Effects of Beetroot Juice Supplementation on Cognitive Function, Aerobic and Anaerobic Performances of Trained Male Taekwondo Athletes: A Pilot Study
Abstract
:1. Introduction
2. Materials and Methods
2.1. Participants
2.2. Experimental Design
2.3. Supplementation Protocol and Standardization of Physical Activity and Diet
2.4. Frequency Speed of Kick Test Multiple
2.5. Progressive Specific Taekwondo Test
2.6. Counter Movement Jump
2.7. Lactate Measurement and Rating of Perceived Exertion Recording
2.8. Cognitive Function Assessment
2.9. Gastrointestinal Symptoms Assessment
2.10. Statistical Analysis
3. Results
3.1. Progressive Specific Taekwondo Test
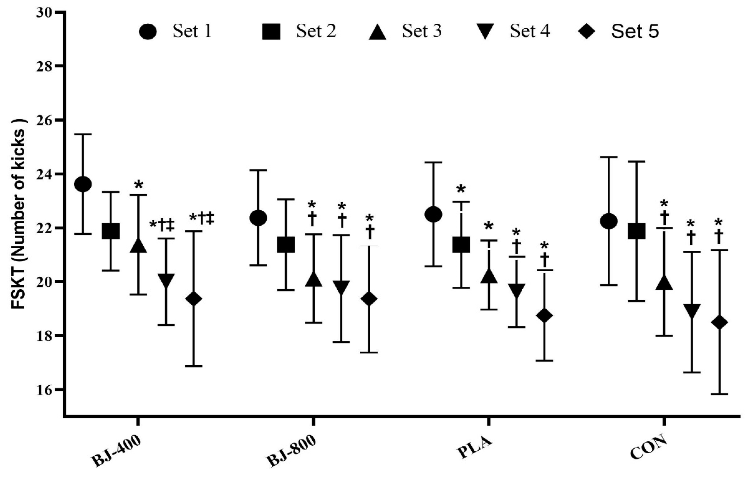
3.2. Kick Decrement Index and Frequency Speed of Kick Test Multiple
3.3. Blood Lactate
3.4. Counter Movement Jump
3.5. Cognitive Function
3.6. Rating of Perceived Exertion
3.7. Heart Rate
3.8. Gastrointestinal Symptoms
4. Discussion
5. Conclusions
Author Contributions
Funding
Institutional Review Board Statement
Informed Consent Statement
Data Availability Statement
Acknowledgments
Conflicts of Interest
References
- Bridge, C.A.; da Silva Santos, J.F.; Chaabene, H.; Pieter, W.; Franchini, E. Physical and Physiological Profiles of Taekwondo Athletes. Sports Med. 2014, 44, 713–733. [Google Scholar] [CrossRef] [PubMed]
- Campos, F.A.D.; Bertuzzi, R.; Dourado, A.C.; Santos, V.G.F.; Franchini, E. Energy demands in taekwondo athletes during combat simulation. Eur. J. Appl. Physiol. 2012, 112, 1221–1228. [Google Scholar] [CrossRef]
- Lopes-Silva, J.P.; Da Silva Santos, J.F.; Artioli, G.G.; LoTurco, I.; Abbiss, C.; Franchini, E. Sodium bicarbonate ingestion increases glycolytic contribution and improves performance during simulated taekwondo combat. Eur. J. Sport Sci. 2018, 18, 431–440. [Google Scholar] [CrossRef] [PubMed]
- Seyhan, S. Evaluation of the Use of Nutrition Support Products in Taekwondo Athletes. J. Educ. Learn. 2018, 7, 222–229. [Google Scholar] [CrossRef] [Green Version]
- Jung, H.C.; Seo, M.-W.; Lee, S.; Kim, S.W.; Song, J.K. Vitamin D3 Supplementation Reduces the Symptoms of Upper Respiratory Tract Infection during Winter Training in Vitamin D-Insufficient Taekwondo Athletes: A Randomized Controlled Trial. Int. J. Environ. Res. Public Health 2018, 15, 2003. [Google Scholar] [CrossRef] [Green Version]
- Chou, C.-C.; Sung, Y.-C.; Davison, G.; Chen, C.-Y.; Liao, Y.-H. Short-Term High-Dose Vitamin C and E Supplementation Attenuates Muscle Damage and Inflammatory Responses to Repeated Taekwondo Competitions: A Randomized Placebo-Controlled Trial. Int. J. Med. Sci. 2018, 15, 1217–1226. [Google Scholar] [CrossRef] [Green Version]
- Patlar, S.; Boyali, E.; Baltaci, A.K.; Mogulkoc, R. The Effect of Vitamin A Supplementation on Various Elements in Elite Taekwondo Players. Biol. Trace Element Res. 2011, 139, 296–300. [Google Scholar] [CrossRef]
- Naderi, A.; Samanipour, M.H.; Sarshin, A.; Forbes, S.C.; Koozehchian, M.S.; Franchini, E.; Reale, R.; Berjisian, E.; de Oliveira, E.P.; Miraftabi, H. Effects of two different doses of carbohydrate ingestion on taekwondo-related performance during a simulated tournament. J. Int. Soc. Sports Nutr. 2021, 18, 1–8. [Google Scholar] [CrossRef]
- Lopes-Silva, J.P.; Silva Santos, J.F.D.; Branco, B.H.M.; Abad, C.C.C.; De Oliveira, L.F.; LoTurco, I.; Franchini, E. Caffeine Ingestion Increases Estimated Glycolytic Metabolism during Taekwondo Combat Simulation but Does Not Improve Performance or Parasympathetic Reactivation. PLoS ONE 2015, 10, e0142078. [Google Scholar] [CrossRef]
- Sarshin, A.; Fallahi, V.; Forbes, S.C.; Rahimi, A.; Koozehchian, M.S.; Candow, D.G.; Kaviani, M.; Abdollahi, V.; Naderi, A. Short-term co-ingestion of creatine and sodium bicarbonate improves anaerobic performance in trained taekwondo athletes. J. Int. Soc. Sports Nutr. 2021, 18, 1–9. [Google Scholar] [CrossRef]
- Maughan, R.J.; Burke, L.M.; Dvorak, J.; Larson-Meyer, D.E.; Peeling, P.; Phillips, S.M.; Rawson, E.S.; Walsh, N.P.; Garthe, I.; Geyer, H. IOC Consensus Statement: Dietary Supplements and the High-Performance Athlete. Int. J. Sport Nutr. Exerc. Metab. 2018, 28, 104–125. [Google Scholar] [CrossRef] [PubMed] [Green Version]
- Lundberg, J.O.; Weitzberg, E.; Gladwin, M.T. The nitrate–nitrite–nitric oxide pathway in physiology and therapeutics. Nat. Rev. Drug Discov. 2008, 7, 156–167. [Google Scholar] [CrossRef] [PubMed]
- Domínguez, R.; Cuenca, E.; Maté-Muñoz, J.L.; García-Fernández, P.; Serra-Paya, N.; Estevan, M.C.L.; Herreros, P.V.; Garnacho-Castaño, M.V. Effects of Beetroot Juice Supplementation on Cardiorespiratory Endurance in Athletes. A Systematic Review. Nutrients 2017, 9, 43. [Google Scholar] [CrossRef] [Green Version]
- Bailey, S.J.; Winyard, P.; Vanhatalo, A.; Blackwell, J.R.; DiMenna, F.J.; Wilkerson, D.P.; Tarr, J.; Benjamin, N.; Jones, A.M. Dietary nitrate supplementation reduces the O2 cost of low-intensity exercise and enhances tolerance to high-intensity exercise in humans. J. Appl. Physiol. 2009, 107, 1144–1155. [Google Scholar] [CrossRef] [PubMed] [Green Version]
- Larsen, F.; Weitzberg, E.; Lundberg, J.; Ekblom, B. Effects of dietary nitrate on oxygen cost during exercise. Acta Physiol. 2007, 191, 59–66. [Google Scholar] [CrossRef]
- Richards, J.C.; Racine, M.L.; Hearon, C.M., Jr.; Kunkel, M.; Luckasen, G.J.; Larson, D.G.; Allen, J.D.; Dinenno, F.A. Acute ingestion of dietary nitrate increases muscle blood flow via local vasodilation during handgrip exercise in young adults. Physiol. Rep. 2018, 6, e13572. [Google Scholar] [CrossRef]
- Hernández, A.; Schiffer, T.A.; Ivarsson, N.; Cheng, A.J.; Bruton, J.D.; Lundberg, J.O.; Weitzberg, E.; Westerblad, H. Dietary nitrate increases tetanic [Ca2+]i and contractile force in mouse fast-twitch muscle. J. Physiol. 2012, 590, 3575–3583. [Google Scholar] [CrossRef]
- Bailey, S.J.; Fulford, J.; Vanhatalo, A.; Winyard, P.G.; Blackwell, J.R.; DiMenna, F.J.; Wilkerson, D.P.; Benjamin, N.; Jones, A.M. Dietary nitrate supplementation enhances muscle contractile efficiency during knee-extensor exercise in humans. J. Appl. Physiol. 2010, 109, 135–148. [Google Scholar] [CrossRef] [Green Version]
- Domínguez, R.; Maté-Muñoz, J.L.; Cuenca, E.; García-Fernández, P.; Mata-Ordoñez, F.; Lozano-Estevan, M.C.; Veiga-Herreros, P.; da Silva, S.F.; Garnacho-Castaño, M.V. Effects of beetroot juice supplementation on intermittent high-intensity exercise efforts. J. Int. Soc. Sports Nutr. 2018, 15, 1–12. [Google Scholar] [CrossRef] [Green Version]
- Jodra, P.; Domínguez, R.; Sanchez-Oliver, A.J.; Veiga-Herreros, P.; Bailey, S.J. Effect of Beetroot Juice Supplementation on Mood, Perceived Exertion, and Performance During a 30-Second Wingate Test. Int. J. Sports Physiol. Perform. 2020, 15, 243–248. [Google Scholar] [CrossRef] [Green Version]
- Porcelli, S.; Ramaglia, M.; Bellistri, G.; Pavei, G.; Pugliese, L.; Montorsi, M.; Rasica, L.; Marzorati, M. Aerobic Fitness Affects the Exercise Performance Responses to Nitrate Supplementation. Med. Sci. Sports Exerc. 2015, 47, 1643–1651. [Google Scholar] [CrossRef] [Green Version]
- Shannon, O.M.; Barlow, M.J.; Duckworth, L.; Williams, E.; Wort, G.; Woods, D.; Siervo, M.; O’Hara, J.P. Dietary nitrate supplementation enhances short but not longer duration running time-trial performance. Eur. J. Appl. Physiol. 2017, 117, 775–785. [Google Scholar] [CrossRef]
- Casado, A.; Domínguez, R.; Fernandes Da Silva, S.; Bailey, S.J. Influence of Sex and Acute Beetroot Juice Supplementation on 2 KM Running Performance. Appl. Sci. 2021, 11, 977. [Google Scholar] [CrossRef]
- McMahon, N.F.; Leveritt, M.D.; Pavey, T.G. The Effect of Dietary Nitrate Supplementation on Endurance Exercise Performance in Healthy Adults: A Systematic Review and Meta-Analysis. Sports Med. 2017, 47, 735–756. [Google Scholar] [CrossRef] [Green Version]
- Thompson, K.G.; Turner, L.; Prichard, J.; Dodd, F.; Kennedy, D.O.; Haskell, C.; Blackwell, J.R.; Jones, A.M. Influence of dietary nitrate supplementation on physiological and cognitive responses to incremental cycle exercise. Respir. Physiol. Neurobiol. 2014, 193, 11–20. [Google Scholar] [CrossRef] [PubMed]
- Thompson, C.; Wylie, L.J.; Fulford, J.; Kelly, J.; Black, M.I.; McDonagh, S.T.; Jeukendrup, A.E.; Vanhatalo, A.; Jones, A.M. Dietary nitrate improves sprint performance and cognitive function during prolonged intermittent exercise. Eur. J. Appl. Physiol. 2015, 115, 1825–1834. [Google Scholar] [CrossRef] [PubMed]
- Fulford, J.; Winyard, P.G.; Vanhatalo, A.; Bailey, S.J.; Blackwell, J.R.; Jones, A.M. Influence of dietary nitrate supplementation on human skeletal muscle metabolism and force production during maximum voluntary contractions. Pflügers Arch. Eur. J. Physiol. 2013, 465, 517–528. [Google Scholar] [CrossRef]
- Gilchrist, M.; Winyard, P.G.; Fulford, J.; Anning, C.; Shore, A.C.; Benjamin, N. Dietary nitrate supplementation improves reaction time in type 2 diabetes: Development and application of a novel nitrate-depleted beetroot juice placebo. Nitric Oxide 2014, 40, 67–74. [Google Scholar] [CrossRef]
- Naderi, A.; De Oliveira, E.P.; Ziegenfuss, T.N.; Willems, M.E. Timing, optimal dose and intake duration of dietary supplements with evidence-based use in sports nutrition. J. Exerc. Nutr. Biochem. 2016, 20, 1. [Google Scholar] [CrossRef]
- López-Samanes, Á.; Pérez-López, A.; Moreno-Pérez, V.; Nakamura, F.Y.; Acebes-Sánchez, J.; Quintana-Milla, I.; Sánchez-Oliver, A.J.; Moreno-Pérez, D.; Fernández-Elías, V.E.; Domínguez, R. Effects of Beetroot Juice Ingestion on Physical Performance in Highly Competitive Tennis Players. Nutrients 2020, 12, 584. [Google Scholar] [CrossRef] [PubMed] [Green Version]
- Hoon, M.W.; Jones, A.M.; Johnson, N.A.; Blackwell, J.R.; Broad, E.M.; Lundy, B.; Rice, A.J.; Burke, L.M. The Effect of Variable Doses of Inorganic Nitrate-Rich Beetroot Juice on Simulated 2000-m Rowing Performance in Trained Athletes. Int. J. Sports Physiol. Perform. 2014, 9, 615–620. [Google Scholar] [CrossRef] [PubMed]
- Santos, V.G.; Santos, V.R.; Felippe, L.J.; Almeida, J.W., Jr.; Bertuzzi, R.; Kiss, M.A.; Lima-Silva, A.E. Caffeine reduces reaction time and improves performance in simulated-contest of taekwondo. Nutrients 2014, 6, 637–649. [Google Scholar] [CrossRef] [PubMed] [Green Version]
- de Oliveira, G.V.; Nascimento, L.A.D.D.; Volino-Souza, M.; Mesquita, J.D.S.; Alvares, T.S. Beetroot-based gel supplementation improves handgrip strength and forearm muscle O2 saturation but not exercise tolerance and blood volume in jiu-jitsu athletes. Appl. Physiol. Nutr. Metab. 2018, 43, 920–927. [Google Scholar] [CrossRef] [Green Version]
- Dumar, A.M.; Huntington, A.F.; Rogers, R.R.; Kopec, T.J.; Williams, T.D.; Ballmann, C.G. Acute Beetroot Juice Supplementation Attenuates Morning-Associated Decrements in Supramaximal Exercise Performance in Trained Sprinters. Int. J. Environ. Res. Public Health 2021, 18, 412. [Google Scholar] [CrossRef]
- Rezaei, S.; Akbari, K.; Gahreman, D.E.; Sarshin, A.; Tabben, M.; Kaviani, M.; Sadeghinikoo, A.; Koozehchian, M.S.; Naderi, A. Caffeine and sodium bicarbonate supplementation alone or together improve karate performance. J. Int. Soc. Sports Nutr. 2019, 16, 1–8. [Google Scholar] [CrossRef] [Green Version]
- Domínguez, R.; Garnacho-Castaño, M.V.; Cuenca, E.; García-Fernández, P.; Muñoz-González, A.; De Jesús, F.; Lozano-Estevan, M.D.C.; Fernandes da Silva, S.; Veiga-Herreros, P.; Maté-Muñoz, J.L. Effects of Beetroot Juice Supplementation on a 30-s High-Intensity Inertial Cycle Ergometer Test. Nutrients 2017, 9, 1360. [Google Scholar] [CrossRef] [Green Version]
- Wylie, L.J.; Kelly, J.; Bailey, S.J.; Blackwell, J.R.; Skiba, P.F.; Winyard, P.G.; Jeukendrup, A.E.; Vanhatalo, A.; Jones, A.M. Beetroot juice and exercise: Pharmacodynamic and dose-response relationships. J. Appl. Physiol. 2013, 115, 325–336. [Google Scholar] [CrossRef] [Green Version]
- Stecker, R.A.; Harty, P.S.; Jagim, A.R.; Candow, D.G.; Kerksick, C.M. Timing of ergogenic aids and micronutrients on muscle and exercise performance. J. Int. Soc. Sports Nutr. 2019, 16, 1–8. [Google Scholar] [CrossRef] [Green Version]
- da Silva Santos, J.F.; Franchini, E. Is frequency speed of kick test responsive to training? A study with taekwondo athletes. Sport Sci. Health 2016, 12, 377–382. [Google Scholar] [CrossRef]
- Sant’Ana, J.; Franchini, E.; Murias, J.M.; Diefenthaeler, F. Validity of a Taekwondo-Specific Test to Measure Vo 2peak and the Heart Rate Deflection Point. J. Strength Cond. Res. 2019, 33, 2523–2529. [Google Scholar] [CrossRef]
- Balsalobre-Fernández, C.; Glaister, M.; Lockey, R.A. The validity and reliability of an iPhone app for measuring vertical jump performance. J. Sports Sci. 2015, 33, 1574–1579. [Google Scholar] [CrossRef]
- Koozehchian, M.S.; Earnest, C.P.; Jung, Y.P.; Collins, P.B.; O’Connor, A.; Dalton, R.; Shin, S.Y.; Sowinski, R.; Rasmussen, C.; Murano, P.S. Dose Response to One Week of Supplementation of a Multi-Ingredient Preworkout Supplement Containing Caffeine Before Exercise. J. Caffeine Res. 2017, 7, 81–94. [Google Scholar] [CrossRef]
- Pfeiffer, B.; Cotterill, A.; Grathwohl, D.; Stellingwerff, T.; Jeukendrup, A.E. The Effect of Carbohydrate Gels on Gastrointestinal Tolerance during a 16-km Run. Int. J. Sport Nutr. Exerc. Metab. 2009, 19, 485–503. [Google Scholar] [CrossRef] [Green Version]
- Aucouturier, J.; Boissière, J.; Pawlak-Chaouch, M.; Cuvelier, G.; Gamelin, F.-X. Effect of dietary nitrate supplementation on tolerance to supramaximal intensity intermittent exercise. Nitric Oxide 2015, 49, 16–25. [Google Scholar] [CrossRef]
- Ferguson, S.K.; Holdsworth, C.T.; Wright, J.L.; Fees, A.J.; Allen, J.D.; Jones, A.M.; Musch, T.I.; Poole, D.C. Microvascular oxygen pressures in muscles comprised of different fiber types: Impact of dietary nitrate supplementation. Nitric Oxide 2015, 48, 38–43. [Google Scholar] [CrossRef]
- Muggeridge, D.J.; Howe, C.C.; Spendiff, O.; Pedlar, C.; James, P.E.; Easton, C. The Effects of a Single Dose of Concentrated Beetroot Juice on Performance in Trained Flatwater Kayakers. Int. J. Sport Nutr. Exerc. Metab. 2013, 23, 498–506. [Google Scholar] [CrossRef]
- Martin, K.; Smee, D.; Thompson, K.G.; Rattray, B. No Improvement of Repeated-Sprint Performance with Dietary Nitrate. Int. J. Sports Physiol. Perform. 2014, 9, 845–850. [Google Scholar] [CrossRef] [PubMed]
- Rimer, E.G.; Peterson, L.R.; Coggan, A.R.; Martin, J.C. Acute dietary nitrate supplementation increases maximal cycling power in athletes. Int. J. Sports Physiol. Perform. 2016, 11, 715. [Google Scholar] [CrossRef] [PubMed] [Green Version]
- Buck, C.L.; Henry, T.; Guelfi, K.; Dawson, B.; Mc Naughton, L.R.; Wallman, K. Effects of sodium phosphate and beetroot juice supplementation on repeated-sprint ability in females. Eur. J. Appl. Physiol. 2015, 115, 2205–2213. [Google Scholar] [CrossRef] [PubMed]
- Wylie, L.J.; Mohr, M.; Krustrup, P.; Jackman, S.R.; Ermιdis, G.; Kelly, J.; Black, M.I.; Bailey, S.J.; Vanhatalo, A.; Jones, A.M. Dietary nitrate supplementation improves team sport-specific intense intermittent exercise performance. Eur. J. Appl. Physiol. 2013, 113, 1673–1684. [Google Scholar] [CrossRef] [PubMed]
- Clifford, T.; Berntzen, B.; Davison, G.W.; West, D.J.; Howatson, G.; Stevenson, E.J. Effects of Beetroot Juice on Recovery of Muscle Function and Performance between Bouts of Repeated Sprint Exercise. Nutrients 2016, 8, 506. [Google Scholar] [CrossRef] [Green Version]
- Rojas-Valverde, D.; Montoya-Rodríguez, J.; Azofeifa-Mora, C.; Sanchez-Urena, B. Effectiveness of beetroot juice derived nitrates supplementation on fatigue resistance during repeated-sprints: A systematic review. Crit. Rev. Food Sci. Nutr. 2020, 1–12. [Google Scholar] [CrossRef]
- Gallardo, E.J.; Coggan, A.R. What Is in Your Beet Juice? Nitrate and Nitrite Content of Beet Juice Products Marketed to Athletes. Int. J. Sport Nutr. Exerc. Metab. 2019, 29, 1–5. [Google Scholar] [CrossRef] [Green Version]
- Wruss, J.; Waldenberger, G.; Huemer, S.; Uygun, P.; Lanzerstorfer, P.; Müller, U.; Höglinger, O.; Weghuber, J. Compositional characteristics of commercial beetroot products and beetroot juice prepared from seven beetroot varieties grown in Upper Austria. J. Food Compos. Anal. 2015, 42, 46–55. [Google Scholar] [CrossRef] [Green Version]
- Kelly, J.; Vanhatalo, A.; Wilkerson, D.P.; Wylie, L.J.; Jones, A.M. Effects of Nitrate on the Power–Duration Relationship for Severe-Intensity Exercise. Med. Sci. Sports Exerc. 2013, 45, 1798–1806. [Google Scholar] [CrossRef] [Green Version]
- Cermak, N.M.; Gibala, M.J.; van Loon, L.J. Nitrate Supplementation’s Improvement of 10-km Time-Trial Performance in Trained Cyclists. Int. J. Sport Nutr. Exerc. Metab. 2012, 22, 64–71. [Google Scholar] [CrossRef]
- Vanhatalo, A.; Bailey, S.J.; Blackwell, J.R.; DiMenna, F.J.; Pavey, T.G.; Wilkerson, D.P.; Benjamin, N.; Winyard, P.G.; Jones, A.M. Acute and chronic effects of dietary nitrate supplementation on blood pressure and the physiological responses to moderate-intensity and incremental exercise. Am. J. Physiol. Integr. Comp. Physiol. 2010, 299, R1121–R1131. [Google Scholar] [CrossRef] [PubMed] [Green Version]
- Lansley, K.E.; Winyard, P.G.; Bailey, S.J.; Vanhatalo, A.; Wilkerson, D.P.; Blackwell, J.R.; Gilchrist, M.; Benjamin, N.; Jones, A.M. Acute Dietary Nitrate Supplementation Improves Cycling Time Trial Performance. Med. Sci. Sports Exerc. 2011, 43, 1125–1131. [Google Scholar] [CrossRef] [PubMed] [Green Version]
- Arnold, J.T.; Oliver, S.J.; Lewis-Jones, T.M.; Wylie, L.J.; Macdonald, J.H. Beetroot juice does not enhance altitude running performance in well-trained athletes. Appl. Physiol. Nutr. Metab. 2015, 40, 590–595. [Google Scholar] [CrossRef] [PubMed] [Green Version]
- Cermak, N.M.; Stinkens, R.; Lundberg, J.O.; Gibala, M.J.; van Loon, L.J. No Improvement in Endurance Performance after a Single Dose of Beetroot Juice. Int. J. Sport Nutr. Exerc. Metab. 2012, 22, 470–478. [Google Scholar] [CrossRef] [PubMed] [Green Version]
- Bescós, R.; Ferrer-Roca, V.; Galilea, P.A.; Roig, A.; Drobnic, F.; Sureda, A.; Martorell, M.; Cordova, A.; Tur, J.A.; Pons, A. Sodium Nitrate Supplementation Does Not Enhance Performance of Endurance Athletes. Med. Sci. Sports Exerc. 2012, 44, 2400–2409. [Google Scholar] [CrossRef] [PubMed]
- Peacock, O.; Tjønna, A.E.; James, P.; Wisløff, U.; Welde, B.; Böhlke, N.; Smith, A.; Stokes, K.; Cook, C.; Sandbakk, O. Dietary Nitrate Does Not Enhance Running Performance in Elite Cross-Country Skiers. Med. Sci. Sports Exerc. 2012, 44, 2213–2219. [Google Scholar] [CrossRef] [PubMed]
- Boorsma, R.K.; Whitfield, J.; Spriet, L.L. Beetroot Juice Supplementation Does Not Improve Performance of Elite 1500-m Runners. Med. Sci. Sports Exerc. 2014, 46, 2326–2334. [Google Scholar] [CrossRef] [PubMed]
- Jonvik, K.L.; Nyakayiru, J.; van Loon, L.J.; Verdijk, L.B. Can elite athletes benefit from dietary nitrate supplementation? J. Appl. Physiol. 2015, 119, 759–761. [Google Scholar] [CrossRef] [PubMed] [Green Version]
- Green, D.J.; Rowley, N.; Spence, A.; Carter, H.; Whyte, G.; George, K.; Naylor, L.H.; Cable, N.T.; Dawson, E.A.; Thijssen, D. Why Isn’t Flow-Mediated Dilation Enhanced in Athletes. Med. Sci. Sports Exerc. 2013, 45, 75–82. [Google Scholar] [CrossRef] [PubMed]
- Senefeld, J.W.; Wiggins, C.C.; Regimbal, R.J.; Dominelli, P.B.; Baker, S.E.; Joyner, M.J. Ergogenic Effect of Nitrate Supplementation: A Systematic Review and Meta-analysis. Med. Sci. Sports Exerc. 2020, 52, 2250–2261. [Google Scholar] [CrossRef]
- Mosher, S.; Gough, L.A.; Deb, S.; Saunders, B.; Mc Naughton, L.R.; Brown, D.; Sparks, S. High dose Nitrate ingestion does not improve 40 km cycling time trial performance in trained cyclists. Res. Sports Med. 2020, 28, 138–146. [Google Scholar] [CrossRef] [PubMed]
- Collins, S.M.; Kearns, D. The Effect of Beetroot Supplementation on High Intensity Functional Training Performance. Int. J. Exerc. Sci. 2020, 13, 667. [Google Scholar] [CrossRef] [Green Version]
- Cooper, S.B.; Bandelow, S.; Nute, M.L.; Dring, K.J.; Stannard, R.L.; Morris, J.G.; Nevill, M.E. Sprint-based exercise and cognitive function in adolescents. Prev. Med. Rep. 2016, 4, 155–161. [Google Scholar] [CrossRef] [Green Version]
- Calverley, T.A.; Ogoh, S.; Marley, C.J.; Steggall, M.; Marchi, N.; Brassard, P.; Lucas, S.J.; Cotter, J.D.; Roig, M.; Ainslie, P.N. HIITing the brain with exercise: Mechanisms, consequences and practical recommendations. J. Physiol. 2020, 598, 2513–2530. [Google Scholar] [CrossRef]
- Borlaug, B.A.; Koepp, K.E.; Melenovsky, V. Sodium Nitrite Improves Exercise Hemodynamics and Ventricular Performance in Heart Failure With Preserved Ejection Fraction. J. Am. Coll. Cardiol. 2015, 66, 1672–1682. [Google Scholar] [CrossRef] [Green Version]
- De Castro, T.F.; Manoel, F.D.A.; Figueiredo, D.H.; Figueiredo, D.H.; Machado, F.A. Effect of beetroot juice supplementation on 10-km performance in recreational runners. Appl. Physiol. Nutr. Metab. 2019, 44, 90–94. [Google Scholar] [CrossRef] [Green Version]
- Kroll, J.L.; Werchan, C.A.; Rosenfield, D.; Ritz, T. Acute ingestion of beetroot juice increases exhaled nitric oxide in healthy individuals. PLoS ONE 2018, 13, e0191030. [Google Scholar] [CrossRef] [Green Version]
- Santana, J.; Madureira, D.; de França, E.; Rossi, F.; Rodrigues, B.; Fukushima, A.; Billaut, F.; Lira, F.; Caperuto, E. Nitrate supplementation combined with a running training program improved time-trial performance in recreationally trained runners. Sports 2019, 7, 120. [Google Scholar] [CrossRef] [Green Version]
- Wylie, L.J.; de Zevallos, J.O.; Isidore, T.; Nyman, L.; Vanhatalo, A.; Bailey, S.J.; Jones, A.M. Dose-dependent effects of dietary nitrate on the oxygen cost of moderate-intensity exercise: Acute vs. chronic supplementation. Nitric Oxide 2016, 57, 30–39. [Google Scholar] [CrossRef] [PubMed] [Green Version]
- dos S Baiao, D.; da Silva, D.V.; Paschoalin, V.M. Beetroot, a remarkable vegetable: Its nitrate and phytochemical contents can be adjusted in novel formulations to benefit health and support cardiovascular disease therapies. Antioxidants 2020, 9, 960. [Google Scholar] [CrossRef]
- Sullivan, G.M.; Feinn, R. Using Effect Size—or Why the P Value Is Not Enough. J. Grad. Med. Educ. 2012, 4, 279–282. [Google Scholar] [CrossRef] [PubMed] [Green Version]
- Paton, C.D.; Hopkins, W.G. Variation in performance of elite cyclists from race to race. Eur. J. Sport Sci. 2006, 6, 25–31. [Google Scholar] [CrossRef]






| Before FSKT BJ-400 | Before PSTT BJ-400 | Before FSKT BJ-800 | Before PSTT BJ-800 | Before FSKT PLA | Before PSTT PLA | Before FSKT CON | Before PSTT CON | |
|---|---|---|---|---|---|---|---|---|
| Highest Jump (cm) | 42.9 ± 4.9 | 41.7 ± 4.9 | 42.3 ± 5.1 | 41.2 ± 4.7 | 42.3 ± 4.4 | 40.4 ± 4.3 * | 42.7 ± 3.1 | 39.8 ± 2.8 ** |
| Average Height (cm) | 42.0 ± 4.7 | 40.6 ± 4.9 | 40.6 ± 4.6 | 38.9 ± 4.9 | 40.9 ± 3.4 | 39.3 ± 4.2 * | 41.5 ± 3.1 | 38.5 ± 3.1 ** |
| Flight Time (ms) | 590.7 ± 30.9 | 583.5 ± 34.5 | 586.4 ± 34.6 | 579.0 ± 32.9 | 586.6 ± 29.7 | 570.9 ± 33.4 * | 590.0 ± 21.6 | 564.4 ± 30.5 ** |
| Velocity (m·s−1) | 1.441 ± 0.078 | 1.431 ± 0.086 | 1.439 ± 0.086 | 1.410 ± 0.085 | 1.438 ± 0.071 | 1.405 ± 0.072 | 1.450 ± 0.058 | 1.395 ± 0.049 ** |
| Force (n·kg−1) | 1.435 ± 0.134 | 1.414 ± 0.110 | 1.426 ± 0.158 | 1.360 ± 0.127 | 1.415 ± 0.097 | 1.377 ± 0.062 * | 1.499 ± 0.175 | 1.445 ± 0.154 ** |
| Power (W·kg−1) | 2.056 ± 0.287 | 2.010 ± 0.197 | 2.059 ± 0.320 | 1.996 ± 0.245 | 2.011 ± 0.209 | 1.909 ± 0.143 * | 2.168 ± 0.295 | 2.001 ± 0.223 |
| Word–Color (n) | Word (n) | Color (n) | Total (n) | ||
|---|---|---|---|---|---|
| BJ-400 | Pre-ingestion | 135 ± 11 | 149 ± 10 | 88 ± 2 | 373 ± 21 |
| Post-ingestion | 119 ± 16 | 134 ± 20 | 96 ± 15 | 349 ± 48 | |
| Post-exercise | 130 ± 19 | 135 ± 20 | 97 ± 17 | 362 ± 55 | |
| BJ-800 | Pre-ingestion | 119 ± 16 | 131 ± 12 | 91 ± 11 | 342 ± 38 |
| Post-ingestion | 117 ± 18 | 128 ± 17 | 93 ± 14 | 339 ± 46 | |
| Post-exercise | 125 ± 18 | 136 ± 20 | 99 ± 16 | 361 ± 52 | |
| PLA | Pre-ingestion | 117 ± 14 | 127 ± 16 | 93 ± 7 | 338 ± 32 |
| Post-ingestion | 116 ± 13 | 127 ± 10 | 92 ± 8 | 335 ± 29 | |
| Post-exercise | 124 ± 9 | 133 ± 6 | 102 ± 13 | 360 ± 25 | |
| CON | Pre-ingestion | 114 ± 11 | 122 ± 15 | 87 ± 6 | 324 ± 32 |
| Post-ingestion | 121 ± 15 | 128 ± 15 | 93 ± 14 | 343 ± 43 | |
| Post-exercise | 124 ± 17 | 136 ± 20 | 101 ± 20 | 362 ± 56 |
| Set 1 (a.u.) | Set 2 (a.u.) | Set 3 (a.u.) | Set 4 (a.u.) | Set 5 (a.u.) | |
|---|---|---|---|---|---|
| BJ-400 | 6 ± 1 | 8 ± 2 | 11 ± 2 | 12 ± 2 | 14 ± 2 |
| BJ-800 | 7 ± 1 | 9 ± 1 | 11 ± 1 | 12 ± 2 | 13 ± 1 |
| PLA | 7 ± 1 | 10 ± 1 | 12 ± 2 | 14 ± 2 | 15 ± 2 |
| CON | 6 ± 1 | 8 ± 1 | 10 ± 2 | 12 ± 2 | 13 ± 2 |
| Treatment | Level 1 | Level 2 | Level 3 | Level 4 | Level 5 | Level 6 | Level 7 | Level 8 | Level 9 | Level 10 | Level 11 | Level 12 | Level 13 | Level 14 | Level 15 |
|---|---|---|---|---|---|---|---|---|---|---|---|---|---|---|---|
| BJ-400 RPE n | 6 ± 1 8 | 7 ± 12 8 | 8 ± 1 8 | 9 ± 2 8 | 9 ± 3 8 | 10 ± 3 8 | 11 ± 3 8 | 12 ± 3 8 | 13 ± 3 7 | 15 ± 3 7 | 15 ± 2 4 | 15 ± 1 4 | 17 ± 1 4 | 18 ± 1 3 | 18 ± 1 2 |
| BJ-800 RPE n | 6 ± 1 8 | 7 ± 1 8 | 9 ± 1 8 | 10 ± 2 8 | 11 ± 2 8 | 12 ± 2 8 | 14 ± 2 8 | 14 ± 1 7 | 16 ± 1 7 | 16 ± 1 6 | 17 ± 1 6 | 17 ± 1 6 | 18 ± 1 3 | 19 ± 0 2 | 19 ± 1 2 |
| PLA RPE n | 6 ± 1 8 | 8 ± 1 8 | 9 ± 2 8 | 10 ± 2 8 | 11 ± 2 8 | 13 ± 1 8 | 14 ± 2 8 | 15 ± 1 8 | 16 ± 1 6 | 17 ± 1 5 | 18 ± 1 4 | 19 ± 1 2 | 19 ± 1 2 | 20.0 1 | - |
| CON RPE n | 6 ± 1 8 | 8 ± 1 8 | 9 ± 1 8 | 10 ± 2 8 | 12 ± 2 8 | 13 ± 3 8 | 14 ± 3 8 | 15 ± 3 7 | 16 ± 3 6 | 16 ± 2 5 | 18 ± 2 4 | 18 ± 2 3 | 17 ± 2 2 | 18 ± 1 2 | 19 1 |
| FSKT | PSTT | |||
|---|---|---|---|---|
| HRpeak (bpm) | HRaverage (bpm) | HRmax (bpm) | HRaverage (bpm) | |
| BJ-400 | 185 ± 7 | 174 ± 11 | 194 ± 7 | 174 ± 11 |
| BJ-800 | 188 ± 5 | 169 ± 9 | 195 ± 7 | 174 ± 5 |
| PLA | 190 ± 5 | 175 ± 7 | 191 ± 12 | 178 ± 10 |
| CON | 190 ± 8 | 175 ± 7 | 194 ± 6 | 175 ± 8 |
Publisher’s Note: MDPI stays neutral with regard to jurisdictional claims in published maps and institutional affiliations. |
© 2021 by the authors. Licensee MDPI, Basel, Switzerland. This article is an open access article distributed under the terms and conditions of the Creative Commons Attribution (CC BY) license (https://creativecommons.org/licenses/by/4.0/).
Share and Cite
Miraftabi, H.; Avazpoor, Z.; Berjisian, E.; Sarshin, A.; Rezaei, S.; Domínguez, R.; Reale, R.; Franchini, E.; Samanipour, M.H.; Koozehchian, M.S.; et al. Effects of Beetroot Juice Supplementation on Cognitive Function, Aerobic and Anaerobic Performances of Trained Male Taekwondo Athletes: A Pilot Study. Int. J. Environ. Res. Public Health 2021, 18, 10202. https://doi.org/10.3390/ijerph181910202
Miraftabi H, Avazpoor Z, Berjisian E, Sarshin A, Rezaei S, Domínguez R, Reale R, Franchini E, Samanipour MH, Koozehchian MS, et al. Effects of Beetroot Juice Supplementation on Cognitive Function, Aerobic and Anaerobic Performances of Trained Male Taekwondo Athletes: A Pilot Study. International Journal of Environmental Research and Public Health. 2021; 18(19):10202. https://doi.org/10.3390/ijerph181910202
Chicago/Turabian StyleMiraftabi, Hossein, Zahra Avazpoor, Erfan Berjisian, Amir Sarshin, Sajjad Rezaei, Raúl Domínguez, Reid Reale, Emerson Franchini, Mohammad Hossein Samanipour, Majid S. Koozehchian, and et al. 2021. "Effects of Beetroot Juice Supplementation on Cognitive Function, Aerobic and Anaerobic Performances of Trained Male Taekwondo Athletes: A Pilot Study" International Journal of Environmental Research and Public Health 18, no. 19: 10202. https://doi.org/10.3390/ijerph181910202
APA StyleMiraftabi, H., Avazpoor, Z., Berjisian, E., Sarshin, A., Rezaei, S., Domínguez, R., Reale, R., Franchini, E., Samanipour, M. H., Koozehchian, M. S., Willems, M. E. T., Rafiei, R., & Naderi, A. (2021). Effects of Beetroot Juice Supplementation on Cognitive Function, Aerobic and Anaerobic Performances of Trained Male Taekwondo Athletes: A Pilot Study. International Journal of Environmental Research and Public Health, 18(19), 10202. https://doi.org/10.3390/ijerph181910202

