Acute Effects of Particulate Matter on All-Cause Mortality in Urban, Rural, and Suburban Areas, Italy
Abstract
:1. Introduction
2. Material and Methods
2.1. Study Area
2.2. Environmental Data
2.3. Health Data
2.4. Statistical Analysis
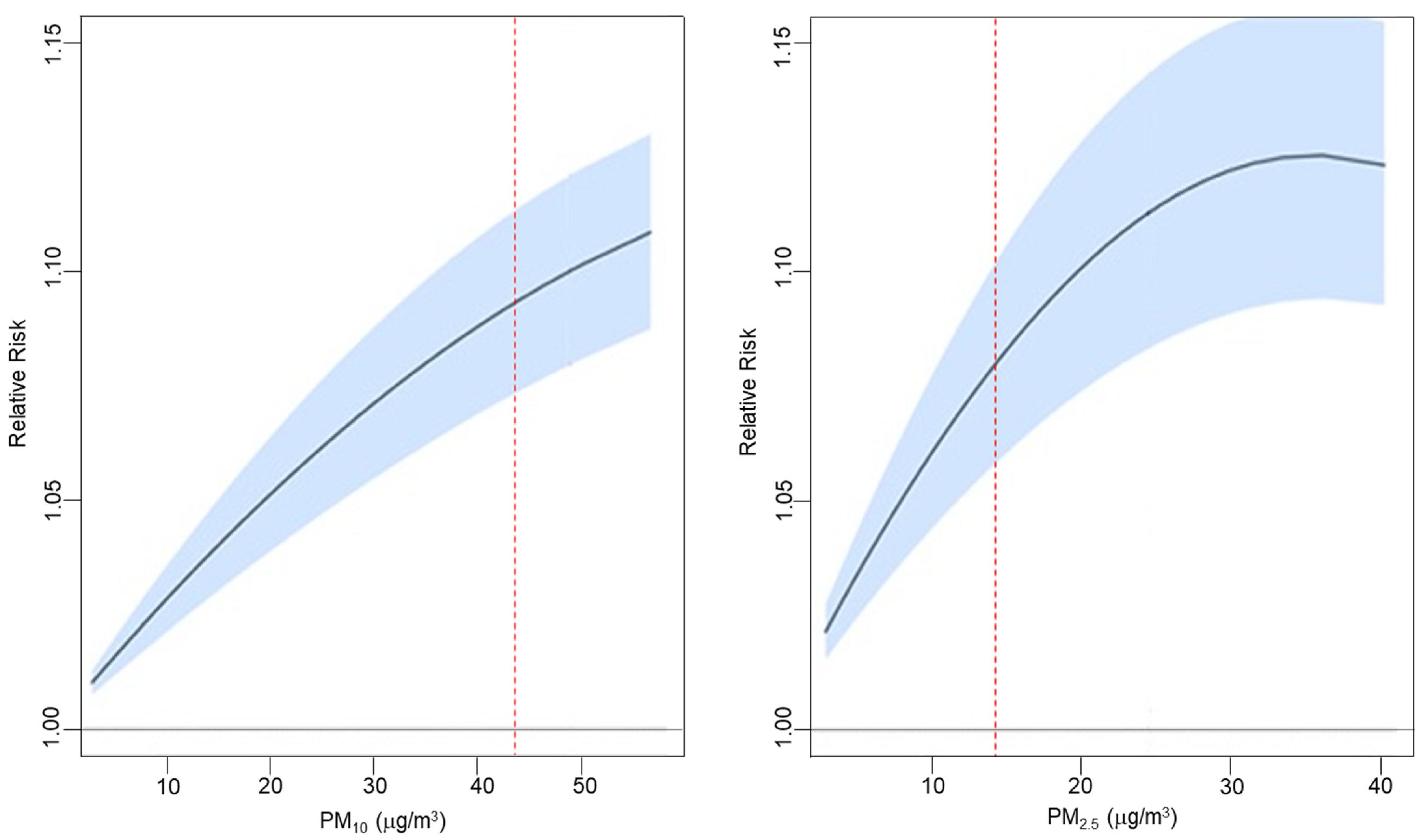
3. Results
4. Discussion
5. Conclusions
Supplementary Materials
Author Contributions
Funding
Institutional Review Board Statement
Informed Consent Statement
Data Availability Statement
Conflicts of Interest
References
- World Health Organization. Ambient Air Pollution: A Global Assessment of Exposure and Burden of Disease; World Health Organization: Geneva, Switzerland, 2016. [Google Scholar]
- Ritchie, H. Outdoor Air Pollution. Available online: https://ourworldindata.org/outdoor-air-pollution#outdoor-air-pollution-is-one-of-the-leading-risk-factors-for-premature-death (accessed on 1 April 2021).
- Stanaway, J.D.; Afshin, A.; Gakidou, E.; Lim, S.S.; Abate, D.; Abate, K.H.; Abbafati, C.; Abbasi, N.; Abbastabar, H.; Abd-Allah, F.; et al. Global, regional, and national comparative risk assessment of 84 behavioural, environmental and occupational, and metabolic risks or clusters of risks for 195 countries and territories, 1990–2017: A systematic analysis for the Global Burden of Disease Stu. Lancet 2018, 392, 1923–1994. [Google Scholar] [CrossRef] [Green Version]
- World Health Organization. Ambient (Outdoor) Air Pollution. Available online: https://www.who.int/en/news-room/fact-sheets/detail/ambient--(outdoor)-air-quality-and-health (accessed on 1 April 2021).
- Eurostat. People in the EU: Who Are We and How Do We Live; Publications Office of the European Union: Luxembourg, 2015. [Google Scholar]
- Atkinson, R.W.; Kang, S.; Anderson, H.R.; Mills, I.C.; Walton, H. A Epidemiological time series studies of PM2.5 and daily mortality and hospital admissions: A systematic review and meta-analysis. Thorax 2014, 69, 660–665. [Google Scholar] [CrossRef] [Green Version]
- Di, Q.; Wang, Y.; Zanobetti, A.; Wang, Y.; Koutrakis, P.; Choirat, C.; Dominici, F.; Schwartz, J.D. Air Pollution and Mortality in the Medicare Population. N. Engl. J. Med. 2017, 376, 2513–2522. [Google Scholar] [CrossRef] [PubMed]
- Liu, C.; Chen, R.; Sera, F.; Vicedo-Cabrera, A.M.; Guo, Y.; Tong, S.; Coelho, M.S.Z.S.; Saldiva, P.H.N.; Lavigne, E.; Matus, P.; et al. Ambient Particulate Air Pollution and Daily Mortality in 652 Cities. N. Engl. J. Med. 2019, 381, 705–715. [Google Scholar] [CrossRef]
- Alessandrini, E.R.; Faustini, A.; Chiusolo, M.; Stafoggia, M.; Gandini, M.; Demaria, M.; Antonelli, A.; Arena, P.; Biggeri, A.; Canova, C.; et al. Air pollution and mortality in twenty-five Italian cities: Results of the EpiAir2 Project|Inquinamento atmosferico e mortalità in venticinque città Italiane: Risultati del progetto EpiAir2. Epidemiol. Prev. 2013, 37, 220–229. [Google Scholar] [PubMed]
- Scarinzi, C.; Alessandrini, E.R.; Chiusolo, M.; Galassi, C.; Baldini, M.; Serinelli, M.; Faustini, A.; Stafoggia, M.; Gandini, M.; Antonelli, A.; et al. Inquinamento atmosferico e ricoveri ospedalieri urgenti in 25 città italiane: Risultati del progetto EpiAir2. Epidemiol. Prev. 2013, 37, 230–241. [Google Scholar] [PubMed]
- Samoli, E.; Stafoggia, M.; Rodopoulou, S.; Ostro, B.; Declercq, C.; Alessandrini, E.; Díaz, J.; Karanasiou, A.; Kelessis, A.G.; Le Tertre, A.; et al. Associations between fine and coarse particles and mortality in Mediterranean cities: Results from the MED-PARTICLES project. Environ. Health Perspect. 2013, 121, 932–938. [Google Scholar] [CrossRef] [PubMed]
- Mills, I.C.; Atkinson, R.W.; Kang, S.; Walton, H.; Anderson, H.R. Quantitative systematic review of the associations between short-term exposure to nitrogen dioxide and mortality and hospital admissions. BMJ Open 2015, 5, e006946. [Google Scholar] [CrossRef] [PubMed]
- Orellano, P.; Reynoso, J.; Quaranta, N.; Bardach, A.; Ciapponi, A. Short-term exposure to particulate matter (PM10 and PM2.5), nitrogen dioxide (NO2), and ozone (O3) and all-cause and cause-specific mortality: Systematic review and meta-analysis. Environ. Int. 2020, 142, 105876. [Google Scholar] [CrossRef] [PubMed]
- Biggeri, A.; Baccini, M. [Short-term effects of air pollution in Italy: Risk heterogeneity from 1996 to 2005]. [Le stime italiane degli effetti a breve termine dell’inquinamento atmosferico: Metodi e risultati a confronto.]. Epidemiol. Prev. 2009, 33, 95–102. [Google Scholar] [PubMed]
- Samoli, E.; Stafoggia, M.; Rodopoulou, S.; Ostro, B.; Alessandrini, E.; Basagaña, X.; Díaz, J.; Faustini, A.; Gandini, M.; Karanasiou, A.; et al. Which specific causes of death are associated with short term exposure to fine and coarse particles in Southern Europe? Results from the MED-PARTICLES project. Environ. Int. 2014, 67, 54–61. [Google Scholar] [CrossRef] [PubMed]
- Stafoggia, M.; Schwartz, J.; Badaloni, C.; Bellander, T.; Alessandrini, E.; Cattani, G.; de’ Donato, F.; Gaeta, A.; Leone, G.; Lyapustin, A.; et al. Estimation of daily PM10 concentrations in Italy (2006–2012) using finely resolved satellite data, land use variables and meteorology. Environ. Int. 2017, 99, 234–244. [Google Scholar] [CrossRef] [PubMed]
- Stafoggia, M.; Bellander, T.; Bucci, S.; Davoli, M.; De Hoogh, K.; De Donato, F.; Gariazzo, C.; Lyapustin, A.; Michelozzi, P.; Renzi, M.; et al. Estimation of daily PM10 and PM2.5 concentrations in Italy, 2013–2015, using a spatiotemporal land-use random-forest model. Environ. Int. 2019, 124, 170–179. [Google Scholar] [CrossRef] [PubMed]
- Stafoggia, M.; Renzi, M.; Forastiere, F.; Ljungman, P.; Davoli, M.; de’ Donato, F.; Gariazzo, C.; Michelozzi, P.; Scortichini, M.; Solimini, A.; et al. Short-term effects of particulate matter on cardiovascular morbidity in Italy. A national analysis. Eur. J. Prev. Cardiol. 2020, zwaa084, ISBN 1700018000. [Google Scholar] [CrossRef] [PubMed]
- National Institute of Statistics (ISTAT). Rapporto sul Territorio 2020. 2020. Available online: https://www.istat.it/it/archivio/240989 (accessed on 10 October 2021).
- U.S. EPA. Integrated Review Plan for the National Ambient Air Quality Standards for Particulate Matter; U.S. Environmental Protection Agency: Washington, DC, USA, 2016.
- Di, Q.; Dai, L.; Wang, Y.; Zanobetti, A.; Choirat, C.; Schwartz, J.D.; Dominici, F. Association of Short-term Exposure to Air Pollution With Mortality in Older Adults. JAMA 2017, 318, 2446. [Google Scholar] [CrossRef] [PubMed]
- Dee, D.P.; Uppala, S.M.; Simmons, A.J.; Berrisford, P.; Poli, P.; Kobayashi, S.; Andrae, U.; Balmaseda, M.A.; Balsamo, G.; Bauer, P.; et al. The ERA-Interim reanalysis: Configuration and performance of the data assimilation system. Q. J. R. Meteorol. Soc. 2011, 137, 553–597. [Google Scholar] [CrossRef]
- Steadman, R.G. The Assessment of Sultriness. Part I: A Temperature-Humidity Index Based on Human Physiology and Clothing Science. J. Appl. Meteorol. 1979, 18, 861–873. [Google Scholar] [CrossRef] [Green Version]
- O’Neill, M.S.; Zanobetti, A.; Schwartz, J. Modifiers of the temperature and mortality association in seven US cities. Am. J. Epidemiol. 2003, 157, 1074–1082. [Google Scholar] [CrossRef] [Green Version]
- European Commission; FAO; OECD; World Bank. Applying the Degree of Urbanisation. 2020. Available online: https://ec.europa.eu/eurostat/documents/10186/11395216/DEGURBA-manual.pdf/3a6bab6a-3fb1-4261-ad5b-e604cb67dc0d (accessed on 10 October 2021).
- Gasparrini, A.; Armstrong, B.; Kenward, M.G. Multivariate meta-analysis for non-linear and other multi-parameter associations. Stat. Med. 2012, 31, 3821–3839. [Google Scholar] [CrossRef] [PubMed] [Green Version]
- Janssen, N.; Fischer, P.; Marra, M.; Ameling, C.; Cassee, F.R. Short-term effects of PM2.5, PM10 and PM2.5–10 on daily mortality in the Netherlands. Sci. Total Environ. 2013, 463–464, 20–26. [Google Scholar] [CrossRef] [Green Version]
- Kim, K.H.; Kabir, E.; Kabir, S. A review on the human health impact of airborne particulate matter. Environ. Int. 2015, 74, 136–143. [Google Scholar] [CrossRef]
- Li, W.; Wilker, E.H.; Dorans, K.S.; Rice, M.B.; Schwartz, J.; Coull, B.A.; Koutrakis, P.; Gold, D.R.; Keaney, J.F.; Lin, H.; et al. Short-Term Exposure to Air Pollution and Biomarkers of Oxidative Stress: The Framingham Heart Study. J. Am. Heart Assoc. 2016, 5, 1–8. [Google Scholar] [CrossRef] [PubMed] [Green Version]
- Rich, D.Q.; Kipen, H.M.; Huang, W.; Wang, G.; Wang, Y.; Zhu, P.; Ohman-Strickland, P.; Hu, M.; Philipp, C.; Diehl, S.R.; et al. Association Between Changes in Air Pollution Levels During the Beijing Olympics and Biomarkers of Inflammation and Thrombosis in Healthy Young Adults. JAMA 2012, 307, 1–7. [Google Scholar] [CrossRef] [PubMed]
- Rückerl, R.; Hampel, R.; Breitner, S.; Cyrys, J.; Kraus, U.; Carter, J.; Dailey, L.; Devlin, R.B.; Diaz-Sanchez, D.; Koenig, W.; et al. Associations between ambient air pollution and blood markers of inflammation and coagulation/fibrinolysis in susceptible populations. Environ. Int. 2014, 70, 32–49. [Google Scholar] [CrossRef] [PubMed]
- Li, H.; Cai, J.; Chen, R.; Zhao, Z.; Ying, Z.; Wang, L.; Chen, J.; Hao, K.; Kinney, P.L.; Chen, H.; et al. Particulate matter exposure and stress hormone levels: A randomized, double-blind, crossover trial of air purification. Circulation 2017, 136, 618–627. [Google Scholar] [CrossRef] [PubMed]
- Bateson, T.F.; Schwartz, J. Who is Sensitive to the Effects of Particulate Air Pollution on Mortality ? A Case-Crossover Analysis of Effect Modifiers. Epidemiology 2004, 15, 143–149. [Google Scholar] [CrossRef] [PubMed] [Green Version]
- Sunyer, J.; Schwartz, J.; Tobías, A.; Macfarlane, D.; Garcia, J.; Antó, J.M. Patients with chronic obstructive pulmonary disease are at increased risk of death associated with urban particle air pollution: A case-crossover analysis. Am. J. Epidemiol. 2000, 151, 50–56. [Google Scholar] [CrossRef] [Green Version]
- Hong, Y.C.; Lee, J.T.; Kim, H.; Ha, E.H.; Schwartz, J.; Christiani, D.C. Effects of air pollutants on acute stroke mortality. Environ. Health Perspect. 2002, 110, 187–191. [Google Scholar] [CrossRef]
- Rumley, A.; Emberson, J.R.; Wannamethee, S.G.; Lennon, L.; Whincup, P.H.; Lowe, G.D.O. Effects of older age on fibrin D-dimer, C-reactive protein, and other hemostatic and inflammatory variables in men aged 60–79 years. J. Thromb. Haemost. 2006, 4, 982–987. [Google Scholar] [CrossRef]
- Quarck, R.; Nawrot, T.; Meyns, B.; Delcroix, M. C-Reactive Protein. A New Predictor of Adverse Outcome in Pulmonary Arterial Hypertension. J. Am. Coll. Cardiol. 2009, 53, 1211–1218. [Google Scholar] [CrossRef] [PubMed] [Green Version]
- Yunginger, J.W.; Reed, C.E.; O’Connell, E.J.; Melton, L.J.; O’Fallon, W.M.; Silverstein, M.D. A Community-based Study of the Epidemiology of Asthma: Incidence Rates, 1964–1983. Am. Rev. Respir. Dis. 1992, 146, 888–894. [Google Scholar] [CrossRef] [PubMed]
- Clougherty, J.E. A growing role for gender analysis in air pollution epidemiology. Environ. Health Perspect. 2010, 118, 167–176. [Google Scholar] [CrossRef] [PubMed] [Green Version]
- Samoli, E.; Analitis, A.; Touloumi, G.; Schwartz, J.; Anderson, H.R.; Sunyer, J.; Bisanti, L.; Zmirou, D.; Vonk, J.M.; Pekkanen, J.; et al. Estimating the Exposure–Response Relationships between Particulate Matter and Mortality within the APHEA Multicity Project. Environ. Health Perspect. 2005, 88, 88–95. [Google Scholar] [CrossRef]
- Schwartz, J.; Laden, F.; Zanobetti, A. The concentration-response relation between PM2.5 and daily deaths. Environ. Health Perspect. 2002, 10, 1025–1029. [Google Scholar] [CrossRef] [Green Version]
- Hanigan, I.C.; Rolfe, M.I.; Knibbs, L.D.; Salimi, F.; Cowie, C.T.; Heyworth, J.; Marks, G.B.; Guo, Y.; Cope, M.; Bauman, A.; et al. All-cause mortality and long-term exposure to low level air pollution in the ‘45 and up study’ cohort, Sydney, Australia, 2006–2015. Environ. Int. 2019, 126, 762–770. [Google Scholar] [CrossRef] [PubMed]
- Petrelli, A.; Di Napoli, A.; Sebastiani, G.; Rossi, A.; Giorgi Rossi, P.; Demuru, E.; Costa, G.; Zengarini, N.; Alicandro, G.; Marchetti, S.; et al. Italian Atlas of mortality inequalities by education level. Epidemiol. Prev. 2019, 43, 1–120. [Google Scholar] [CrossRef] [PubMed]




| Variable | Percentiles | ||||||||
|---|---|---|---|---|---|---|---|---|---|
| Overall | Mean | SD | Min | 25th | 50th | 75th | Max | IQR | |
| PM10 | μg/m3 | 23.3 | 14.2 | 1.8 | 14.6 | 19.7 | 27.0 | 290.2 | 12.4 |
| PM2.5 | μg/m3 | 15.1 | 10.9 | 1.3 | 8.7 | 11.6 | 16.9 | 163.4 | 8.3 |
| Temperature | °C | 11.8 | 8.0 | −23.2 | 6.0 | 12.0 | 17.8 | 35.8 | 11.8 |
| Rural areas | |||||||||
| PM10 | μg/m3 | 20.8 * | 12 | 1.8 | 13.6 | 18.0 | 24.0 | 275.7 | 9.4 |
| PM2.5 | μg/m3 | 13.5 * | 9.4 | 1.6 | 8.2 | 10.7 | 15.1 | 157.0 | 6.9 |
| Suburban areas | |||||||||
| PM10 | μg/m3 | 28.0 * | 16 | 2.1 | 17.8 | 23.6 | 32.5 | 290.2 | 14.7 |
| PM2.5 | μg/m3 | 18.0 * | 12.6 | 1.3 | 10.1 | 13.8 | 21.0 | 163.4 | 10.9 |
| Urban areas | |||||||||
| PM10 | μg/m3 | 34.1 * | 21 | 2.7 | 21.4 | 28.0 | 39.0 | 283.6 | 17.6 |
| PM2.5 | μg/m3 | 21.3 * | 15.6 | 1.3 | 11.3 | 15.6 | 25.1 | 158.3 | 13.8 |
| Urban | Suburban | Rural | Overall | ||||
|---|---|---|---|---|---|---|---|
| Total | N | % | N | % | N | % | N |
| 2,323,100 | 39.5 | 2,370,200 | 40.3 | 1,191,700 | 20.3 | 5,884,900 | |
| Age 0–64 | |||||||
| 358,660 | 47.2 | 274,660 | 36.1 | 127,230 | 16.7 | 760,550 | |
| Age 65–74 | |||||||
| 384,380 | 43.4 | 348,830 | 39.4 | 151,540 | 17.1 | 884,750 | |
| Age 75–84 | |||||||
| 746,640 | 39.3 | 779,680 | 41.0 | 374,070 | 19.7 | 1,900,400 | |
| Age 85+ | |||||||
| 833,280 | 35.6 | 966,930 | 41.3 | 538,830 | 23.0 | 2,339,000 | |
| Males | |||||||
| 1,143,800 | 40.0 | 1,144,400 | 40.0 | 570,930 | 20.0 | 2,859,100 | |
| Females | |||||||
| 1,179,300 | 39.0 | 1,225,700 | 40.5 | 620,780 | 20.5 | 3,025,800 |
| Age Class | Sex | PM10 | PM2.5 | ||||
|---|---|---|---|---|---|---|---|
| % Change | 95% CI | % Change | 95% CI | ||||
| 0–64 | Females | −0.33 | −1.86 | 1.22 | −0.21 | −5.23 | 5.06 |
| Males | −0.18 | −1.14 | 0.78 | −1.17 | −3.46 | 1.18 | |
| 65–74 | Females | 0.34 | −0.76 | 1.44 | 0.45 | −2.20 | 3.18 |
| Males | 0.27 | −0.63 | 1.18 | 0.09 | −1.76 | 1.98 | |
| 75–84 | Females | 1.68 | 1.01 | 2.35 | 1.42 | −0.59 | 3.48 |
| Males | 1.53 | 0.90 | 2.17 | 3.16 | 1.46 | 4.89 | |
| 85+ | Females | 2.73 | 2.21 | 3.26 | 3.07 | 2.07 | 4.09 |
| Males | 1.74 | 0.84 | 2.64 | 3.10 | 1.21 | 5.02 | |
Publisher’s Note: MDPI stays neutral with regard to jurisdictional claims in published maps and institutional affiliations. |
© 2021 by the authors. Licensee MDPI, Basel, Switzerland. This article is an open access article distributed under the terms and conditions of the Creative Commons Attribution (CC BY) license (https://creativecommons.org/licenses/by/4.0/).
Share and Cite
Renzi, M.; Marchetti, S.; de' Donato, F.; Pappagallo, M.; Scortichini, M.; Davoli, M.; Frova, L.; Michelozzi, P.; Stafoggia, M. Acute Effects of Particulate Matter on All-Cause Mortality in Urban, Rural, and Suburban Areas, Italy. Int. J. Environ. Res. Public Health 2021, 18, 12895. https://doi.org/10.3390/ijerph182412895
Renzi M, Marchetti S, de' Donato F, Pappagallo M, Scortichini M, Davoli M, Frova L, Michelozzi P, Stafoggia M. Acute Effects of Particulate Matter on All-Cause Mortality in Urban, Rural, and Suburban Areas, Italy. International Journal of Environmental Research and Public Health. 2021; 18(24):12895. https://doi.org/10.3390/ijerph182412895
Chicago/Turabian StyleRenzi, Matteo, Stefano Marchetti, Francesca de' Donato, Marilena Pappagallo, Matteo Scortichini, Marina Davoli, Luisa Frova, Paola Michelozzi, and Massimo Stafoggia. 2021. "Acute Effects of Particulate Matter on All-Cause Mortality in Urban, Rural, and Suburban Areas, Italy" International Journal of Environmental Research and Public Health 18, no. 24: 12895. https://doi.org/10.3390/ijerph182412895
APA StyleRenzi, M., Marchetti, S., de' Donato, F., Pappagallo, M., Scortichini, M., Davoli, M., Frova, L., Michelozzi, P., & Stafoggia, M. (2021). Acute Effects of Particulate Matter on All-Cause Mortality in Urban, Rural, and Suburban Areas, Italy. International Journal of Environmental Research and Public Health, 18(24), 12895. https://doi.org/10.3390/ijerph182412895

