Prediction of Decline in Global Cognitive Function Using Machine Learning with Feature Ranking of Gait and Physical Fitness Outcomes in Older Adults
Abstract
:1. Introduction
2. Materials and Methods
2.1. Participants
2.2. Instrumentation
2.3. Test Procedures
2.3.1. Assessment of Global Cognitive Function
2.3.2. Gait Performance Test at Different Speeds
2.3.3. Physical Fitness Tests
- Handgrip strength (upper body strength) using a digital handgrip dynamometer (TKK 5401 Grip-D, Takei Scientific Instruments, Tokyo, Japan);
- Dumbbell curls (upper body strength) using a dumbbell (3 kg for men and 2 kg for women);
- Five sit-to-stand movements (lower body strength);
- Standing time (ST) from a long sitting position (LSP) (lower body strength);
- Back scratch (upper body flexibility);
- Chair sit and reach (lower body flexibility);
- Single-leg balance (dominant leg) (static balance);
- A 3 m timed-up-and-go (TUG) (dynamic balance);
- A 6 min walk test (functional endurance).
2.4. Data Analysis
2.5. Feature Ranking
2.5.1. Simple Linear Regression
2.5.2. XGBoost
2.6. Machine Learning
2.6.1. Support Vector Machine
2.6.2. Decision Tree
2.6.3. Random Forest
2.6.4. Neural Network
2.6.5. LASSO
2.6.6. Elastic Net
2.6.7. SCAD
2.6.8. MCP
3. Results
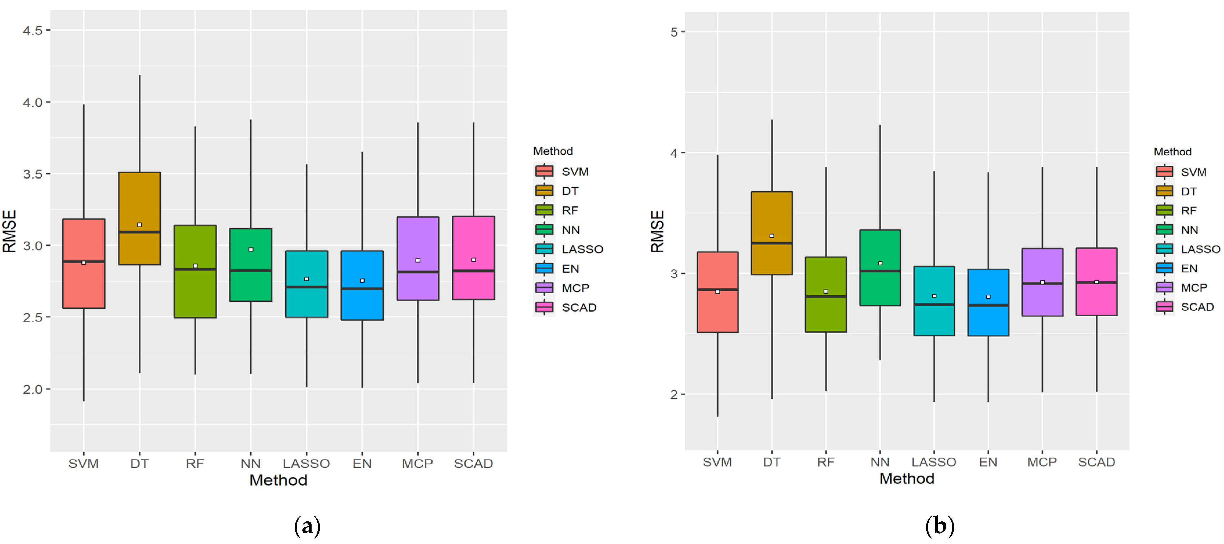
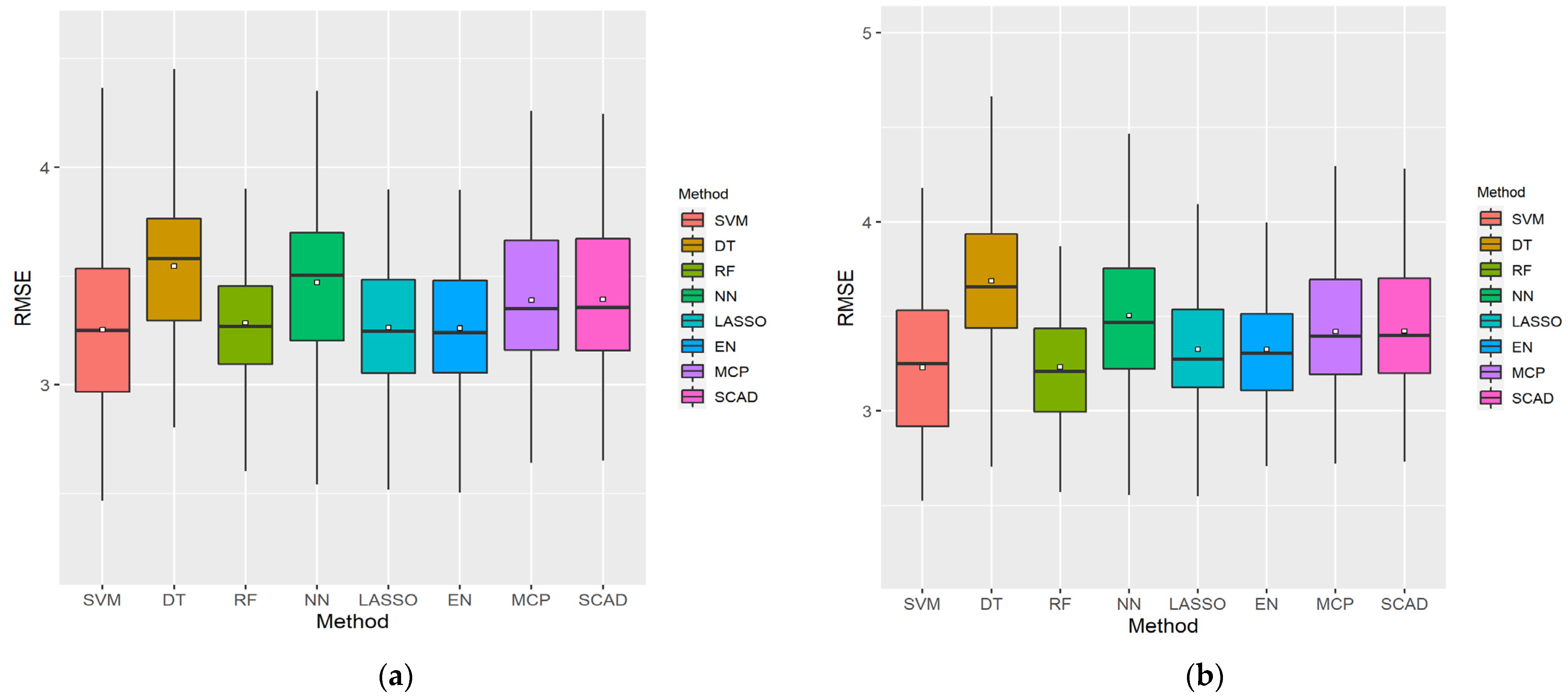
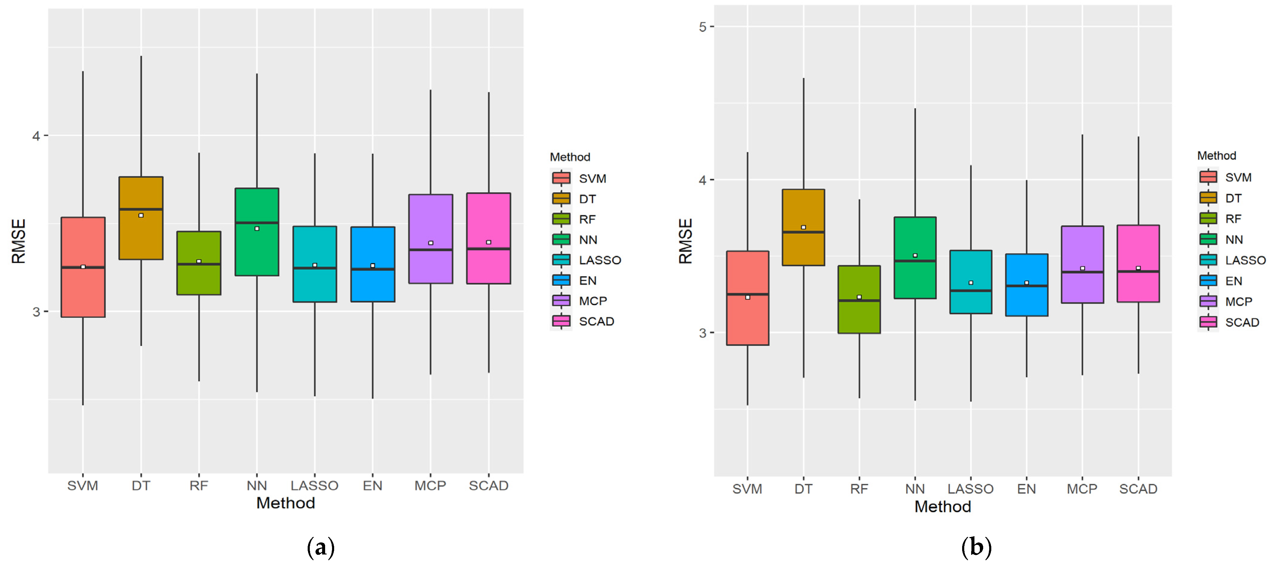
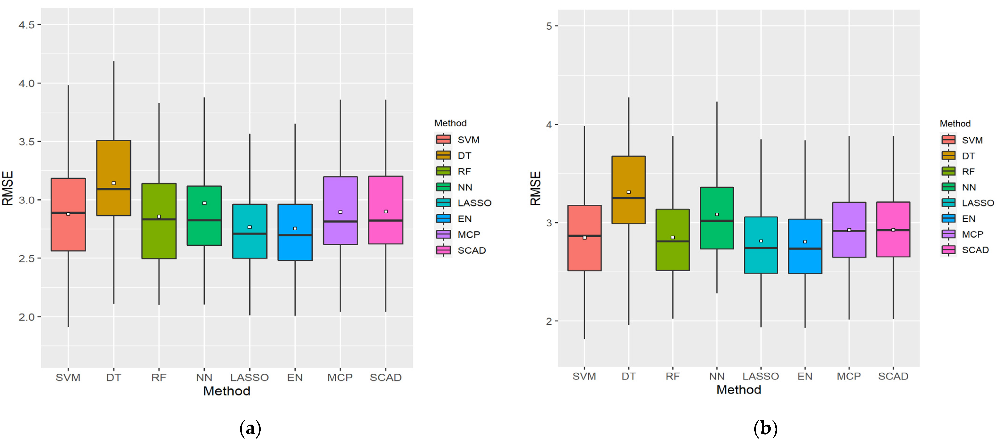
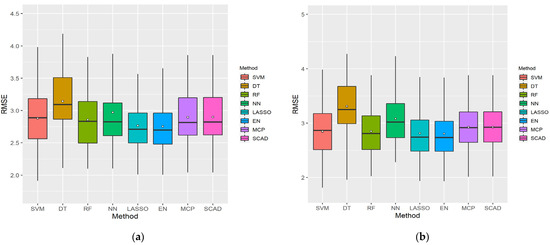
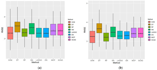
3.1. Machine Learning with Feature Ranking
3.2. Correlation and Network Analyses
4. Discussion
4.1. Machine Learning
4.2. Important Characteristics of Gait and Physical Fitness to Predict Impaired Cognitive Function
5. Conclusions
Supplementary Materials
Author Contributions
Funding
Institutional Review Board Statement
Informed Consent Statement
Data Availability Statement
Acknowledgments
Conflicts of Interest
References
- Alam, U.; Riley, D.R.; Jugdey, R.S.; Azmi, S.; Rajbhandari, S.; D’Août, K.; Malik, R.A. Diabetic neuropathy and gait: A review. Diabetes Ther. 2017, 8, 1253–1264. [Google Scholar] [CrossRef] [PubMed] [Green Version]
- Tucker, M.R.; Olivier, J.; Pagel, A.; Bleuler, H.; Bouri, M.; Lambercy, O.; del R Millán, J.; Riener, R.; Vallery, H.; Gassert, R. Control strategies for active lower extremity prosthetics and orthotics: A review. J. Neuroeng. Rehabil. 2015, 12, 1. [Google Scholar] [CrossRef] [PubMed] [Green Version]
- Noh, B.; Youm, C.; Lee, M.; Park, H. Age-specific differences in gait domains and global cognitive function in older women: Gait characteristics based on gait speed modification. PeerJ 2020, 8, e8820. [Google Scholar] [CrossRef] [PubMed] [Green Version]
- Noh, B.; Youm, C.; Lee, M.; Park, H. Associating gait phase and physical fitness with global cognitive function in the aged. Int. J. Environ. Res. Public Health 2020, 17, 4786. [Google Scholar] [CrossRef] [PubMed]
- Albers, M.W.; Gilmore, G.C.; Kaye, J.; Murphy, C.; Wingfield, A.; Bennett, D.A.; Boxer, A.L.; Buchman, A.S.; Cruickshanks, K.J.; Devanand, D.P.; et al. At the interface of sensory and motor dysfunctions and Alzheimer’s disease. Alzheimers Dement. 2015, 11, 70–98. [Google Scholar] [CrossRef] [Green Version]
- Verghese, J.; Wang, C.; Lipton, R.B.; Holtzer, R.; Xue, X. Quantitative gait dysfunction and risk of cognitive decline and dementia. J. Neurol. Neurosurg. Psychiatry 2007, 78, 929–935. [Google Scholar] [CrossRef] [PubMed]
- Wahid, F.; Begg, R.K.; Hass, C.J.; Halgamuge, S.; Ackland, D.C. Classification of Parkinson’s disease gait using spatial-temporal gait features. IEEE J. Biomed. Health Inform. 2015, 19, 1794–1802. [Google Scholar] [CrossRef]
- Noh, B.; Youm, C.; Goh, E.; Lee, M.; Park, H.; Jeon, H.; Kim, O.Y. XGBoost based machine learning approach to predict the risk of fall in older adults using gait outcomes. Sci. Rep. 2021, 11, 12183. [Google Scholar] [CrossRef] [PubMed]
- Chtioui, Y.; Bertrand, D.; Barba, D. Feature selection by a genetic algorithm. Application to seed discrimination by artificial vision. J. Sci. Food Agric. 1998, 76, 77–86. [Google Scholar] [CrossRef]
- Cai, J.; Luo, J.; Wang, S.; Yang, S. Feature selection in machine learning: A new perspective. Neurocomputing 2018, 300, 70–79. [Google Scholar] [CrossRef]
- Lee, M.; Youm, C.; Jeon, J.; Cheon, S.; Park, H. Validity of shoe-type inertial measurement units for Parkinson’s disease patients during treadmill walking. J. Neuroeng. Rehabil. 2018, 15, 38. [Google Scholar] [CrossRef] [PubMed] [Green Version]
- Kim, Y.K.; Joo, J.Y.; Jeong, S.H.; Jeon, J.H.; Jung, D.Y. Effects of walking speed and age on the directional stride regularity and gait variability in treadmill walking. J. Mech. Sci. Technol. 2016, 30, 2899–2906. [Google Scholar] [CrossRef]
- Oyeyemi, A.L.; Umar, M.; Oguche, F.; Aliyu, S.U.; Oyeyemi, A.Y. Accelerometer-determined physical activity and its comparison with the international physical activity questionnaire in a sample of Nigerian adults. PLoS ONE 2014, 9, e87233. [Google Scholar] [CrossRef]
- Folstein, M.F.; Folstein, S.E.; McHugh, P.R. “Mini-mental state”: A practical method for grading the cognitive state of patients for the clinician. J. Psychiatr. Res. 1975, 12, 189–198. [Google Scholar] [CrossRef]
- Chung, M.J.; Wang, M.J. The change of gait parameters during walking at different percentage of preferred walking speed for healthy adults aged 20–60 years. Gait Posture 2010, 31, 131–135. [Google Scholar] [CrossRef] [PubMed]
- Langhammer, B.; Stanghelle, J.K. The senior fitness test. J. Physiother. 2015, 61, 163. [Google Scholar] [CrossRef] [PubMed]
- Jahan, S.; Khan, A. Power of t-test for simple linear regression model with non-normal error distribution: A quantile function distribution approach. J. Sci. Res. 2012, 4, 609–622. [Google Scholar] [CrossRef] [Green Version]
- Available online: https://3months.tistory.com/262 (accessed on 25 January 2018).
- Chen, T.; Guestrin, C. XGBoost: A Scalable Tree Boosting System. In Proceedings of the 22nd ACM SIGKDD Int Conf on Knowledge Discovery and Data Mining, San Francisco, CA, USA, 13–17 August 2016; pp. 785–794. [Google Scholar]
- Chen, C.; Zhang, Q.; Yu, B.; Yu, Z.; Skillman-Lawrence, P.J.; Ma, Q.; Zhang, Y. Improving protein-protein interactions prediction accuracy using XGBoost feature selection and stacked ensemble classifier. Comput. Biol. Med. 2020, 123, 103899. [Google Scholar] [CrossRef]
- Utkin, L.V. An imprecise extension of SVM-based machine learning models. Neurocomputing 2018, 331, 18–32. [Google Scholar] [CrossRef]
- Somvanshi, M.; Chavan, P.; Tambade, S.; Shinde, S.V. A Review of Machine Learning Techniques Using Decision Tree and Support Vector Machine. In Proceedings of the 2016 International Conference on Computing Communication Control and Automation (ICCUBEA), Pune, India, 12–13 August 2016; pp. 1–7. [Google Scholar]
- Patil, S.; Umakant, K. Accuracy Prediction for Distributed Decision Tree Using Machine Learning Approach. In Proceedings of the 2019 3rd International Conference on Trends in Electronics and Informatics (ICOEI), Tirunelveli, India, 23–25 April 2019; pp. 1365–1371. [Google Scholar]
- Breiman, L. Random forests. Mach. Learn. 2001, 45, 5–32. [Google Scholar] [CrossRef] [Green Version]
- Sun, Y.; Zeng, W.D.; Zhao, Y.Q.; Zhang, X.M.; Shu, Y.; Zhou, Y.G. Modeling constitutive relationship of Ti40 alloy using artificial neural network. Mater. Des. 2011, 32, 1537–1541. [Google Scholar] [CrossRef]
- Hoerl, A.E.; Kennard, R.W. Ridge regression: Applications to nonorthogonal problems. Technometrics 1970, 12, 69–82. [Google Scholar] [CrossRef]
- Muthukrishnan, R.; Rohini, R. LASSO: A Feature Selection Technique in Predictive Modeling for Machine Learning. In Proceedings of the 2016 IEEE International Conference on Advances in Computer Applications (ICACA), Coimbatore, India, 24 October 2016; pp. 18–20. [Google Scholar]
- Zou, H.; Hastie, T. Regularization and variable selection via the elastic net. J. R. Stat. Soc. Ser. B Stat. Methodol. 2005, 67, 301–320. [Google Scholar] [CrossRef] [Green Version]
- Becker, N.; Toedt, G.; Lichter, P.; Benner, A. Elastic SCAD as a novel penalization method for SVM classification tasks in high-dimensional data. BMC Bioinform. 2011, 12, 138. [Google Scholar] [CrossRef] [PubMed] [Green Version]
- Fan, J.; Li, R. Variable selection via nonconcave penalized likelihood and its oracle properties. J. Am. Stat. Assoc. 2001, 96, 1348–1360. [Google Scholar] [CrossRef]
- Zhang, C.H. Nearly unbiased variable selection under minimax concave penalty. Ann. Stat. 2010, 38, 894–942. [Google Scholar] [CrossRef] [Green Version]
- Emirbayer, M.; Goodwin, J. Network Analysis, Culture, and the Problem of Agency. Am. J. Sociol. 1994, 99, 1411–1454. [Google Scholar] [CrossRef]
- Ogunleye, A.; Wang, Q.-G. XGBoost Model for Chronic Kidney Disease Diagnosis. IEEE/ACM Trans. Comput. Biol. Bioinform. 2019, 17, 2131–2140. [Google Scholar] [CrossRef]
- Pal, M.; Foody, G.M. Feature selection for classification of hyperspectral data by SVM. IEEE Trans. Geosci. Remote Sens. 2010, 48, 2297–2307. [Google Scholar] [CrossRef] [Green Version]
- Annweiler, C.; Schott, A.M.; Van Kan, G.A.; Rolland, Y.; Blain, H.; Fantino, B.; Herrmann, F.R.; Beauchet, O. The five-times-sit-to-stand test, a marker of global cognitive functioning among community-dwelling older women. J. Nutr. Health Aging 2011, 15, 271–276. [Google Scholar] [CrossRef]
- Beauchet, O.; Allali, G.; Annweiler, C.; Bridenbaugh, S.; Assal, F.; Kressig, R.W.; Herrmann, F.R. Gait variability among healthy adults: Low and high stride-to-stride variability are both a reflection of gait stability. Gerontology 2009, 55, 702–706. [Google Scholar] [CrossRef] [PubMed] [Green Version]
- Taniguchi, Y.; Watanabe, Y.; Osuka, Y.; Kitamura, A.; Seino, S.; Kim, H.; Kawai, H.; Sakurai, R.; Inagaki, H.; Awata, S.; et al. Characteristics for gait parameters of community-dwelling elderly Japanese with lower cognitive function. PLoS ONE 2019, 14, e0212646. [Google Scholar] [CrossRef] [PubMed]
- Serrao, M.; Chini, G.; Iosa, M.; Casali, C.; Morone, G.; Conte, C.; Bini, F.; Marinozzi, F.; Coppola, G.; Pierelli, F.; et al. Harmony as a convergence attractor that minimizes the energy expenditure and variability in physiological gait and the loss of harmony in cerebellar ataxia. Clin. Biomech. 2017, 48, 15–23. [Google Scholar] [CrossRef] [PubMed]
- Iosa, M.; Fusco, A.; Marchetti, F.; Morone, G.; Caltagirone, C.; Paolucci, S.; Peppe, A. The golden ratio of gait harmony: Repetitive proportions of repetitive gait phases. Biomed. Res. Int. 2013, 2013, 918642. [Google Scholar] [CrossRef] [Green Version]
- Pentikäinen, H.; Savonen, K.; Komulainen, P.; Kiviniemi, V.; Paajanen, T.; Kivipelto, M.; Soininen, H.; Rauramaa, R. Muscle strength and cognition in ageing men and women: The DR’s EXTRA study. Eur. Geriatr. Med. 2017, 8, 275–277. [Google Scholar] [CrossRef]
- Van Dam, R.; Van Ancum, J.M.; Verlaan, S.; Scheerman, K.; Meskers, C.G.; Maier, A.B. Lower cognitive function in older patients with lower muscle strength and muscle mass. Dement. Geriatr. Cogn. Disord. 2018, 45, 243–250. [Google Scholar] [CrossRef] [PubMed]
- Callisaya, M.L.; Beare, R.; Phan, T.G.; Blizzard, L.; Thrift, A.G.; Chen, J.; Srikanth, V.K. Brain structural change and gait decline: A longitudinal population-based study. J. Am. Geriatr. Soc. 2013, 61, 1074–1079. [Google Scholar] [CrossRef] [PubMed]
- Bullain, S.S.; Corrada, M.M.; Perry, S.M.; Kawas, C.H. Sound Body Sound Mind? Physical Performance and the Risk of Dementia in the Oldest-Old: The 90+ Study. J. Am. Geriatr. Soc. 2016, 64, 1408–1415. [Google Scholar] [CrossRef] [Green Version]
- Goto, S.; Sasaki, A.; Takahashi, I.; Mitsuhashi, Y.; Nakaji, S.; Matsubara, A. Relationship between cognitive function and balance in a community-dwelling population in Japan. Acta Otolaryngol. 2018, 138, 471–474. [Google Scholar] [CrossRef] [PubMed]
- Makizako, H.; Shimada, H.; Doi, T.; Park, H.; Yoshida, D.; Suzuki, T. Six-minute walking distance correlated with memory and brain volume in older adults with mild cognitive impairment: A voxel-based morphometry study. Dement. Geriatr. Cogn. Dis. Extra 2013, 3, 223–232. [Google Scholar] [CrossRef] [PubMed]
- Scherder, E.; Eggermont, L.; Swaab, D.; van Heuvelen, M.; Kamsma, Y.; de Greef, M.; van Wijck, R.; Mulder, T. Gait in ageing and associated dementias; its relationship with cognition. Neurosci. Biobehav. Rev. 2007, 31, 485–497. [Google Scholar] [CrossRef] [PubMed]
- Kido, T.; Tabara, Y.; Igase, M.; Ochi, N.; Uetani, E.; Nagai, T.; Yamamoto, M.; Taguchi, K.; Miki, T.; Kohara, K. Postural instability is associated with brain atrophy and cognitive impairment in the elderly: The J-SHIPP study. Dement. Geriatr. Cogn. Disord. 2010, 29, 379–387. [Google Scholar] [CrossRef] [PubMed]
- Makizako, H.; Shimada, H.; Doi, T.; Park, H.; Yoshida, D.; Uemura, K.; Tsutsumimoto, K.; Liu-Ambrose, T.; Suzuki, T. Poor balance and lower gray matter volume predict falls in older adults with mild cognitive impairment. BMC Neurol. 2013, 13, 102. [Google Scholar] [CrossRef] [PubMed] [Green Version]
- Trzepacz, P.T.; Hochstetler, H.; Wang, S.; Walker, B.; Saykin, A.J. Relationship between the Montreal Cognitive Assessment and Mini-mental State Examination for assessment of mild cognitive impairment in older adults. BMC Geriatr. 2015, 15, 107. [Google Scholar] [CrossRef] [PubMed] [Green Version]








| FR | ML | Min | Median | Mean | Max | Variable Size |
|---|---|---|---|---|---|---|
| LP | SVM | 1.912 | 2.887 | 2.879 | 3.980 | 19 |
| DT | 2.109 | 3.092 | 3.144 | 4.187 | 2 | |
| RF | 2.099 | 2.833 | 2.857 | 3.827 | 5 | |
| NN | 2.104 | 2.823 | 2.972 | 8.570 | 2 | |
| LASSO | 2.011 | 2.709 | 2.767 | 3.687 | 5 | |
| EN | 2.006 | 2.697 | 2.756 | 3.654 | 5 | |
| MCP | 2.040 | 2.814 | 2.896 | 3.857 | 5 | |
| SCAD | 2.039 | 2.822 | 2.899 | 3.857 | 5 | |
| XI | SVM | 1.815 | 2.864 | 2.847 | 3.982 | 17 |
| DT | 1.960 | 3.247 | 3.310 | 4.272 | 3 | |
| RF | 2.026 | 2.809 | 2.851 | 3.879 | 11 | |
| NN | 2.281 | 3.020 | 3.084 | 4.891 | 6 | |
| LASSO | 1.936 | 2.742 | 2.815 | 3.847 | 10 | |
| EN | 1.931 | 2.735 | 2.806 | 3.838 | 10 | |
| MCP | 2.015 | 2.918 | 2.926 | 3.880 | 7 | |
| SCAD | 2.019 | 2.924 | 2.927 | 3.880 | 7 |
| FR | ML | Min | Median | Mean | Max | Variable Size |
|---|---|---|---|---|---|---|
| LP | SVM | 2.466 | 3.249 | 3.253 | 4.365 | 19 |
| DT | 2.803 | 3.579 | 3.545 | 4.451 | 4 | |
| RF | 2.473 | 3.267 | 3.285 | 4.173 | 21 | |
| NN | 2.541 | 3.502 | 3.470 | 4.351 | 3 | |
| LASSO | 2.518 | 3.245 | 3.263 | 4.157 | 5 | |
| EN | 2.504 | 3.239 | 3.260 | 4.156 | 5 | |
| MCP | 2.641 | 3.350 | 3.389 | 4.259 | 5 | |
| SCAD | 2.652 | 3.355 | 3.393 | 4.246 | 5 | |
| XI | SVM | 2.525 | 3.250 | 3.230 | 4.178 | 20 |
| DT | 2.705 | 3.656 | 3.687 | 4.664 | 11 | |
| RF | 2.569 | 3.208 | 3.233 | 4.239 | 18 | |
| NN | 2.553 | 3.467 | 3.504 | 5.917 | 2 | |
| LASSO | 2.549 | 3.273 | 3.325 | 4.179 | 18 | |
| EN | 2.706 | 3.304 | 3.325 | 4.173 | 18 | |
| MCP | 2.720 | 3.394 | 3.419 | 4.295 | 6 | |
| SCAD | 2.730 | 3.399 | 3.422 | 4.281 | 6 |
| Beta | Lwr | Upr | SE | t Value | p | |
|---|---|---|---|---|---|---|
| Handgrip_right | 0.097 | −0.10 | 0.29 | 0.098 | 0.986 | 0.326 |
| Walking_distance_6 m | 0.003 | −0.001 | 0.01 | 0.002 | 1.232 | 0.221 |
| Handgrip_left | 0.048 | −0.14 | 0.23 | 0.092 | 0.526 | 0.599 |
| Education | 0.513 | 0.04 | 0.99 | 0.239 | 2.143 | 0.034 * |
| Back_scratch_left | 0.041 | 0.01 | 0.07 | 0.016 | 2.436 | 0.017 * |
| Beta | Lwr | Upr | SE | t Value | p | |
|---|---|---|---|---|---|---|
| F_CV_Stride_length | 0.250 | −0.17 | 0.67 | 0.214 | 1.168 | 0.245 |
| Stand_up_from_bottom | −0.310 | −0.54 | −0.08 | 0.114 | −2.708 | 0.007 * |
| S_Stride_length | 0.821 | −6.25 | 7.89 | 3.583 | 0.229 | 0.819 |
| Back_scratch_right | 0.032 | 0.02 | 0.09 | 0.027 | 1.157 | 0.249 |
| P_Stride_length | 6.140 | −1.57 | 13.85 | 3.907 | 1.571 | 0.118 |
| P_Stance_phase | 0.198 | −0.19 | 0.58 | 0.195 | 1.020 | 0.309 |
| Dumbbellcurls_right | −0.076 | −0.17 | 0.02 | 0.048 | −1.577 | 0.117 |
| S_Single_support_phase | −0.300 | −0.67 | 0.07 | 0.186 | −1.612 | 0.109 |
| Waist_circumstance | 0.039 | −0.02 | 0.10 | 0.030 | 1.262 | 0.208 |
| Sit_and_reach_right | 0.014 | −0.05 | 0.08 | 0.030 | 0.479 | 0.633 |
| Back_scratch_left | 0.021 | −0.03 | 0.07 | 0.026 | 0.787 | 0.432 |
| Handgrip_right | 0.065 | −0.06 | 0.19 | 0.061 | 1.064 | 0.289 |
| S_Cadence | −0.008 | −0.06 | 0.04 | 0.026 | −0.333 | 0.739 |
| S_CV_Step_length | −0.200 | −0.65 | 0.25 | 0.227 | −0.882 | 0.379 |
| S_CV_Double_support_phase | −0.011 | −0.09 | 0.07 | 0.041 | −0.263 | 0.793 |
| Height | −0.052 | −0.15 | 0.05 | 0.050 | −1.037 | 0.301 |
| Single_leg_stance | 0.052 | 0.01 | 0.09 | 0.020 | 2.586 | 0.011 * |
| Education | 1.040 | 0.05 | 1.58 | 0.275 | 3.787 | 0.001 * |
| F_Stride_length | −2.001 | −7.34 | 3.34 | 2.705 | −0.741 | 0.459 |
| P_CV_Double_support_phase | 0.049 | −0.01 | 0.11 | 0.032 | 1.576 | 0.116 |
Publisher’s Note: MDPI stays neutral with regard to jurisdictional claims in published maps and institutional affiliations. |
© 2021 by the authors. Licensee MDPI, Basel, Switzerland. This article is an open access article distributed under the terms and conditions of the Creative Commons Attribution (CC BY) license (https://creativecommons.org/licenses/by/4.0/).
Share and Cite
Noh, B.; Yoon, H.; Youm, C.; Kim, S.; Lee, M.; Park, H.; Kim, B.; Choi, H.; Noh, Y. Prediction of Decline in Global Cognitive Function Using Machine Learning with Feature Ranking of Gait and Physical Fitness Outcomes in Older Adults. Int. J. Environ. Res. Public Health 2021, 18, 11347. https://doi.org/10.3390/ijerph182111347
Noh B, Yoon H, Youm C, Kim S, Lee M, Park H, Kim B, Choi H, Noh Y. Prediction of Decline in Global Cognitive Function Using Machine Learning with Feature Ranking of Gait and Physical Fitness Outcomes in Older Adults. International Journal of Environmental Research and Public Health. 2021; 18(21):11347. https://doi.org/10.3390/ijerph182111347
Chicago/Turabian StyleNoh, Byungjoo, Hyemin Yoon, Changhong Youm, Sangjin Kim, Myeounggon Lee, Hwayoung Park, Bohyun Kim, Hyejin Choi, and Yoonjae Noh. 2021. "Prediction of Decline in Global Cognitive Function Using Machine Learning with Feature Ranking of Gait and Physical Fitness Outcomes in Older Adults" International Journal of Environmental Research and Public Health 18, no. 21: 11347. https://doi.org/10.3390/ijerph182111347
APA StyleNoh, B., Yoon, H., Youm, C., Kim, S., Lee, M., Park, H., Kim, B., Choi, H., & Noh, Y. (2021). Prediction of Decline in Global Cognitive Function Using Machine Learning with Feature Ranking of Gait and Physical Fitness Outcomes in Older Adults. International Journal of Environmental Research and Public Health, 18(21), 11347. https://doi.org/10.3390/ijerph182111347

