The A Body Shape Index Might Be a Stronger Predictor of Chronic Kidney Disease Than BMI in a Senior Population
Abstract
1. Introduction
2. Materials and Methods
2.1. Study Design and Participants
2.2. Anthropometric Indices
2.3. Estimated Glomerular Filtration Rate (eGFR) and Biochemical Assessments
2.4. Statistical Analysis
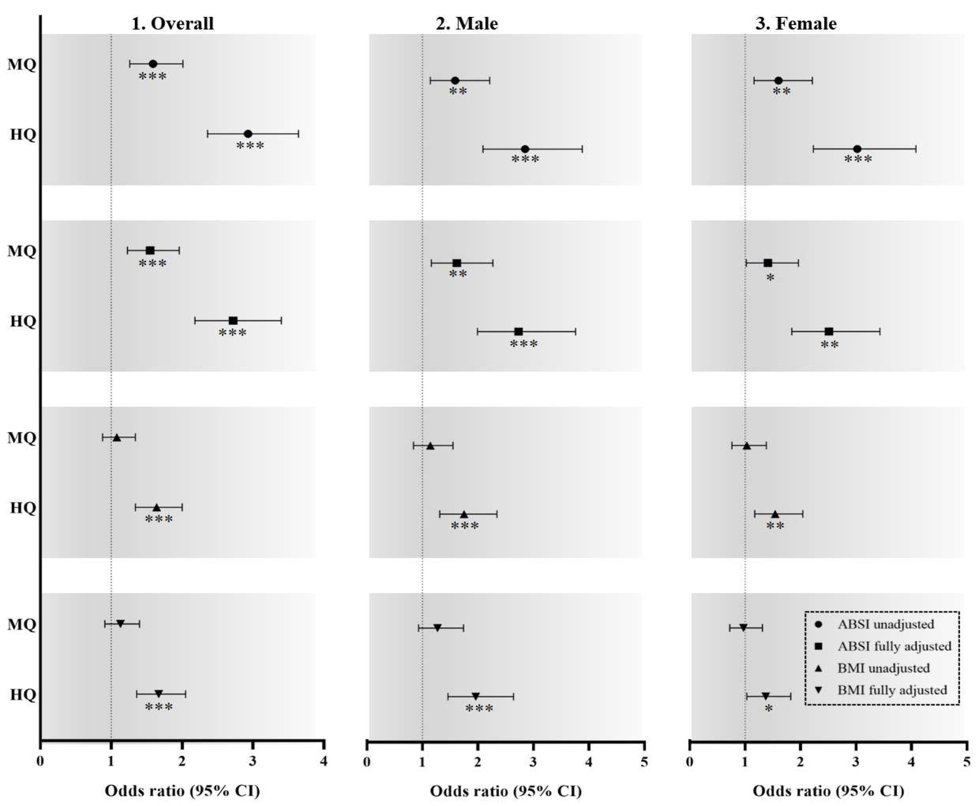
3. Results
4. Discussion
5. Conclusions
Supplementary Materials
Author Contributions
Funding
Institutional Review Board Statement
Informed Consent Statement
Data Availability Statement
Acknowledgments
Conflicts of Interest
References
- Schefold, J.C.; Filippatos, G.; Hasenfuss, G.; Anker, S.D.; von Haehling, S. Heart failure and kidney dysfunction: Epidemiology, mechanisms and management. Nat. Rev. Nephrol. 2016, 12, 610–623. [Google Scholar] [CrossRef] [PubMed]
- Mukai, H.; Ming, P.; Lindholm, B.; Heimburger, O.; Barany, P.; Stenvinkel, P.; Qureshi, A.R. Lung Dysfunction and Mortality in Patients with Chronic Kidney Disease. Kidney Blood Press Res. 2018, 43, 522–535. [Google Scholar] [CrossRef]
- Kang, H.T.; Lee, J.; Linton, J.A.; Park, B.J.; Lee, Y.J. Trends in the prevalence of chronic kidney disease in Korean adults: The Korean National Health and Nutrition Examination Survey from 1998 to 2009. Nephrol. Dial. Transplant. 2013, 28, 927–936. [Google Scholar] [CrossRef] [PubMed][Green Version]
- Park, J.I.; Baek, H.; Jung, H.H. Prevalence of Chronic Kidney Disease in Korea: The Korean National Health and Nutritional Examination Survey 2011–2013. J. Korean Med. Sci. 2016, 31, 915–923. [Google Scholar] [CrossRef] [PubMed]
- Abdulkader, R.; Burdmann, E.A.; Lebrão, M.L.; Duarte, Y.A.O.; Zanetta, D.M.T. Aging and decreased glomerular filtration rate: An elderly population-based study. PLoS ONE 2017, 12, e0189935. [Google Scholar] [CrossRef]
- Ji, M.; Zhang, S.; An, R. Effectiveness of A Body Shape Index (ABSI) in predicting chronic diseases and mortality: A systematic review and meta-analysis. Obes. Rev. 2018, 19, 737–759. [Google Scholar] [CrossRef] [PubMed]
- NCD Risk Factor Collaboration (NCD-RisC). Trends in adult body-mass index in 200 countries from 1975 to 2014: A pooled analysis of 1698 population-based measurement studies with 19·2 million participants. Lancet 2016, 387, 1377–1396. [Google Scholar] [CrossRef]
- Garofalo, C.; Borrelli, S.; Minutolo, R.; Chiodini, P.; De Nicola, L.; Conte, G. A systematic review and meta-analysis suggests obesity predicts onset of chronic kidney disease in the general population. Kidney Int. 2017, 91, 1224–1235. [Google Scholar] [CrossRef] [PubMed]
- Caballero, B. Humans against Obesity: Who Will Win? Adv. Nutr. 2019, 10, S4–S9. [Google Scholar] [CrossRef] [PubMed]
- Bombak, A. Obesity, health at every size, and public health policy. Am. J. Public Health 2014, 104, e60–e67. [Google Scholar] [CrossRef] [PubMed]
- Tsujimoto, T.; Sairenchi, T.; Iso, H.; Irie, F.; Yamagishi, K.; Watanabe, H.; Tanaka, K.; Muto, T.; Ota, H. The dose-response relationship between body mass index and the risk of incident stage ≥3 chronic kidney disease in a general japanese population: The Ibaraki prefectural health study (IPHS). J. Epidemiol. 2014, 24, 444–451. [Google Scholar] [CrossRef] [PubMed]
- Kim, B.; Park, H.; Kim, G.; Isobe, T.; Sakae, T.; Oh, S. Relationships of Fat and Muscle Mass with Chronic Kidney Disease in Older Adults: A Cross-Sectional Pilot Study. Int. J. Environ. Res. Public Health 2020, 17, 9124. [Google Scholar] [CrossRef] [PubMed]
- Chen, Y.Y.; Fang, W.H.; Wang, C.C.; Kao, T.W.; Chang, Y.W.; Yang, H.F.; Wu, C.J.; Sun, Y.S.; Chen, W.L. Changes of Percent Body Fat as a Useful Surrogate for Risk of Declined Renal Function. Sci. Rep. 2018, 8, 17289. [Google Scholar] [CrossRef] [PubMed]
- Johansen, K.L.; Lee, C. Body composition in chronic kidney disease. Curr. Opin. Nephrol. Hypertens. 2015, 24, 268–275. [Google Scholar] [CrossRef] [PubMed]
- Krakauer, N.Y.; Krakauer, J.C. A new body shape index predicts mortality hazard independently of body mass index. PLoS ONE 2012, 7, e39504. [Google Scholar]
- Bertoli, S.; Leone, A.; Krakauer, N.Y.; Bedogni, G.; Vanzulli, A.; Redaelli, V.I.; De Amicis, R.; Vignati, L.; Krakauer, J.C.; Battezzati, A. Association of Body Shape Index (ABSI) with cardio-metabolic risk factors: A cross-sectional study of 6081 Caucasian adults. PLoS ONE 2017, 12, e0185013. [Google Scholar] [CrossRef]
- Krakauer, N.Y.; Krakauer, J.C. Association of Body Shape Index (ABSI) with Hand Grip Strength. Int. J. Environ. Res. Public Health 2020, 17, 6797. [Google Scholar] [CrossRef]
- Kasaeian, A.; Hemati, Z.; Heshmat, R.; Baygi, F.; Heshmati, J.; Mahdavi-Gorabi, A.; Abdar, M.E.; Motlagh, M.E.; Shafiee, G.; Qorban, M.; et al. Association of a body shape index and hip index with cardiometabolic risk factors in children and adolescents: The CASPIAN-V study. J. Diabetes Metab. Disord. 2021, 20, 285–292. [Google Scholar] [CrossRef]
- Bouchi, R.; Asakawa, M.; Ohara, N.; Nakano, Y.; Takeuchi, T.; Murakami, M.; Sasahara, Y.; Numasawa, M.; Minami, I.; Izumiyama, H.; et al. Indirect measure of visceral adiposity ‘A Body Shape Index’ (ABSI) is associated with arterial stiffness in patients with type 2 diabetes. BMJ Open Diabetes Res. Care 2016, 4, e000188. [Google Scholar] [CrossRef]
- Kajikawa, M.; Maruhashi, T.; Kishimoto, S.; Yamaji, T.; Harada, T.; Hashimoto, Y.; Han, Y.; Mizobuchi, A.; Aoki, G.; Yoshimura, K.; et al. A body shape index is associated with endothelial dysfunction in both men and women. Sci. Rep. 2021, 11, 17873. [Google Scholar] [CrossRef]
- Bawadi, H.; Abouwatfa, M.; Alsaeed, S.; Kerkadi, A.; Shi, Z. Body Shape Index Is a Stronger Predictor of Diabetes. Nutrients 2019, 11, 1018. [Google Scholar] [CrossRef] [PubMed]
- Anoop, S.; Krakauer, J.; Krakauer, N.; Misra, A. A Body shape index significantly predicts MRI-defined abdominal adipose tissue depots in non-obese Asian Indians with type 2 diabetes mellitus. BMJ Open Diabetes Res. Care 2020, 8, e001324. [Google Scholar] [CrossRef] [PubMed]
- Matsuo, S.; Imai, E.; Horio, M.; Yasuda, Y.; Tomita, K.; Nitta, K.; Yamagata, K.; Tomino, Y.; Yokoyama, H.; Hishida, A.; et al. Revised equations for estimated GFR from serum creatinine in Japan. Am. J. Kidney Dis. 2009, 53, 982–992. [Google Scholar] [CrossRef] [PubMed]
- Lee, S.; Shimada, H.; Park, H.; Makizako, H.; Lee, S.; Doi, T.; Yoshida, D.; Tsutsumimoto, K.; Anan, Y.; Suzuki, T. The association between kidney function and cognitive decline in community-dwelling, elderly Japanese people. J. Am. Med. Dir. Assoc. 2015, 16, 349-e1. [Google Scholar] [CrossRef] [PubMed]
- Moon, S.J.; Kim, T.H.; Yoon, S.Y.; Chung, J.H.; Hwang, H.J. Relationship between Stage of Chronic Kidney Disease and Sarcopenia in Korean Aged 40 Years and Older Using the Korea National Health and Nutrition Examination Surveys (KNHANES IV-2, 3, and V-1, 2), 2008–2011. PLoS ONE 2015, 10, e0130740. [Google Scholar] [CrossRef]
- Khadra, D.; Itani, L.; Tannir, H.; Kreidieh, D.; El Masri, D.; El Ghoch, M. Association between sarcopenic obesity and higher risk of type 2 diabetes in adults: A systematic review and meta-analysis. World J. Diabetes 2019, 10, 311–323. [Google Scholar] [CrossRef]
- Dhana, K.; Koolhaas, C.M.; Schoufour, J.D.; Rivadeneira, F.; Hofman, A.; Kavousi, M.; Franco, O.H. Association of anthropometric measures with fat and fat-free mass in the elderly: The Rotterdam study. Maturitas 2016, 88, 96–100. [Google Scholar] [CrossRef]
- Gomez-Peralta, F.; Abreu, C.; Cruz-Bravo, M.; Alcarria, E.; Gutierrez-Buey, G.; Krakauer, N.Y.; Krakauer, J.C. Relationship between “a body shape index (ABSI)” and body composition in obese patients with type 2 diabetes. Diabetol. Metab. Syndr. 2018, 10, 21. [Google Scholar] [CrossRef]
- Filippatos, G.; Anker, S.D.; Agarwal, R.; Pitt, B.; Ruilope, L.M.; Rossing, P.; Kolkhof, P.; Schloemer, P.; Tornus, I.; Joseph, A.; et al. Fidelio-Dkd Investigators. Finerenone and Cardiovascular Outcomes in Patients with Chronic Kidney Disease and Type 2 Diabetes. Circulation 2021, 143, 540–552. [Google Scholar] [CrossRef]
- Hong, S.H.; Choi, K.M. Sarcopenic Obesity, Insulin Resistance, and Their Implications in Cardiovascular and Metabolic Consequences. Int. J. Mol. Sci. 2020, 21, 494. [Google Scholar] [CrossRef]
- Atkins, J.L.; Wannamathee, S.G. Sarcopenic obesity in ageing: Cardiovascular outcomes and mortality. Br. J. Nutr. 2020, 124, 1102–1113. [Google Scholar] [CrossRef]
- Bhaskaran, K.; Dos-Santos-Silva, I.; Leon, D.A.; Douglas, I.J.; Smeeth, L. Association of BMI with overall and cause-specific mortality: A population-based cohort study of 3.6 million adults in the UK. Lancet Diabetes Endocrinol. 2018, 6, 944–953. [Google Scholar] [CrossRef]
- Yu, J.; Tao, Y.; Dou, J.; Ye, J.; Yu, Y.; Jin, L. The dose-response analysis between BMI and common chronic diseases in northeast China. Sci. Rep. 2018, 8, 4228. [Google Scholar] [CrossRef]
- Kim, J.K.; Song, Y.R.; Kwon, Y.J.; Kim, H.J.; Kim, S.G.; Ju, Y.S. Increased body fat rather than body weight has harmful effects on 4-year changes of renal function in the general elderly population with a normal or mildly impaired renal function. Clin. Interv. Aging 2014, 9, 1277–1286. [Google Scholar] [CrossRef] [PubMed]
- Kim, B.; Tsujimoto, T.; So, R.; Zhao, X.; Suzuki, S.; Kim, T.; Tanaka, K. Weight loss may be a better approach for managing musculoskeletal conditions than increasing muscle mass and strength. J. Phys. Ther. Sci. 2015, 27, 3787–3791. [Google Scholar] [CrossRef] [PubMed]
- Oh, S.; Tanaka, K.; Noh, J.W.; So, R.; Tsujimoto, T.; Sasai, H.; Kim, M.; Shoda, J. Abdominal obesity: Causal factor or simply a symptom of obesity-related health risk. Diabetes Metab. Syndr. Obes. Targets Ther. 2014, 7, 289–296. [Google Scholar] [CrossRef][Green Version]
- Aparecida Silveira, E.; Vaseghi, G.; de Carvalho Santos, A.S.; Kliemann, N.; Masoudkabir, F.; Noll, M.; Mohammadifard, N.; Sarrafzadegan, N.; de Oliveira, C. Visceral Obesity and Its Shared Role in Cancer and Cardiovascular Disease: A Scoping Review of the Pathophysiology and Pharmacological Treatments. Int. J. Mol. Sci. 2020, 21, 9042. [Google Scholar] [CrossRef]
- Kim, B.; Oh, S.; Kim, E. Abdominal fat accumulation as a potential risk factor for low back pain in adult men. Int. J. Appl. Sports Sci. 2019, 31, 25–31. [Google Scholar]
- Sorimachi, H.; Obokata, M.; Takahashi, N.; Reddy, Y.N.V.; Jain, C.C.; Verbrugge, F.H.; Koepp, K.E.; Khosla, S.; Jensen, M.D.; Borlaug, B.A. Pathophysiologic importance of visceral adipose tissue in women with heart failure and preserved ejection fraction. Eur. Heart J. 2021, 42, 1595–1605. [Google Scholar] [CrossRef]
- Karlsson, T.; Rask-Andersen, M.; Pan, G.; Hoglund, J.; Wadelius, C.; Ek, W.E.; Johansson, A. Contribution of genetics to visceral adiposity and its relation to cardiovascular and metabolic disease. Nat. Med. 2019, 25, 1390–1395. [Google Scholar] [CrossRef]
- Duncan, M.J.; Mota, J.; Vale, S.; Santos, M.P.; Ribeiro, J.C. Associations between body mass index, waist circumference and body shape index with resting blood pressure in Portuguese adolescents. Ann. Hum. Biol. 2013, 40, 163–167. [Google Scholar] [CrossRef] [PubMed]
- Behboudi-Gandevani, S.; Ramezani Tehrani, F.; Cheraghi, L.; Azizi, F. Could “a body shape index” and “waist to height ratio” predict insulin resistance and metabolic syndrome in polycystic ovary syndrome? Eur. J. Obstet. Gynecol. Reprod. Biol. 2016, 205, 110–114. [Google Scholar] [CrossRef] [PubMed]



| Overall (n = 7053) | Male (n = 3257) | Female (n = 3796) | p Value | |
|---|---|---|---|---|
| eGFR, mg/dL | 61.0 ± 12.6 | 60.9 ± 12.5 | 61.1 ± 12.6 | =0.510 |
| Cre, mg/dL † | 0.9 ± 0.3 | 1.0 ± 0.3 | 0.8 ± 0.3 | <0.001 |
| Age, year † | 69.5 ± 6.3 | 69.5 ± 6.2 | 69.5 ± 6.4 | =0.884 |
| Height, cm | 159.0 ± 8.7 | 166.1 ± 5.8 | 152.9 ± 5.7 | <0.001 |
| Weight, kg † | 61.4 ± 9.9 | 66.0 ± 9.5 | 57.4 ± 8.5 | <0.001 |
| WC, cm † | 85.0 ± 8.9 | 86.7 ± 8.6 | 83.5 ± 8.9 | <0.001 |
| BMI, kg/m2 † | 24.2 ± 3.1 | 23.9 ± 2.9 | 24.5 ± 3.3 | <0.001 |
| ABSI † | 0.0806 ± 0.0042 | 0.0811 ± 0.0038 | 0.0802 ± 0.0045 | <0.001 |
| eGFR Category (mL/min/1.73 m2) | p (Difference) | SS | p (Trend ‡) | |||
|---|---|---|---|---|---|---|
| N eGFR ≥ 60 (95% CI) | MCKD eGFR 45–59.9 (95% CI) | SCKD eGFR < 45 (95% CI) | ||||
| Overall | n = 3800 | n = 2595 | n = 658 | |||
| eGFR, mg/dL † | 69.9 ± 8.1 (69.7, 70.2) | 53.8 ± 4.1 (53.7, 54.0) | 38.0 ± 7.1 (37.5, 38.6) | A > B > C | −80.01 | <0.001 |
| Cre, mg/dL † | 0.74 ± 0.13 (0.73, 0.74) | 0.92 ± 0.14 (0.92, 0.93) | 1.34 ± 0.65 (1.29, 1.39) | A < B < C | 57.86 | <0.001 |
| Age, year † | 68.1 ± 5.9 (67.9, 68.3) | 70.5 ± 6.3 (70.3, 70.8) | 74.0± 5.7 (73.6, 74.4) | A < B < C | 23.22 | <0.001 |
| Height, cm † | 159.0 ± 8.6 (158.7, 159.3) | 159.1 ± 8.7 (158.8, 159.5) | 158.4 ± 9.1 (157.7, 159.1) | NS | −0.27 | =0.786 |
| Weight, kg | 60.7 ± 9.9 (60.4, 61.1) | 62.1 ± 9.9 (61.7, 62.5) | 62.2 ± 10.3 (61.4, 63.0) | A < B, C | 5.89 | <0.001 |
| WC, cm | 83.9 ± 8.8 (83.6, 84.2) | 85.8 ± 8.7 (85.5, 86.1) | 87.7 ± 9.2 (87.0, 88.4) | A < B < C | 11.41 | <0.001 |
| BMI, kg/m2 † | 24.0 ± 3.1 (23.9, 24.1) | 24.5 ± 3.0 (24.4, 24.6) | 24.7 ± 3.3 (24.5, 25.0) | A < B, C | 7.46 | <0.001 |
| BMI Z-Score † | 0.02 ± 0.90 (−0.01, 0.05) | 0.16 ± 0.88 (0.13, 0.20) | 0.24 ± 0.96 (0.16, 0.31) | A < B, C | 7.46 | <0.001 |
| ABSI † | 0.0802 ± 0.0040 (0.0800, 0.0803) | 0.0809 ± 0.0043 (0.0807, 0.0810) | 0.0822 ± 0.0044 (0.0819, 0.0826) | A < B < C | 10.31 | <0.001 |
| ABSI Z-Score | 0.5717 ± 0.8846 (0.5436, 0.5998) | 0.7234 ± 0.9603 (0.6865, 0.7604) | 1.0331 ± 0.9766 (0.9584, 1.1079) | A < B < C | 10.31 | <0.001 |
| Male | n = 1752 | n = 1185 | n = 320 | |||
| eGFR, mg/dL † | 69.9 ± 8.0 (69.5, 70.2) | 53.8 ± 4.1 (53.6, 54.1) | 38.9 ± 12.5 (37.4, 38.9) | A > B > C | −54.58 | <0.001 |
| Cre, mg/dL † | 0.85 ± 1.08 (0.85, 0.85) | 1.06 ± 0.08 (1.06, 1.07) | 1.52 ± 0.61 (1.45, 1.59) | A < B < C | 23.61 | <0.001 |
| Age, year † | 68.1 ± 5.8 (67.8, 68.4) | 70.6 ± 2.9 (70.2, 70.9) | 73.6 ± 5.8 (72.9, 74.2) | A < B < C | 15.47 | <0.001 |
| Height, cm | 166.0 ± 5.9 (165.7, 166.3) | 166.2 ± 5.7 (165.9, 166.5) | 165.9 ± 5.5 (165.3, 166.5) | NS | 0.69 | =0.492 |
| Weight, kg | 65.2 ± 9.6 (64.7, 65.6) | 67.0 ± 9.3 (66.5, 67.6) | 67.1 ± 9.3 (66.1, 68.2) | A < B, C | 5.76 | <0.001 |
| WC, cm | 85.5 ± 8.6 (85.1, 85.9) | 87.7 ± 8.2 (87.2, 88.1) | 89.2 ± 8.6 (88.3, 90.1) | A < B < C | 8.56 | <0.001 |
| BMI, kg/m2 | 23.6 ± 2.9 (23.5, 23.7) | 24.2 ± 2.8 (24.1, 24.4) | 24.4 ± 2.9 (24.0, 24.7) | A < B, C | 6.38 | <0.001 |
| BMI Z-Score | −0.09 ± 0.85 (−0.13, −0.05) | 0.09 ± 0.82 (0.05, 0.14) | 0.13 ± 0.83 (0.04, 0.22) | A < B, C | 6.38 | <0.001 |
| ABSI | 0.0808 ± 0.0038 (0.0806, 0.0810) | 0.0813 ± 0.0038 (0.0811, 0.0815) | 0.0825 ± 0.0037 (0.0821, 0.0829) | A < B < C | 6.48 | <0.001 |
| ABSI Z-Score | 0.7053 ± 0.8386 (0.6660, 0.7446) | 0.8286 ± 0.8376 (0.7808, 0.8763) | 1.0942 ± 0.8261 (1.0033, 1.1850) | A < B < C | 6.48 | <0.001 |
| Female | n = 2048 | n = 1410 | n = 338 | |||
| eGFR, mg/dL † | 70.0 ± 8.2 (69.6, 70.4) | 53.8 ± 4.1 (53.6, 54.0) | 37.9 ± 7.2 (37.1, 38.7) | A > B > C | −58.50 | <0.001 |
| Cre, mg/dL † | 0.64 ± 0.06 (0.64, 0.65) | 0.81 ± 0.06 (0.80, 0.81) | 1.18 ± 0.65 (1.11, 1.25) | A < B < C | 57.81 | <0.001 |
| Age, year † | 68.1 ± 5.8 (67.8, 68.4) | 70.5 ± 6.1 (70.2, 70.9) | 74.4 ± 5.6 (73.8, 75.0) | A < B < C | 17.31 | <0.001 |
| Height, cm | 153.0 ± 5.6 (152.8, 153.2) | 153.2 ± 5.9 (152.9, 153.5) | 151.4 ± 5.6 (150.8, 152.0) | A, B > C | −2.45 | <0.05 |
| Weight, kg | 57.0 ± 8.5 (56.6, 57.3) | 58.0 ± 8.3 (57.5, 58.4) | 57.5 ± 9.0 (56.6, 58.5) | A < B, C | 3.15 | <0.01 |
| WC, cm | 82.5 ± 8.8 (82.1, 82.9) | 84.2 ± 8.7 (83.8, 84.7) | 86.2 ± 9.5 (85.2, 87.2) | A < B < C | 7.71 | <0.001 |
| BMI, kg/m2 † | 24.3 ± 3.2 (24.2, 24.4) | 24.7 ± 3.2 (24.5, 24.8) | 25.1 ± 3.7 (24.7, 25.5) | A < B, C | 4.43 | <0.001 |
| BMI Z-Score † | 0.11 ± 0.93 (0.07, 0.15) | 0.22 ± 0.93 (0.17, 0.27) | 0.34 ± 1.06 (0.23, 0.45) | A < B, C | 4.43 | <0.001 |
| ABSI † | 0.0797 ± 0.0041 (0.0795, 0.0798) | 0.0805 ± 0.0047 (0.0802, 0.0807) | 0.0820 ± 0.0049 (0.0815, 0.0825) | A < B < C | 7.92 | <0.001 |
| ABSI Z-Score | 0.4574 ± 0.9068 (0.4181, 0.4967) | 0.6350 ± 1.0446 (0.5805, 0.6896) | 0.9753 ± 1.0985 (0.8578, 1.0928) | A < B < C | 7.92 | <0.001 |
| Overall | Male | Female | ||||
|---|---|---|---|---|---|---|
| ABSI | BMI | ABSI | BMI | ABSI | BMI | |
| eGFR | −0.146 *** | −0.101 *** | −0.130 *** | −0.132 *** | −0.158 *** | −0.079 *** |
Publisher’s Note: MDPI stays neutral with regard to jurisdictional claims in published maps and institutional affiliations. |
© 2021 by the authors. Licensee MDPI, Basel, Switzerland. This article is an open access article distributed under the terms and conditions of the Creative Commons Attribution (CC BY) license (https://creativecommons.org/licenses/by/4.0/).
Share and Cite
Kim, B.; Kim, G.; Kim, E.; Park, J.; Isobe, T.; Sakae, T.; Oh, S. The A Body Shape Index Might Be a Stronger Predictor of Chronic Kidney Disease Than BMI in a Senior Population. Int. J. Environ. Res. Public Health 2021, 18, 12874. https://doi.org/10.3390/ijerph182412874
Kim B, Kim G, Kim E, Park J, Isobe T, Sakae T, Oh S. The A Body Shape Index Might Be a Stronger Predictor of Chronic Kidney Disease Than BMI in a Senior Population. International Journal of Environmental Research and Public Health. 2021; 18(24):12874. https://doi.org/10.3390/ijerph182412874
Chicago/Turabian StyleKim, Bokun, Gwonmin Kim, Eonho Kim, Jonghwan Park, Tomonori Isobe, Takeji Sakae, and Sechang Oh. 2021. "The A Body Shape Index Might Be a Stronger Predictor of Chronic Kidney Disease Than BMI in a Senior Population" International Journal of Environmental Research and Public Health 18, no. 24: 12874. https://doi.org/10.3390/ijerph182412874
APA StyleKim, B., Kim, G., Kim, E., Park, J., Isobe, T., Sakae, T., & Oh, S. (2021). The A Body Shape Index Might Be a Stronger Predictor of Chronic Kidney Disease Than BMI in a Senior Population. International Journal of Environmental Research and Public Health, 18(24), 12874. https://doi.org/10.3390/ijerph182412874

