Prostate Cancer Survival by Risk and Other Prognostic Factors in Mallorca, Spain
Abstract
:1. Introduction
2. Materials and Method
2.1. Patient Involvement
2.2. Variables
2.3. Statistical Analysis
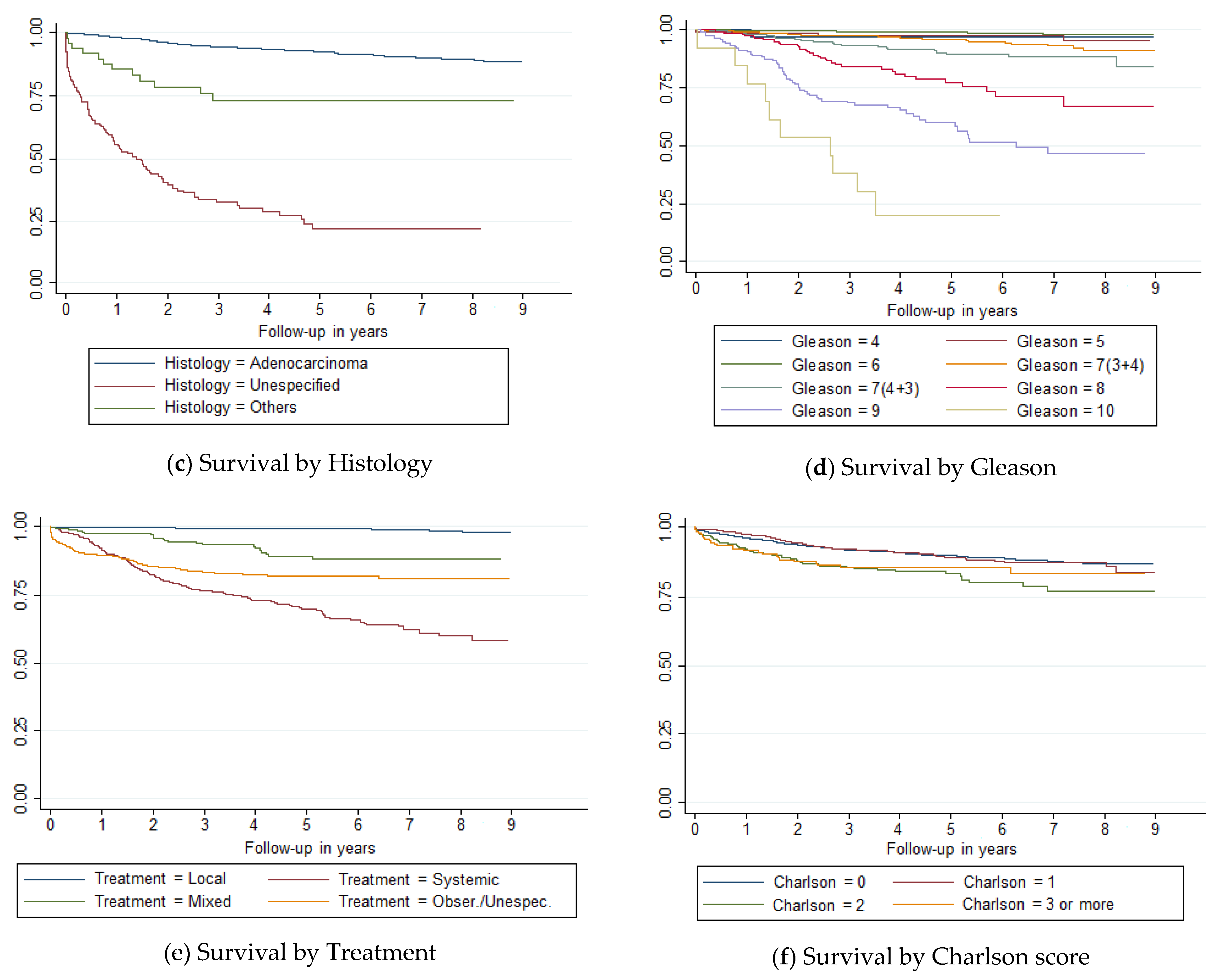
3. Results
4. Discussion
5. Conclusions
Author Contributions
Funding
Institutional Review Board Statement
Informed Consent Statement
Data Availability Statement
Acknowledgments
Conflicts of Interest
References
- Cancer Today. Global Cancer Observatory. International Agency for Research on Cancer. Available online: http://gco.iarc.fr/today/home (accessed on 10 October 2019).
- Estimaciones de la incidencia del cáncer en España, 2020. Red Española de Registros de Cáncer (REDECAN). 2020. Available online: https://redecan.org/redecan.org/es/estimaciones-incidencia2020.html?id=196&title=estimaciones-de-la-incidencia-del-c%C3%A1ncer-en-Espa%C3%B1a-2020 (accessed on 3 January 2021).
- Trama, A.; Foschi, R.; Larrañaga, N.; Sant, M.; Fuentes-Raspall, R.; Serraino, D.; Tavilla, A.; Van Eycken, L.; Nicolai, N.; Hackl, M.; et al. Survival of male genital cancers (prostate, testis and penis) in Europe 1999–2007: Results from the EUROCARE-5 study. Eur J. Cancer 2015, 51, 2206–2216. [Google Scholar] [CrossRef] [PubMed]
- Marcos-Gragera, R.; Salmerón, D.; Izarzugaza, I.; Ardanaz, E.; Serdà, B.C.; Larrañaga, N.; Navarro, C.; Chirlaque, M.D. Trends in prostate cancer-survival in Spain: Results from population-based cancer registries. Clin. Transl Oncol. 2012, 14, 458–464. [Google Scholar] [CrossRef] [PubMed]
- Allemani, C.; Weir, H.K.; Carreira, H.; Harewood, R.; Spika, D.; Wang, X.-S.; Bannon, F.; Ahn, J.V.; Johnson, C.J.; Bonaventure, A.; et al. Global surveillance of cancer survival 1995–2009: Analysis of individual data for 25,676 887 patients from 279 population-based registries in 67 countries (CONCORD-2). Lancet 2015, 385, 977–1010. [Google Scholar] [CrossRef] [Green Version]
- Sobin, L.H.; Gospodarowicz, M.K.; Wittekind, C. TNM Classification of Malignant Tumours, 7th ed.; Wiley-Blackwell: Oxford, UK, 2011. [Google Scholar]
- Rodrigues, G.; Warde, P.; Pickles, T.; Crook, J.; Brundage, M.; Souhami, L.; Lukka, H. Pre-treatment risk stratification of prostate cancer patients: A critical review. Can. Urol Assoc. J. 2012, 6, 121–127. [Google Scholar] [CrossRef] [PubMed] [Green Version]
- Mottet, N.; Cornford, P.; van den Bergh, R.C.N.; Briers, E.; De Santis, M.; Fanti, S.; Gillessen, S.; Grummet, J.; Henry, A.M.; Lam, T.B.; et al. Prostate Cancer. European Association of Urology. Available online: https://uroweb.org/guideline/prostate-cancer/#6_6 (accessed on 8 March 2021).
- Patel, K.M.; Gnanapragasam, V.J. Novel concepts for risk stratification in prostate cancer. J. Clin. Urol. 2017, 9, 18–23. [Google Scholar] [CrossRef] [Green Version]
- Klein, E.A. Prostate Cancer: Risk Stratification and Choice of Initial Treatment. UpToDate. 2018. Available online: https://www.uptodate.com/contents/prostate-cancer-risk-stratification-and-choice-of-initial-treatment (accessed on 15 October 2019).
- Houterman, S.; Janssenheijnen, M.; Hendrikx, A.; Berg, H.; Coebergh, J. Impact of comorbidity on treatment and prognosis of prostate cancer patients: A population-based study. Crit. Rev. Oncol. Hematol. 2006, 58, 60–67. [Google Scholar] [CrossRef]
- Matthes, K.L.; Limam, M.; Dehler, S.; Korol, D.; Rohrmann, S. Primary treatment choice over time and relative survival of prostate cancer patients: Influence of age, grade and stage. Oncol. Res. Treat. 2017, 40, 484–489. [Google Scholar] [CrossRef] [PubMed] [Green Version]
- Frita, A.P.C.; Jack, A.; Shanmugaratnam, K.; Sobin, L.; Parkin, D.M.; Whelan, S. International Classification of Diseases for Oncology (ICD-O), 1st rev., 3rd ed.; World Health Organization: Geneva, Switzerland, 2013; Available online: https://apps.who.int/iris/bitstream/handle/10665/96612/9789241548496%20eng.pdf;jsessionid=7B2E052FBC84832B13B32AC8B483E069?sequence=1 (accessed on 15 October 2019).
- Statistics. Populations. Deaths. Institut Balear d’Estadística. Available online: https://ibestat.caib.es/ibestat/estadistiques/poblacio/defuncions/c15a61f7-b12e-42d7-abed-bb6f03343656 (accessed on 15 October 2019).
- White, I.R.; Royston, P.; Wood, A.M. Multiple imputation using chained equations: Issues and guidance for practice. Stat. Med. 2011, 30, 377–399. [Google Scholar] [CrossRef]
- Ramos, M.; Montaño, J.; Esteva, M.; Barceló, A.; Franch, P. Colorectal cancer survival by stage of cases diagnosed in Mallorca, Spain, between 2006 and 2011 and factors associated with survival. Cancer Epidemiol. 2016, 41, 63–70. [Google Scholar] [CrossRef] [PubMed]
- Rubin, D.B. Multiple Imputation for Nonresponse in Surveys; John Wiley & Sons: New York, NY, USA, 1987. [Google Scholar]
- Pearson, K. On the Theory of Contingency and Its Relation to Association and Normal Correlation; Drapers Company Memoirs Biometric Series 1; Dulau and CO.: London, UK, 1904. [Google Scholar]
- Cramer, H. Mathematical Models of Statistics; Princeton University Press: Princeton, NJ, USA, 1946. [Google Scholar]
- Ederer, F.; Axtell, I.M.; Cutler, S.J. The relative survival: A statistical methodology. Natl. Cancer Inst. Monog. 1961, 6, 101–121. [Google Scholar]
- Fine, J.P.; Gray, R.J. A proportional hazards model for the subdistribution of a competing risk. J. Am. Stat. Ass. 1999, 94, 496–509. [Google Scholar] [CrossRef]
- Cox, D.R. Regression models and life-tables. J. R. Stat. Soc. Series. B 1972, 34, 187–202. [Google Scholar] [CrossRef]
- Allemani, C.; Matsuda, T.; Di Carlo, V.; Harewood, R.; Matz, M.; Nikšić, M.; Bonaventure, A.; Valkov, M.; Johnson, C.J.; Estève, J.; et al. Global surveillance of trends in cancer survival 2000–14 (CONCORD-3): Analysis of individual records for 37 513 025 patients diagnosed with one of 18 cancers from 322 population-based registries in 71 countries. Lancet 2018, 391, 1023–1075. [Google Scholar] [CrossRef] [Green Version]
- Forjaz de Lacerda, G.; Howlader, N.; Mariotto, A.B. Differences in cancer survival with relative versus cause-specific approaches: An update using major accurate life tables. Cancer Epidemiol. Biomakers Prev. 2019, 28, 1544–1551. [Google Scholar] [CrossRef]
- Makkar, N.; Ostrom, Q.; Kruchko, C.; Barnholtz-Sloan, J. A comparison of relative survival and cause-specific survival methods to measure net survival in cancer populations. Cancer Med. 2018, 7, 4773–4780. [Google Scholar] [CrossRef] [PubMed]
- Skyrud, K.D.; Bray, F.; Møller, B. A comparison of relative and cause-specific survival by cancer site, age and time since diagnosis. Int. J. Cancer 2014, 135, 196–203. [Google Scholar] [CrossRef] [PubMed]
- Parry, M.G.; Sujenthiran, A.; Cowling, T.E.; Charman, S.; Nossiter, J.; Aggarwal, A.; Clarke, N.W.; Payne, H.; van der Meulen, J. Imputation of missing prostate cancer stage in English cancer registry data based on clinical assumptions. Cancer Epidemiol. 2019, 58, 44–51. [Google Scholar] [CrossRef]
- Hoskin, T.L.; Boughey, J.C.; Day, C.N.; Habermann, E.B. Lessons learned regarding missing clinicalstage in the national cancer database. Ann. Surg. Oncol. 2019, 26, 739–745. [Google Scholar] [CrossRef] [PubMed]
- Ramos, M.; Montaño, J.; Rubio, A.; Franch, P. Lung cancer survival by stage of cases diagnosed in Mallorca, Spain, between 2006 and 2011 and factors associated with survival. Pulm. Med. Respir. Res. 2017, 3, 1–6. [Google Scholar] [CrossRef]
- Eisemann, N.; Waldmann, A.; Katalinic, A. Imputation of missing values of tumour stage in population-based cancer registration. BMC Med. Res. Methodol. 2011, 11, 129. [Google Scholar] [CrossRef] [Green Version]
- Clark, T.G.; Altman, D.G. Developing a prognostic model in the presence of missing data: An ovarian cancer case study. J. Clin. Epidemiol. 2003, 56, 28–37. [Google Scholar] [CrossRef]
- Chang, A.J.; Autio, K.A.; Roach, M.; Scher, H.I. “High-Risk” Prostate Cancer: Classification and Therapy. Nat. Rev. Clin. Oncol. 2014, 11, 308–323. [Google Scholar] [CrossRef] [Green Version]
- Alvarez-Maestro, M.; Carrión, D.M.; Martínez-Piñeiro, L. High-risk prostate cancer. Optimal treatment. New evidences. Arch. Esp. Urol. 2019, 72, 203–210. [Google Scholar] [PubMed]
- Matthes, K.L.; Limam, M.; Pestoni, G.; Held, L.; Korol, D.; Rohrmann, S. Impact of comorbidities at diagnosis on prostate cancer treatment and survival. J. Cancer Res. Clin. Oncol. 2018, 144, 707–715. [Google Scholar] [CrossRef] [PubMed]
- Albertsen, P.C.; Moore, D.F.; Shih, W.; Lin, Y.; Li, H.; Yao, G.L. Impact of comorbidity on survival among men with localized prostate cancer. J. Clin. Oncol. 2011, 29, 1335–1341. [Google Scholar] [CrossRef] [PubMed] [Green Version]
- Heins, M.J.; De Jong, J.D.; Spronk, I.; Ho, V.K.; Brink, M.; Korevaar, J.C. Adherence to cancer treatment guidelines: Influence of general and cancer-specific guideline characteristics. Eur. J. Public Health 2016, 27, 616–620. [Google Scholar] [CrossRef]
- Barceló, A.; Ramos, M.; de la Iglesia, M.; Zaforteza, M. Tratamiento del cáncer de próstata en función de la esperanza de vida, la comorbilidad y las guías de práctica clínica. Sist. Sanit. Navar. 2014, 37, 309–460. [Google Scholar] [CrossRef]


| Variable | Categories | Number | % | % Valid | After MI |
|---|---|---|---|---|---|
| Age | 15–54 | 163 | 5.6 | 5.6 | |
| 55–64 | 817 | 28.0 | 28.0 | ||
| 65–74 | 1221 | 41.8 | 41.8 | ||
| 75–84 | 598 | 20.5 | 20.5 | ||
| 85 or + | 122 | 4.2 | 4.2 | ||
| Histology | Adenocarcinoma | 2710 | 92.8 | 92.8 | |
| Unspecified | 161 | 5.5 | 5.5 | ||
| Other | 50 | 1.7 | 1.7 | ||
| T_PT | 1 | 599 | 20.5 | 34.5 | |
| 2 | 756 | 25.9 | 43.5 | ||
| 3 | 355 | 12.2 | 20.4 | ||
| 4 | 27 | 0.9 | 1.6 | ||
| Missing | 1184 | 40.5 | |||
| N_PN | 0 | 1214 | 41.6 | 95.2 | |
| 1 | 61 | 2.1 | 4.8 | ||
| Missing | 1646 | 56.4 | |||
| M | 0 | 1908 | 65.3 | 90.9 | |
| 1 | 190 | 6.5 | 9.1 | ||
| Missing | 823 | 28.2 | |||
| Stage | I | 454 | 15.5 | 33.7 | |
| II | 438 | 15.0 | 32.5 | ||
| III | 216 | 7.4 | 16.0 | ||
| IV | 240 | 8.2 | 17.8 | ||
| Missing | 1573 | 53.9 | |||
| PSA | ≤10 | 1025 | 35.1 | 59.4 | |
| 11–20 | 306 | 10.5 | 17.7 | ||
| >20 | 395 | 13.5 | 22.9 | ||
| Missing | 1195 | 40.9 | |||
| Gleason | 4 | 34 | 1.2 | 1.5 | |
| 5 | 134 | 4.6 | 5.8 | ||
| 6 | 937 | 32.1 | 40.5 | ||
| 7 (3 + 4) | 615 | 21.1 | 26.6 | ||
| 7 (4 + 3) | 273 | 9.3 | 11.8 | ||
| 8 | 166 | 5.7 | 7.2 | ||
| 9 | 143 | 4.9 | 6.2 | ||
| 10 | 13 | 0.4 | 0.6 | ||
| Missing | 606 | 20.7 | |||
| Risk | Low | 189 | 6.5 | 8.6 | 9.5 |
| Medium | 512 | 17.5 | 23.2 | 24.9 | |
| High | 971 | 33.2 | 44.0 | 42.7 | |
| Very high | 533 | 18.2 | 24.2 | 22.9 | |
| Missing | 716 | 24.5 | |||
| Charlson index | 0 | 1745 | 59.7 | 59.7 | |
| 1 | 694 | 23.8 | 23.8 | ||
| 2 | 295 | 10.1 | 10.1 | ||
| ≥3 | 187 | 6.4 | 6.4 | ||
| Treatment | Local | 1478 | 50.6 | 50.6 | |
| Systemic | 642 | 22.0 | 22.0 | ||
| Mixed | 231 | 7.9 | 7.9 | ||
| Observation/unspecified | 570 | 19.5 | 19.5 | ||
| Vital status | Alive | 2244 | 76.8 | 76.8 | |
| Death from prostate cancer | 324 | 11.1 | 11.1 | ||
| Death from other causes | 349 | 12.0 | 12.0 | ||
| Missing | 4 | 0.1 |
| Statistical Indexes | Risk | Charlson Index | Age | Life Expectancy | Histology |
|---|---|---|---|---|---|
| Cramer’s V index (p < 0.001) | 0.144 | 0.090 | 0.321 | 0.510 | 0.206 |
| Pearson’s Chi-Square (p < 0.001) | 137.75 | 71.63 | 902.44 | 759.99 | 248.48 |
| Original Set n = 2202 | Imputed Set n = 2917 | |||||||||
|---|---|---|---|---|---|---|---|---|---|---|
| Year | Low Risk | Medium Risk | High Risk | Very High Risk | Total | Low Risk | Medium Risk | High Risk | Very High Risk | Total |
| 1 | 1.00 | 0.99 | 0.99 | 0.86 | 0.96 | 1.00 | 0.99 | 0.98 | 0.86 | 0.96 |
| 2 | 1.00 | 0.98 | 0.97 | 0.77 | 0.93 | 1.00 | 0.98 | 0.96 | 0.79 | 0.93 |
| 3 | 1.00 | 0.97 | 0.94 | 0.72 | 0.91 | 1.00 | 0.97 | 0.94 | 0.74 | 0.91 |
| 4 | 1.00 | 0.97 | 0.93 | 0.70 | 0.90 | 1.00 | 0.97 | 0.93 | 0.72 | 0.90 |
| 5 | 1.00 | 0.95 | 0.92 | 0.67 | 0.89 | 1.00 | 0.96 | 0.93 | 0.69 | 0.89 |
| 6 | 1.00 | 0.95 | 0.90 | 0.65 | 0.88 | 1.00 | 0.96 | 0.91 | 0.67 | 0.88 |
| 7 | 1.00 | 0.94 | 0.88 | 0.65 | 0.87 | 1.00 | 0.95 | 0.89 | 0.67 | 0.87 |
| 8 | 1.00 | 0.92 | 0.87 | 0.65 | 0.86 | 1.00 | 0.93 | 0.88 | 0.67 | 0.86 |
| 9 | 1.00 | 0.87 | 0.87 | 0.62 | 0.84 | 1.00 | 0.91 | 0.88 | 0.64 | 0.84 |
| Risk | Original Set n = 2202 | Imputed Set n = 2917 |
|---|---|---|
| Total | 0.91 | 0.91 |
| Low risk | 1.00 | 1.00 |
| Medium risk | 0.99 | 0.98 |
| High risk | 0.94 | 0.94 |
| Very high risk | 0.68 | 0.70 |
| Model 1 (Original Data Set) n = 2013 | Model 2 (Imputed Data Set) n = 2728 | |||
|---|---|---|---|---|
| Variables | Subhazard Ratio | CI 95% | Subhazard Ratio | CI 95% |
| Charlson index (ref. 0) | ||||
| Charlson = 1 | 0.80 | 0.59, 1.08 | 0.84 | 0.62, 1.13 |
| Charlson = 2 | 1.83 | 1.26, 2.66 | 1.58 | 1.11, 2.26 |
| Charlson >= 3 | 1.40 | 0.91, 2.13 | 0.94 | 0.57, 1.56 |
| Risk (ref. medium) | ||||
| High risk | 2.68 | 1.67, 4.31 | 2.90 | 1.78, 4.71 |
| Very high risk | 17.53 | 11.08, 27.72 | 16.72 | 10.31, 27.09 |
| Histology (ref. adenoc.) | ||||
| Unspecified | 3.40 | 2.50, 4.61 | 4.78 | 3.55, 6.42 |
| Others | 4.01 | 2.11, 7.59 | 2.42 | 1.12, 5.20 |
| Treatment (ref. local) | ||||
| Systemic | 37.49 | 20.54, 68.42 | 29.83 | 16.83, 52.88 |
| Mixed | 10.60 | 5.16, 21.75 | 10.51 | 5.40, 20.46 |
| Observation/unspecified | 53.18 | 28.23, 100.19 | 35.17 | 19.36, 63.87 |
Publisher’s Note: MDPI stays neutral with regard to jurisdictional claims in published maps and institutional affiliations. |
© 2021 by the authors. Licensee MDPI, Basel, Switzerland. This article is an open access article distributed under the terms and conditions of the Creative Commons Attribution (CC BY) license (https://creativecommons.org/licenses/by/4.0/).
Share and Cite
Montaño, J.J.; Barceló, A.; Franch, P.; Galceran, J.; Ameijide, A.; Pons, J.; Ramos, M. Prostate Cancer Survival by Risk and Other Prognostic Factors in Mallorca, Spain. Int. J. Environ. Res. Public Health 2021, 18, 11156. https://doi.org/10.3390/ijerph182111156
Montaño JJ, Barceló A, Franch P, Galceran J, Ameijide A, Pons J, Ramos M. Prostate Cancer Survival by Risk and Other Prognostic Factors in Mallorca, Spain. International Journal of Environmental Research and Public Health. 2021; 18(21):11156. https://doi.org/10.3390/ijerph182111156
Chicago/Turabian StyleMontaño, Juan José, Antoni Barceló, Paula Franch, Jaume Galceran, Alberto Ameijide, Jaime Pons, and Maria Ramos. 2021. "Prostate Cancer Survival by Risk and Other Prognostic Factors in Mallorca, Spain" International Journal of Environmental Research and Public Health 18, no. 21: 11156. https://doi.org/10.3390/ijerph182111156
APA StyleMontaño, J. J., Barceló, A., Franch, P., Galceran, J., Ameijide, A., Pons, J., & Ramos, M. (2021). Prostate Cancer Survival by Risk and Other Prognostic Factors in Mallorca, Spain. International Journal of Environmental Research and Public Health, 18(21), 11156. https://doi.org/10.3390/ijerph182111156

