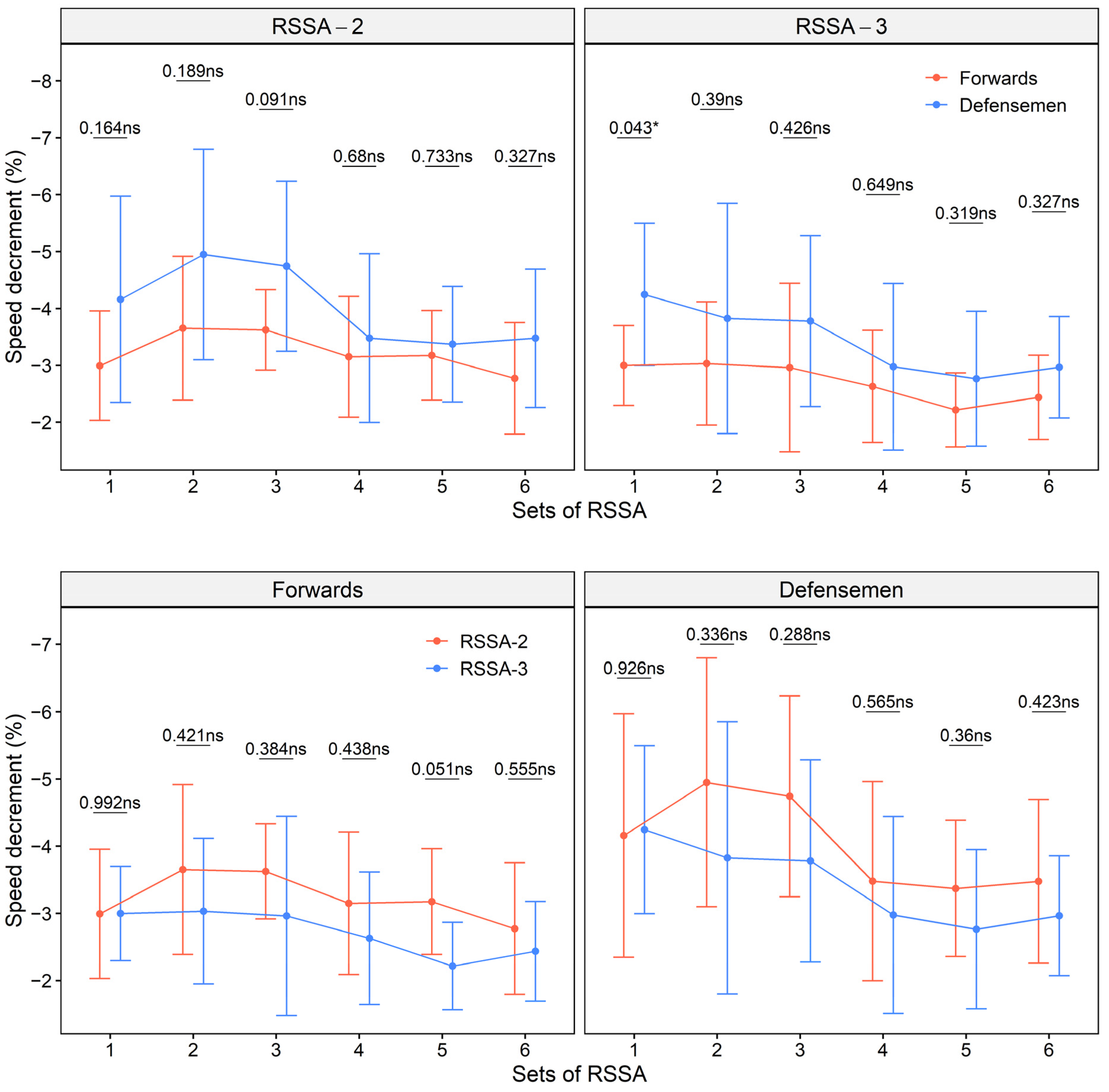
3.3. Speed Decrement
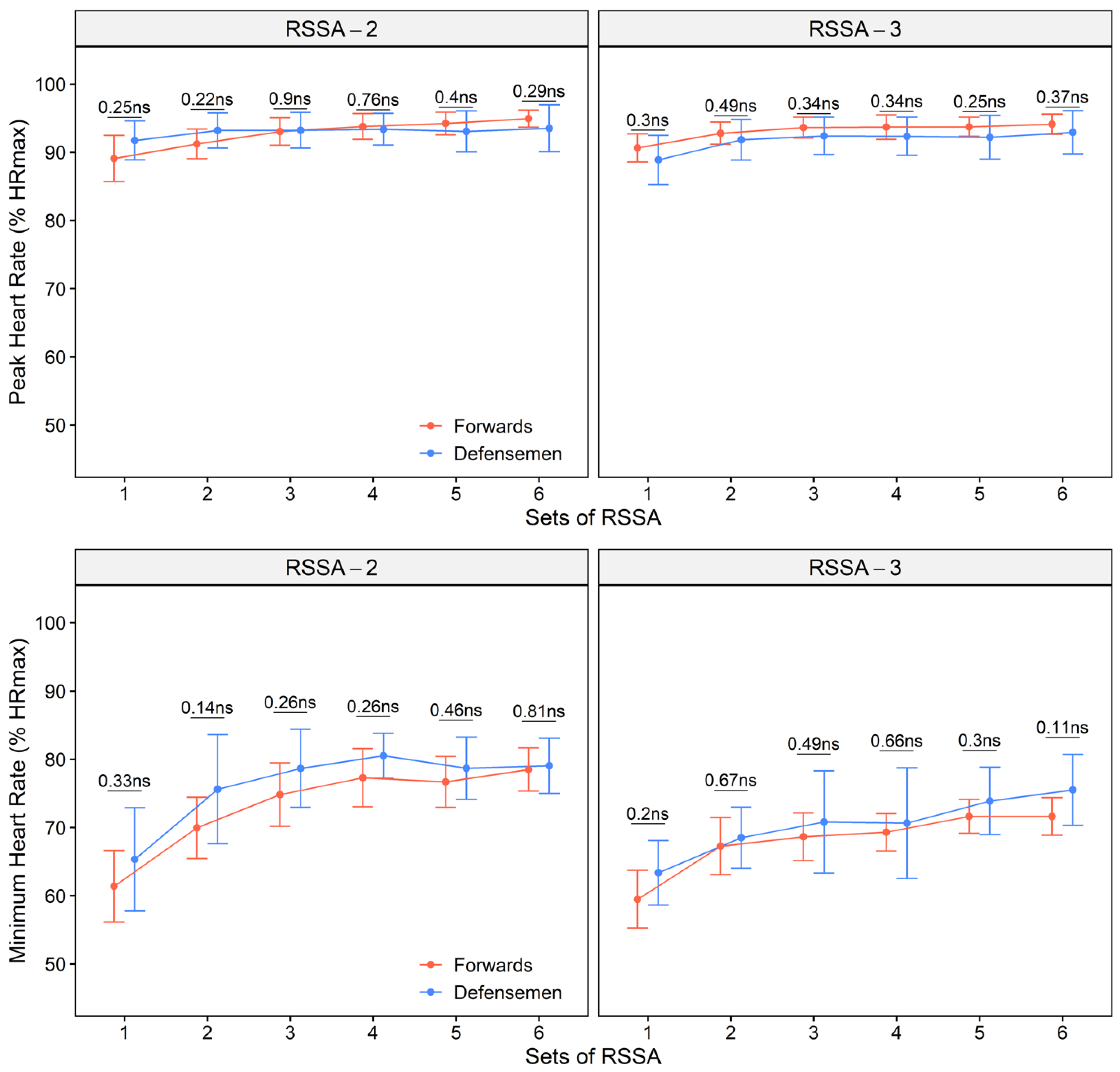
3.4. Heart Rate Response
4. Discussion
4.1. Future Research Directions
4.2. Limitations
5. Conclusions
Author Contributions
Funding
Institutional Review Board Statement
Informed Consent Statement
Conflicts of Interest
References
- Burr, J.F.; Jamnik, R.K.; Baker, J.; Macpherson, A.; Gledhill, N.; McGuire, E.J. Relationship of physical fitness test results and hockey playing potential in elite-level ice hockey players. J. Strength Cond. Res. 2008, 22, 1535–1543. [Google Scholar] [CrossRef] [PubMed]
- Cox, M.H.; Miles, D.S.; Verde, T.J.; Rhodes, E.C. Applied Physiology of Ice Hockey. Sports Med. 1995, 19, 184–201. [Google Scholar] [CrossRef]
- Green, H.; Bishop, P.; Houston, M.; McKillop, R.; Norman, R.; Stothart, P. Time motion and physiological assessments of ice hockey performance. J. Appl. Physiol. 1976, 40, 159–163. [Google Scholar] [CrossRef]
- Brocherie, F.; Girard, O.; Millet, G.P. Updated analysis of changes in locomotor activities across periods in an international ice hockey game. Biol. Sport 2018, 35, 261–267. [Google Scholar] [CrossRef] [PubMed]
- Agre, J.C.; Casal, D.C.; Leon, A.S.; McNally, C.; Baxter, T.L.; Serfass, R.C. Professional ice hockey players: Physiologic, anthropometric, and musculoskeletal characteristics. Arch. Phys. Med. Rehabil. 1988, 69, 188–192. [Google Scholar]
- Geithner, C.A.; Lee, A.M.; Bracko, M.R. Physical and performance differences among forwards, defensemen, and goalies in elite women’s ice hockey. J. Strenght Cond. Res. 2006, 20, 500–505. [Google Scholar] [CrossRef]
- Houston, M.E.; Green, H.J. Physiological and anthropometric characteristics of elite Canadian ice hockey players. J. Sports Med. Phys. Fitness 1976, 16, 123–128. [Google Scholar] [PubMed]
- Bracko, M.R.; George, J.D. Prediction of Ice Skating Performance with Off-Ice Testing in Women’s Ice Hockey Players. J. Strength Cond. Res. 2001, 15, 116–122. [Google Scholar] [CrossRef]
- Stanula, A.; Roczniok, R.; Maszczyk, A.; Pietraszewski, P.; Zając, A. The role of aerobic capacity in high-intensity intermittent efforts in ice-hockey. Biol. Sport 2014, 31, 193–195. [Google Scholar] [CrossRef] [Green Version]
- Twist, P.; Rhodes, T. Exercise physiology: A physiological analysis of ice hockey positions. Natl. Strength Cond. Assoc. J. 2008, 15, 44–46. [Google Scholar] [CrossRef]
- Bishop, D.; Spencer, M.; Duffield, R.; Lawrence, S. The validity of a repeated sprint ability test. J. Sci. Med. Sport 2001, 4, 19–29. [Google Scholar] [CrossRef]
- Da Silva, J.F.; Guglielmo, L.G.A.; Bishop, D. Relationship between different measures of aerobic fitness and repeated-sprint ability in elite soccer players. J. Strength Cond. Res. 2010, 24, 2115–2121. [Google Scholar] [CrossRef] [PubMed]
- Girard, O.; Mendez-Villanueva, A.; Bishop, D. Repeated-sprint ability part I: Factors contributing to fatigue. Sports Med. 2011, 41, 673–694. [Google Scholar] [CrossRef] [PubMed]
- Hůlka, K.; Bělka, J.; Cuberek, R.; Schneider, O. Reliability of specific on-ice repeated-sprint ability test for ice-hockey players. Acta Gymnica 2014, 44, 69–75. [Google Scholar] [CrossRef] [Green Version]
- Rampinini, E.; Sassi, A.; Morelli, A.; Mazzoni, S.; Fanchini, M.; Coutts, A.J. Repeated-sprint ability in professional and amateur soccer players. Appl. Physiol. Nutr. Metab. 2009, 34, 1048–1054. [Google Scholar] [CrossRef]
- Oliver, J.L. Is a fatigue index a worthwhile measure of repeated sprint ability? J. Sci. Med. Sport 2009, 12, 20–23. [Google Scholar] [CrossRef] [PubMed]
- Glaister, M. Multiple sprint work: Physiological responses, mechanisms of fatigue and the influence of aerobic fitness. Sport. Med. 2005, 35, 757–777. [Google Scholar] [CrossRef]
- Leone, M.; Léger, L.A.; Larivière, G.; Comtois, A.S. An on-ice aerobic maximal multistage shuttle skate test for elite adolescent hockey players. Int. J. Sports Med. 2007, 28, 823–828. [Google Scholar] [CrossRef]
- McGowan, C.J.; Pyne, D.B.; Thompson, K.G.; Rattray, B. Warm-Up Strategies for Sport and Exercise: Mechanisms and Applications. Sports Med. 2015, 45, 1523–1546. [Google Scholar] [CrossRef]
- Hopkins, W.G.; Marshall, S.W.; Batterham, A.M.; Hanin, J. Progressive statistics for studies in sports medicine and exercise science. Med. Sci. Sport. Exerc. 2009, 41, 3–13. [Google Scholar] [CrossRef] [Green Version]
- Roczniok, R.; Stanula, A.; Gabryś, T.; Szmatlan-Gabryś, U.; Gołaś, A.; Stastny, P. Physical fitness and performance of polish ice-hockey players competing at different sports levels. J. Hum. Kinet. 2016, 50, 201–208. [Google Scholar] [CrossRef] [PubMed] [Green Version]
- Montgomery, D.L. Physiology of ice hockey. Sports Med. 1988, 5, 99–126. [Google Scholar] [CrossRef]
- Peterson, B.J.; Fitzgerald, J.S.; Dietz, C.C.; Ziegler, K.S.; Ingraham, S.J.; Baker, S.E.; Snyder, E.M. Aerobic capacity is associated with improved repeated shift performance in hockey. J. Strength Cond. Res. 2015, 29, 1465–1472. [Google Scholar] [CrossRef] [Green Version]
- McGawley, K.; Bishop, D. Anaerobic and aerobic contribution to two, 5 × 6-s repeated-sprint bouts. Coach. Sport Sci. J. 2008, 3, 52. [Google Scholar]
- Parolin, M.L.; Chesley, A.; Matsos, M.P.; Spriet, L.L.; Jones, N.L.; Heigenhauser, G.J.F. Regulation of skeletal muscle glycogen phosphorylase and PDH during maximal intermittent exercise. Am. J. Physiol. Endocrinol. Metab. 1999, 277, E890–E900. [Google Scholar] [CrossRef]
- Bogdanis, G.C.; Nevill, M.E.; Boobis, L.H.; Lakomy, H.K.; Nevill, A.M. Recovery of power output and muscle metabolites following 30 s of maximal sprint cycling in man. J. Physiol. 1995, 482, 467–480. [Google Scholar] [CrossRef] [PubMed]
- Tomlin, D.L.; Wenger, H.A. The relationship between aerobic fitness and recovery from high intensity intermittent exercise. Sports Med. 2001, 31, 1–11. [Google Scholar] [CrossRef]
- Spencer, M.; Fitzsimons, M.; Dawson, B.; Bishop, D.; Goodman, C. Reliability of a repeated-sprint test for field-hockey. J. Sci. Med. Sport 2006, 9, 181–184. [Google Scholar] [CrossRef]
- Stanula, A.; Roczniok, R. Game intensity analysis of elite adolescent ice hockey players. J. Hum. Kinet. 2014, 44, 211–221. [Google Scholar] [CrossRef] [PubMed] [Green Version]
- Eisenhofer, G.; Kopin, I.J.; Goldstein, D.S. Catecholamine metabolism: A contemporary view with implications for physiology and medicine. Pharmacol. Rev. 2004, 56, 331–349. [Google Scholar] [CrossRef]
- Stanula, A.; Gabryś, T.; Roczniok, R.; Szmatlan-Gabryś, U.; Ozimek, M.; Mostowik, A. Quantification of the demands during an ice-hockey game based on intensity zones determined from the incremental test outcomes. J. Strength Cond. Res. 2016, 30, 176–183. [Google Scholar] [CrossRef] [PubMed]




| Variables | Forwards (n = 12) | Defensemen (n = 7) | Δ (%) | p-Value | Effect Size |
|---|---|---|---|---|---|
| Age | 23.4 ± 4.76 | 22.3 ± 5.2 | 1.2 (5.1%) | 0.582 | 0.24/Small |
| Height(cm) | 179.8 ± 5.68 | 182.0 ± 3.46 | −2.2 (−1.2%) | 0.331 | 0.43/Small |
| Weight(kg) | 80.5 ± 7.57 | 87.1 ± 4.81 | −6.6 (−8.2%) | 0.036 | 0.97/Moderate |
| Body fat% | 14.9 ± 4.75 | 17.3 ± 3.08 | −2.4 (−16.1%) | 0.208 | 0.56/Small |
| Muscle mass(kg) | 39.2 ± 4.02 | 41.4 ± 2.19 | −2.2 (−5.5%) | 0.171 | 0.61/Moderate |
| Pred VO2max (ml∙kg−1∙min−1) | 52.3 ± 3.11 | 50.7 ± 6.24 | 1.6 (3.1%) | 0.398 | 0.37/Small |
| HRmax (bpm) | 197.8 ± 13.09 | 195.4 ± 5.78 | ---- | ---- | ---- |
Publisher’s Note: MDPI stays neutral with regard to jurisdictional claims in published maps and institutional affiliations. |
© 2021 by the authors. Licensee MDPI, Basel, Switzerland. This article is an open access article distributed under the terms and conditions of the Creative Commons Attribution (CC BY) license (https://creativecommons.org/licenses/by/4.0/).
Share and Cite
Stanula, A.; Gupta, S.; Baron, J.; Bieniec, A.; Tomik, R.; Gabrys, T.; Valach, P.; Swinarew, A.S. A Comparative Study of Two-Minute versus Three-Minute Passive Recovery on Sprint Skating Performance of Ice Hockey Forwards and Defensemen. Int. J. Environ. Res. Public Health 2021, 18, 13029. https://doi.org/10.3390/ijerph182413029
Stanula A, Gupta S, Baron J, Bieniec A, Tomik R, Gabrys T, Valach P, Swinarew AS. A Comparative Study of Two-Minute versus Three-Minute Passive Recovery on Sprint Skating Performance of Ice Hockey Forwards and Defensemen. International Journal of Environmental Research and Public Health. 2021; 18(24):13029. https://doi.org/10.3390/ijerph182413029
Chicago/Turabian StyleStanula, Arkadiusz, Subir Gupta, Jakub Baron, Anna Bieniec, Rajmund Tomik, Tomasz Gabrys, Petr Valach, and Andrzej Szymon Swinarew. 2021. "A Comparative Study of Two-Minute versus Three-Minute Passive Recovery on Sprint Skating Performance of Ice Hockey Forwards and Defensemen" International Journal of Environmental Research and Public Health 18, no. 24: 13029. https://doi.org/10.3390/ijerph182413029
APA StyleStanula, A., Gupta, S., Baron, J., Bieniec, A., Tomik, R., Gabrys, T., Valach, P., & Swinarew, A. S. (2021). A Comparative Study of Two-Minute versus Three-Minute Passive Recovery on Sprint Skating Performance of Ice Hockey Forwards and Defensemen. International Journal of Environmental Research and Public Health, 18(24), 13029. https://doi.org/10.3390/ijerph182413029

