Remediation of Smelter Contaminated Soil by Sequential Washing Using Biosurfactants
Abstract
:1. Introduction
2. Materials and Methods
2.1. Site Description, Soil Sampling and Characterization
| Characteristic | Value | |
|---|---|---|
| Sand, % | 27.3 ± 0.6 | |
| Silt, % | 67.9 ± 1.2 | |
| Clay, % | 4.8 ± 0.2 | |
| Texture | silt loam | |
| pH | 4.62 ± 0.12 | |
| Electrical conductivity (EC), mS/cm | 0.1 ± 0.0 | |
| Soil organic carbon, % | 0.47 ± 0.12 | |
| Soil organic matter, % | 0.81 ± 0.21 | |
| Cation exchange capacity (CEC), cmol/kg | 12.9 ± 0.9 | |
| Total Cu, mg/kg | 1651.9 ± 5.6 | 100/600 |
| Total Pb, mg/kg | 290.8 ± 3.5 | 100/600 |
| Total Zn, mg/kg | 165.0 ± 6.1 | 300/2000 |
2.2. Characterization of Biosurfactants as Washing Agents
2.3. Sequential Batch Soil Washing
2.4. Data Elaboration and Statistical Analysis
3. Results and Discussion
3.1. Metal Distribution and Stability in Smelter Contaminated Soil
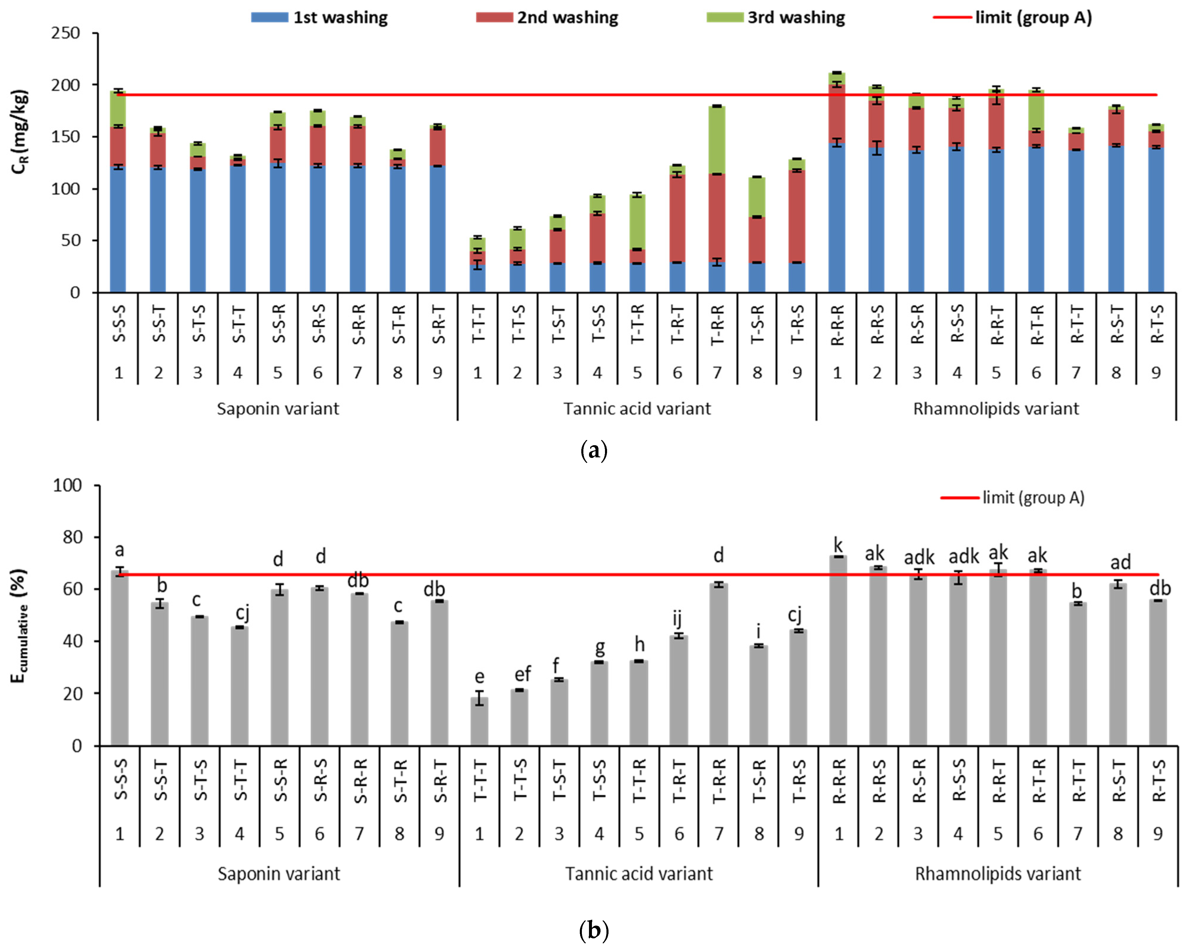
3.2. Effect of Sequential Soil Washing with Biosurfactants on Metal Removal from Smelter Contaminated Soil
3.3. Effect of Sequential Soil Washing with Biosurfactants on Metal Distribution and Stability
3.4. A Relationship between Cumulative Metal Removal Efficiency and Their Stability
3.5. Effect of Sequential Soil Washing on Biosurfactant Sorption in Soil
3.6. Assessment of Relative Cost of Using Biosurfactants in Sequential Soil Washing
4. Conclusions
Author Contributions
Funding
Institutional Review Board Statement
Informed Consent Statement
Data Availability Statement
Acknowledgments
Conflicts of Interest
References
- Khan, S.; Naushad, M.; Lima, E.C.; Zhang, S.; Shaheen, S.M.; Rinklebe, J. Global soil pollution by toxic elements: Current status and future perspectives on the risk assessment and remediation strategies—A review. J. Hazard. Mater. 2021, 417, 126039. [Google Scholar] [CrossRef]
- Mishra, S.; Lin, Z.; Pang, S.; Zhang, Y.; Bhatt, P.; Chen, S. Biosurfactant is a powerful tool for the bioremediation of heavy metals from contaminated soils. J. Hazard. Mater. 2021, 418, 126253. [Google Scholar] [CrossRef] [PubMed]
- Yang, Z.H.; Dong, C.D.; Chen, C.W.; Sheu, Y.T.; Kao, C.M. Using poly-glutamic acid as soil-washing agent to remediate heavy metal-contaminated soils. Environ. Sci. Pollut. Res. 2018, 25, 5231–5242. [Google Scholar] [CrossRef]
- Gusiatin, Z.M.; Kulikowska, D.; Klik, B. New-generation washing agents in remediation of metal-polluted soils and methods for washing effluent treatment: A review. Int. J. Environ. Res. Public Health 2020, 17, 6220. [Google Scholar] [CrossRef]
- De Almeida, D.G.; Soares Da Silva, R.D.C.F.; Luna, J.M.; Rufino, R.D.; Santos, V.A.; Banat, I.M.; Sarubbo, L.A. Biosurfactants: Promising molecules for petroleum biotechnology advances. Front. Microbiol. 2016, 7, 1718. [Google Scholar] [CrossRef] [PubMed] [Green Version]
- Mulligan, C.N. Sustainable remediation of contaminated soil using biosurfactants. Front. Bioeng. Biotechnol. 2021, 9, 195. [Google Scholar] [CrossRef]
- Jimoh, A.A.; Lin, J. Biotechnological applications of Paenibacillus sp. D9 lipopeptide biosurfactant produced in low-cost substrates. Appl. Biochem. Biotechnol. 2020, 191, 921–941. [Google Scholar] [CrossRef] [PubMed]
- Liu, Z.; Li, Z.; Zhong, H.; Zeng, G.; Liang, Y.; Chen, M.; Wu, Z.; Zhou, Y.; Yu, M.; Shao, B. Recent advances in the environmental applications of biosurfactant saponins: A review. J. Environ. Chem. Eng. 2017, 5, 6030–6038. [Google Scholar] [CrossRef]
- Tsang, D.C.; Olds, W.E.; Weber, P. Residual leachability of CCA-contaminated soil after treatment with biodegradable chelating agents and lignite-derived humic substances. J. Soil. Sediment. 2013, 13, 895–905. [Google Scholar] [CrossRef]
- Beiyuan, J.; Tsang, D.C.; Ok, Y.S.; Zhang, W.; Yang, X.; Baek, K.; Li, X.D. Integrating EDDS-enhanced washing with low-cost stabilization of metal-contaminated soil from an e-waste recycling site. Chemosphere 2016, 159, 426–432. [Google Scholar] [CrossRef]
- Ochoa-Loza, F.J.; Artiola, J.F.; Maier, R.M. Stability constants for the complexation of various metals with a rhamnolipid biosurfactant. J. Environ. Qual. 2001, 30, 479–485. [Google Scholar] [CrossRef] [PubMed]
- Zhu, Q.Q.; Shao, C.Y.; Zhang, Z.; Wen, X. Saponin biosurfactant-enhanced flushing for the removal of heavy metals from soils. Acta Sci. Circumstantiae 2010, 30, 2491–2498. [Google Scholar]
- Cruz, B.H.; Díaz-Cruz, J.M.; Ariño, C.; Esteban, M. Heavy metal binding by tannic acid: A voltammetric study. Electroanalysis 2000, 12, 1130–1137. [Google Scholar] [CrossRef]
- Mulligan, C.N.; Yong, R.N.; Gibbs, B.F. Remediation technologies for metal-contaminated soils and groundwater: An evaluation. Eng. Geol. 2001, 60, 193–207. [Google Scholar] [CrossRef]
- Gusiatin, Z.M.; Bułkowska, K.; Pokój, T. Tannic acid as a cost-effective substitute for saponin in soil remediation. Environ. Biotechnol. 2014, 10, 66–72. [Google Scholar] [CrossRef]
- Hajimohammadi, R.; Amani, H.; Soltani, H. Synergistic Effect of Rhamnolipid and Saponin Biosurfactants on Removal of Heavy Metals from Oil Contaminated Soils. Tenside Surfactants Deterg. 2020, 57, 109–114. [Google Scholar] [CrossRef]
- Wei, M.; Chen, J.; Wang, X. Removal of arsenic and cadmium with sequential soil washing techniques using Na2EDTA, oxalic and phosphoric acid: Optimization conditions, removal effectiveness and ecological risks. Chemosphere 2016, 156, 252–261. [Google Scholar] [CrossRef]
- Gusiatin, Z.M.; Klimiuk, E. Metal (Cu, Cd and Zn) removal and stabilization during multiple soil washing by saponin. Chemosphere 2012, 86, 383–391. [Google Scholar] [CrossRef]
- da Rocha Junior, R.B.; Meira, H.M.; Almeida, D.G.; Rufino, R.D.; Luna, J.M.; Santos, V.A.; Sarubbo, L.A. Application of a low-cost biosurfactant in heavy metal remediation processes. Biodegradation 2019, 30, 215–233. [Google Scholar] [CrossRef]
- Klik, B.K.; Gusiatin, Z.M.; Kulikowska, D. Simultaneous multi-metal removal from soil with washing agents of waste, plant and microbial origin. Soil Sediment Contam. 2019, 28, 773–791. [Google Scholar] [CrossRef]
- Sun, W.; Zhu, B.; Yang, F.; Dai, M.; Sehar, S.; Peng, C.; Ali, I.; Naz, I. Optimization of biosurfactant production from Pseudomonas sp. CQ2 and its application for remediation of heavy metal contaminated soil. Chemosphere 2021, 265, 129090. [Google Scholar] [CrossRef] [PubMed]
- Gusiatin, Z.M. Tannic acid and saponin for removing arsenic from brownfield soils: Mobilization, distribution and speciation. J. Environ. Sci. 2014, 26, 855–864. [Google Scholar] [CrossRef]
- Gusiatin, Z.M.; Klik, B.; Kulikowska, D. Tannic acid for remediation of historically arsenic-contaminated soils. Environ. Technol. 2019, 40, 1050–1061. [Google Scholar] [CrossRef]
- Gusiatin, Z.M. Surface tension technique as a strategy to evaluate the adsorption of biosurfactants used in soil remediation. Environ. Biotechnol. 2015, 11, 27–33. [Google Scholar] [CrossRef] [Green Version]
- Ostrowska, A.; Gawlinski, S.; Szczubiałka, Z. Analysis of Soils and Plants; Institute of Environmental Protection—National Research Institute: Warsaw, Poland, 1991. (In Polish) [Google Scholar]
- Pueyo, M.; Mateu, J.; Rigol, A.; Vidal, M.; López-Sánchez, J.F.; Rauret, G. Use of the modified BCR three-step sequential extraction procedure for the study of trace element dynamics in contaminated soils. Environ. Pollut. 2008, 152, 330–341. [Google Scholar] [CrossRef] [PubMed]
- OME. Ordinance of the Minister of Environment on soil and ground quality standards. J. Law 2016, 395, 1–86. (In Polish) [Google Scholar]
- Hong, K.J.; Tokunaga, S.; Kajiuchi, T. Evaluation of remediation process with plant-derived biosurfactant for recovery of heavy metals from contaminated soils. Chemosphere 2002, 49, 379–387. [Google Scholar] [CrossRef]
- Klik, B.K.; Gusiatin, Z.M.; Kulikowska, D. Suitability of environmental indices in assessment of soil remediation with conventional and next generation washing agents. Sci. Report. 2020, 10, 20586. [Google Scholar] [CrossRef]
- Nisa, A.K.; Rumhayati, B.; Kurniawan, A. Geochemical Distribution of Copper and Zinc in the Aquatic Sediment of Nyolo Spring Water at Karangploso Malang East Java. J. Pure App. Chem. Res. 2019, 8, 62–72. [Google Scholar] [CrossRef]
- Yong, R.N.; Mulligan, C.N. Natural Attenuation of Contaminants in Soils; Lewis Publishers, CRC Press LLC: Boca Raton, FL, USA, 2004. [Google Scholar]
- Ash, C.; Tejnecký, V.; Šebek, O.; Houška, J.; Chala, A.T.; Drahota, P.; Drábek, O. Redistribution of cadmium and lead fractions in contaminated soil samples due to experimental leaching. Geoderma 2015, 241, 126–135. [Google Scholar] [CrossRef]
- Bradl, H.B. Adsorption of heavy metal ions on soils and soils constituents. J. Colloid Interface Sci. 2004, 277, 1–18. [Google Scholar] [CrossRef] [PubMed]
- Filgueiras, A.V.; Lavilla, I.; Bendicho, C. Chemical sequential extraction for metal partitioning in environmental solid samples. J. Environ. Monit. 2002, 4, 823–857. [Google Scholar] [CrossRef] [PubMed]
- Nemati, K.; Bakar, N.K.A.; Abas, M.R.; Sobhanzadeh, E. Speciation of heavy metals by modified BCR sequential extraction procedure in different depths of sediments from Sungai Buloh, Selangor, Malaysia. J. Hazard. Mater. 2011, 192, 402–410. [Google Scholar] [CrossRef]
- Barman, M.; Datta, S.P.; Rattan, R.K.; Meena, M.C. Chemical fractions and bioavailability of nickel in alluvial soils. Plant Soil Environ. 2015, 61, 17–22. [Google Scholar] [CrossRef] [Green Version]
- Kulikowska, D.; Klik, B.K.; Gusiatin, Z.M.; Jabłoński, R. Sewage sludge can provide a washing agent for remediation of soil from a metallurgical area. Catena 2019, 173, 22–28. [Google Scholar] [CrossRef]
- Radziemska, M.; Gusiatin, Z.M.; Cydzik-Kwiatkowska, A.; Cerdà, A.; Pecina, V.; Bęś, A.; Datta, R.; Majewski, G.; Mazur, Z.; Dzięcioł, J.; et al. Insight into metal immobilization and microbial community structure in soil from a steel disposal dump phytostabilized with composted, pyrolyzed or gasified wastes. Chemosphere 2021, 272, 129576. [Google Scholar] [CrossRef]
- Lopes, G.; Costa, E.T.S.; Penido, E.S.; Sparks, D.L.; Guilherme, L.R.G. Binding intensity and metal partitioning in soils affected by mining and smelting activities in Minas Gerais, Brazil. Environ. Sci. Pollut. Res. 2015, 22, 13442–13452. [Google Scholar] [CrossRef] [PubMed]
- Maity, J.P.; Huang, Y.M.; Hsu, C.M.; Wu, C.I.; Chen, C.C.; Li, C.Y.; Jean, J.S.; Chang, Y.F.; Chen, C.Y. Removal of Cu, Pb and Zn by foam fractionation and a soil washing process from contaminated industrial soils using soapberry-derived saponin: A comparative effectiveness assessment. Chemosphere 2013, 92, 1286–1293. [Google Scholar] [CrossRef]
- Tang, J.; He, J.; Liu, T.; Xin, X. Removal of heavy metals with sequential sludge washing techniques using saponin: Optimization conditions, kinetics, removal effectiveness, binding intensity, mobility and mechanism. RSC Adv. 2017, 7, 33385–33401. [Google Scholar] [CrossRef] [Green Version]
- Gusiatin, Z.M.; Radziemska, M.; Żochowska, A. Sequential soil washing with mixed biosurfactants is suitable for simultaneous removal of multi-metals from soils with different properties, pollution levels and ages. Environ. Earth Sci. 2019, 78, 529. [Google Scholar] [CrossRef] [Green Version]
- Ye, M.; Sun, M.; Kengara, F.O.; Wang, J.; Ni, N.; Wang, L.; Song, Y.; Yang, X.; Li, H.; Hu, F.; et al. Evaluation of soil washing process with carboxymethyl-β-cyclodextrin and carboxymethyl chitosan for recovery of PAHs/heavy metals/fluorine from metallurgic plant site. J. Environ. Sci. 2014, 26, 1661–1672. [Google Scholar] [CrossRef]
- Cay, S.; Uyanik, A.; Engin, M.S.; Kutbay, H.G. Effect of EDTA and tannic acid on the removal of Cd, Ni, Pb and Cu from artificially contaminated soil by Althaea rosea Cavan. Int. J. Phytoremediat. 2015, 17, 568–574. [Google Scholar] [CrossRef] [PubMed]
- Lopes, C.S.C.; Teixeira, D.B.; Braz, B.F.; Santelli, R.E.; de Castilho, L.V.A.; Gomez, J.G.C.; Castro, R.P.V.; Seldin, L.; Freire, D.M.G. Application of rhamnolipid surfactant for remediation of toxic metals of long-and short-term contamination sites. Int. J. Environ. Sci. Technol. 2021, 18, 575–588. [Google Scholar] [CrossRef]
- El Zeftawy, M.M.; Mulligan, C.N. Use of rhamnolipid to remove heavy metals from wastewater by micellar-enhanced ultrafiltration (MEUF). Sep. Purif. Technol. 2011, 77, 120–127. [Google Scholar] [CrossRef]
- Chen, M.; Dong, C.; Penfold, J.; Thomas, R.K.; Smyth, T.J.; Perfumo, A.; Marchant, R.; Banat, I.M.; Stevenson, P.S.; Parry, A.; et al. Influence of calcium ions on rhamnolipid and rhamnolipid/anionic surfactant adsorption and self-assembly. Langmuir 2013, 29, 3912–3923. [Google Scholar] [CrossRef] [PubMed]
- Özdemir, G.; Peker, S.; Helvaci, S.S. Effect of pH on the surface and interfacial behavior of rhamnolipids R1 and R2. Colloids Surf. 2004, 234, 135–143. [Google Scholar] [CrossRef]
- Sachdev, D.P.; Cameotra, S.S. Biosurfactants in agriculture. Appl. Microbiol. Biotechnol. 2013, 97, 1005–1016. [Google Scholar] [CrossRef] [PubMed] [Green Version]
- Aşçı, Y.; Nurbaş, M.; Açıkel, Y.S. Removal of zinc ions from a soil component Na-feldspar by a rhamnolipid biosurfactant. Desalination 2008, 223, 361–365. [Google Scholar] [CrossRef]
- Tang, J.; He, J.; Qiu, Z.; Xin, X. Metal removal effectiveness, fractions, and binding intensity in the sludge during the multiple washing steps using the combined rhamnolipid and saponin. J. Soils Sediments 2019, 19, 1286–1296. [Google Scholar] [CrossRef]
- Li, Z.; Liu, D.; Huang, W.; Wei, X.; Sun, Y. Removing Cu and Zn from pig manure via the leaching method with EDTA, saponin, and their mixture. JAES 2019, 38, 220–228. [Google Scholar] [CrossRef]
- Ochoa-Loza, F.J.; Noordman, W.H.; Jannsen, D.B.; Brusseau, M.L.; Maier, R.M. Effect of clays, metal oxides, and organic matter on rhamnolipid biosurfactant sorption by soil. Chemosphere 2007, 66, 1634–1642. [Google Scholar] [CrossRef]
- Halvorson, J.J.; Gollany, H.T.; Kennedy, A.C.; Hagerman, A.E.; Gonzalez, J.M.; Wuest, S.B. Sorption of tannin and related phenolic compounds and effects on extraction of soluble-N in soil amended with several carbon sources. Agriculture 2012, 2, 52–72. [Google Scholar] [CrossRef] [Green Version]
- Zhou, W.; Wang, X.; Chen, C.; Zhu, L. Enhanced soil washing of phenanthrene by a plant-derived natural biosurfactant, Sapindus saponin. Colloids Surf. A Physicochem. Eng. Asp. 2013, 425, 122–128. [Google Scholar] [CrossRef]
- Yost, J.L.; Hartemink, A.E. Soil organic carbon in sandy soils: A review. Adv. Agron. 2019, 158, 217–310. [Google Scholar] [CrossRef]
- Gusiatin, Z.M.; Kaal, J.; Wasilewska, A.; Kumpiene, J.; Radziemska, M. Short-Term Soil Flushing with Tannic Acid and Its Effect on Metal Mobilization and Selected Properties of Calcareous Soil. Int. J. Environ. Res. Public Health 2021, 18, 5698. [Google Scholar] [CrossRef] [PubMed]
- Halvorson, J.J.; Gonzalez, J.M.; Hagerman, A.E.; Smith, J.L. Sorption of tannin and related phenolic compounds and effects on soluble-N in soil. Soil Biol. Biochem. 2009, 41, 2002–2010. [Google Scholar] [CrossRef]
- Dhanarajan, G.; Sen, R. Cost analysis of biosurfactant production from a scientist’s perspective. Biosurfactants 2014, 159, 153–161. [Google Scholar] [CrossRef]
- Lang, S.; Wullbrandt, D. Rhamnose lipids–biosynthesis, microbial production and application potential. Appl. Microbiol. Biotechnol. 1999, 51, 22–32. [Google Scholar] [CrossRef] [PubMed]
- Gusiatin, Z.M. Fe-modified Clinoptilolite is effective to recover plant biosurfactants used for removing arsenic from soil. Clean Soil Air Water 2015, 43, 1224–1231. [Google Scholar] [CrossRef]













| Characteristic | Biosurfactant | ||
|---|---|---|---|
| Saponin | Tannic Acid | Rhamnolipids | |
![]() | ![]() | ![]() | |
| Chemical form | glycoside | polyphenol | glycolipid |
| Origin | plant | plant | microbial |
| Concentration, g TOC/L | 13.6 ± 0.05 | 13.0 ± 0.4 | 13.3 ± 0.1 |
| Density, g/mL | 1.098 ± 0.003 | 1.085 ± 0.004 | 1.076 ± 0.003 |
| pH | 5.43 ± 0.11 | 4.38 ± 0.08 | 6.37 ± 0.13 |
| Electrical conductivity (EC), mS/cm | 31.3 ± 0.2 | 1.7 ± 0.0 | 36.6 ± 0.2 |
| Surface tension, mN/m | 43.0 ± 2.6 | 46.4 ± 1.8 | 23.6 ± 1.1 |
| Sequential Soil Washing | ||||
|---|---|---|---|---|
| No. of Sequence | No. of Biosurfactant Types in Sequence | Saponin (S) Variant | Tannic Acid (T) Variant | Rhamnolipids (R) Variant |
| 1 | 1 | S-S-S | T-T-T | R-R-R |
| 2 | 2 | S-S-T | T-T-S | R-R-S |
| 3 | S-T-S | T-S-T | R-S-R | |
| 4 | S-T-T | T-S-S | R-S-S | |
| 5 | S-S-R | T-T-R | R-R-T | |
| 6 | S-R-S | T-R-T | R-T-R | |
| 7 | S-R-R | T-R-R | R-T-T | |
| 8 | 3 | S-T-R | T-S-R | R-S-T |
| 9 | S-R-T | T-R-S | R-T-S | |
Publisher’s Note: MDPI stays neutral with regard to jurisdictional claims in published maps and institutional affiliations. |
© 2021 by the authors. Licensee MDPI, Basel, Switzerland. This article is an open access article distributed under the terms and conditions of the Creative Commons Attribution (CC BY) license (https://creativecommons.org/licenses/by/4.0/).
Share and Cite
Gusiatin, Z.M.; Kumpiene, J.; Carabante, I.; Radziemska, M.; Brtnicky, M. Remediation of Smelter Contaminated Soil by Sequential Washing Using Biosurfactants. Int. J. Environ. Res. Public Health 2021, 18, 12875. https://doi.org/10.3390/ijerph182412875
Gusiatin ZM, Kumpiene J, Carabante I, Radziemska M, Brtnicky M. Remediation of Smelter Contaminated Soil by Sequential Washing Using Biosurfactants. International Journal of Environmental Research and Public Health. 2021; 18(24):12875. https://doi.org/10.3390/ijerph182412875
Chicago/Turabian StyleGusiatin, Zygmunt Mariusz, Jurate Kumpiene, Ivan Carabante, Maja Radziemska, and Martin Brtnicky. 2021. "Remediation of Smelter Contaminated Soil by Sequential Washing Using Biosurfactants" International Journal of Environmental Research and Public Health 18, no. 24: 12875. https://doi.org/10.3390/ijerph182412875
APA StyleGusiatin, Z. M., Kumpiene, J., Carabante, I., Radziemska, M., & Brtnicky, M. (2021). Remediation of Smelter Contaminated Soil by Sequential Washing Using Biosurfactants. International Journal of Environmental Research and Public Health, 18(24), 12875. https://doi.org/10.3390/ijerph182412875




