Identifying and Addressing the Underlying Core Problems in Healthcare Environments: An Illustration Using an Emergency Department Game
Abstract
:1. Introduction
1.1. The Theory of Constraints and Its Application in Health Care
1.2. A Game to Support the TOC in Health Care
- Demonstrate the impact of statistical fluctuations and dependent processes in a complex healthcare environment;
- Demonstrate how bad/outdated (traditional) management policies block patient treatment and flow;
- Support the introduction of the basic TOC concepts and tools to healthcare audiences;
- Nurture participants (players) to improve patient flows in the ED and other healthcare environments using the TOC.
2. Materials and Methods
2.1. Processing Policy
2.2. How to Measure Performance
- Discharges—the number of discharged patients per shift (throughput).
- Patients in treatment—the current number of patients in the ED.
- Left-without-treatment (LWOT) patients—the number of patients that left the ED without completing their treatment. If a player wants to be a good healthcare manager, no patient should leave without treatment.
2.3. Statistical Analysis
- I.
- Traditional + random: The simulation considered the traditional management (shift 1) and assigned a randomly distributed value obtained in the die roll in each round to each MEDICAL ASSESSMENT task (processes the patients waiting for discharge and the patients waiting for treatment).
- II.
- Traditional + 50/50: The simulation considered the traditional management (shift 1) and assigned 50% of the points (the value obtained in a die roll) to each side. In case of rolling an uneven number, the patients waiting for treatment had priority. Unbalanced assignment of points also occurred when there were fewer patients in the queue to meet the 50% value on any side.
- III.
- Traditional + discharge priority: Considered the traditional management (shift 1), the simulation assigned the maximum number of points to process patients waiting for discharge and used the rest to process those waiting for treatment.
- IV.
- TOC + Buffer Management: This is the strategy utilized for shift 2 after the changes made by means of the TOC analysis using the 5FS and Buffer Management. The level of buffer penetration in each of the queues (prioritizing waiting for treatment) indicates how to distribute the number of points. The shift 1 debriefing section provides more details on this strategy.
- V.
- TOC + Buffer Management: This is the strategy used during shift 3 and it is similar to the previous one (IV), except for the extra resource (die) allocated in MEDICAL ASSESSMENT resulting from step 4 “Elevate”. The shift 2 debriefing section provides more details on this strategy.
- VI.
- Traditional + Elevating first: Since the usual solution to ED crowding is to pay for more resources, we investigated the results of adding more resources (an extra die) before making a better use of the existing ones.
- A minimum batch: To determine the minimum number of patients needed to activate a resource in the top row (e.g., IMAGING EXAMS, MEDICATION).
- Refer to GP: To determine whether TRIAGE refers patients to external GPs, effectively discharging them from the ED, or not.
- MEDICAL ASSESSMENT dice: To select one of the three types of dice used in this area: a standard six-sided die (D6) at shift 1, a 4–6 die at shift 2 (as explained in the debriefing of shift 1), two six-sided dice (2 × D6) at shift 3.
- Patients in treatment in the ED (which can be considered as a work in progress (WIP)).
- LWOT patients.
- Output lead time (including LWOT and discharged patients).
- Length of stay (LOS)—the total LOS (the number of rounds it takes for a patient to leave the ED, by discharge or without treatment) and the LOS to the discharge (the number of rounds it takes for a patient to be discharged and/or referred to an external GP).
2.4. Pilot Implementation
3. Results (Playing the Game)
3.1. Shift 1—Starting the Game
3.1.1. Play
3.1.2. Simulation results
3.1.3. Debriefing
- Overcrowding (high bed occupancy rate).
- Delayed assessment or treatment (and consequentially worse outcomes in the real environment).
- High workload (which may lead to a shorter time to investigate patients’ conditions in the real environment).
- High stress for staff (which is related to compromised quality of care in the real environment) and patients.
- Low discharge rate.
- Patients leaving without treatment.
- Poor performance, low efficiency, and high cost of care/treatment.
- Ambulance diversions to other hospitals’ EDs.
- Identify the constraint(s).
- Decide how to exploit the constraint(s).
- Subordinate everything to the above decision(s).
- Elevate the system’s constraint(s).
- If in the previous steps a constraint has been broken, go back to step 1, but do not allow inertia to cause a system’s constraint.
3.2. Shift 2—Improving the System
3.2.1. Play
3.2.2. Debriefing
3.3. Shift 3—Last Attempt
3.3.1. Play
3.3.2. Simulation results
3.3.3. Debriefing
4. Discussion
4.1. Theoretical Implications
4.2. Practical Implications
4.3. Overall Contribution
5. Conclusions
Supplementary Materials
Author Contributions
Funding
Institutional Review Board Statement
Informed Consent Statement
Data Availability Statement
Conflicts of Interest
References
- Higginson, I. Emergency Department Crowding. Emerg. Med. J. 2012, 29, 437–443. [Google Scholar] [CrossRef]
- Morley, C.; Unwin, M.; Peterson, G.M.; Stankovich, J.; Kinsman, L. Emergency Department Crowding: A Systematic Review of Causes, Consequences and Solutions. PLOS One 2018, 13, e0203316. [Google Scholar] [CrossRef] [PubMed]
- Rasouli, H.R.; Esfahani, A.A.; Nobakht, M.; Eskandari, M.; Mahmoodi, S.; Goodarzi, H.; Abbasi Farajzadeh, M. Outcomes of Crowding in Emergency Departments; a Systematic Review. Arch. Acad. Emerg. Med. 2019, 7, e52. [Google Scholar] [PubMed]
- Salway, R.; Valenzuela, R.; Shoenberger, J.; Mallon, W.; Viccellio, A. Emergency Department (Ed) Overcrowding: Evidence-Based Answers to Frequently Asked Questions. Tema. Cent. Med. Urgenc. 2017, 28, 213–219. [Google Scholar] [CrossRef]
- Kenny, J.F.; Chang, B.C.; Hemmert, K.C. Factors Affecting Emergency Department Crowding. Emerg. Med. Clin. 2020, 38, 573–587. [Google Scholar] [CrossRef] [PubMed]
- Friedman, A.; Pauly, M. Why the Emergency Room Is Always Crowded and What We Can Do about It. Available online: https://www.inquirer.com/health/expert-opinions/emergency-room-overcrowded-solutions-20200106.html (accessed on 28 March 2020).
- Schneider, S.M.; Gallery, M.E.; Schafermeyer, R.; Zwemer, F.L. Emergency Department Crowding: A Point in Time. Ann. Emerg. Med. 2003, 42, 167–172. [Google Scholar] [CrossRef] [PubMed]
- Higginson, I.; Boyle, A. What Should We Do about Crowding in Emergency Departments? Br. J. Hosp. Med. 2018, 79, 500–503. [Google Scholar] [CrossRef] [PubMed]
- Ryu, J.; Lee, T.H. The Waiting Game—Why Providers May Fail to Reduce Wait Times. N. Engl. J. Med. 2017, 376, 2309–2311. [Google Scholar] [CrossRef]
- Cox, J.F.; Robinson, T.M.; Maxwell, W. Unconstraining a Doctor’s Office. TOC’s Buffer Management Can Help Solve Core Scheduling Problems. Ind. Eng. 2016, 48, 28–33. [Google Scholar]
- Song, Z.; Ferris, T.G. Baby Boomers and Beds: A Demographic Challenge for the Ages. J. Gen. Intern. Med. 2018, 33, 367–369. [Google Scholar] [CrossRef] [Green Version]
- Al Talalwah, N.; McIltrot, K.H. Cancellation of Surgeries: Integrative Review. J. Perianesth. Nurs. 2019, 34, 86–96. [Google Scholar] [CrossRef]
- Bacelar-Silva, G.M.; Cox, J.F.; Rodrigues, P.P. Outcomes of Managing Healthcare Services Using the Theory of Constraints: A Systematic Review. Health Syst. 2020, 1–16. [Google Scholar] [CrossRef]
- Mabin, V.; Balderstone, S.J. The Performance of the Theory of Constraints Methodology: Analysis and Discussion of Successful TOC Applications. Int. J. Oper. Prod. Manag. 2003, 23, 568–595. [Google Scholar] [CrossRef]
- Knight, A.; Schragenheim, E.; Gibb, H.; Schragenheim, A. Making TOC the Main Way in Health and Social Care. In Proceedings of the TOCICO Conference 2004: 2nd Annual Worldwide Gathering of TOC Professionals, Las Vegas, NV, USA, 23 October 2004; Volume 2. [Google Scholar]
- Umble, M.; Umble, E.J. Utilizing Buffer Management to Improve Performance in a Healthcare Environment. Eur. J. Oper. Res. 2006, 174, 1060–1075. [Google Scholar] [CrossRef]
- Knight, A. Achieving a Breakthrough in Healthcare 2013. Available online: https://cdn.ymaws.com/www.tocico.org/resource/resmgr/webinar_files/2013_pdfs/21_november_2013_webinar_sli.pdf (accessed on 21 September 2021).
- Knight, A. Pride and Joy, 1st ed.; Linney Group Ltd.: Mansfield, UK, 2014; ISBN 978-0-9559534-9-1. [Google Scholar]
- Stratton, R.; Knight, A. Managing Patient Flow Using Time Buffers. J. Manuf. Technol. Manag. 2010, 21, 484–498. [Google Scholar] [CrossRef] [Green Version]
- Sierraalta-Arganguren, M.C. Transformation of the Flow of Patient-Centered Care in the Emergency Room. In Proceedings of the TOCICO Conference 2015: 13th Annual Worldwide Gathering of TOC Professionals, Denver, CO, USA, 6 September 2015; Volume 13. [Google Scholar]
- Goldratt, E.M.; Cox, J. The Goal: A Process of Ongoing Improvement—20th Anniversary Edition, 3rd ed.; North River Press: Great Barrington, MA, USA, 2004; ISBN 978-0-88427-195-6. [Google Scholar]
- Cox, J.F.; Boyd, L.H.; Sullivan, T.T.; Reid, R.A.; Cartier, B. The Theory of Constraints International Certification Organization Dictionary, 2nd ed.; McGraw-Hill Education: New York, NY, USA, 2012. [Google Scholar]
- Knight, A.; West, B. Level 2 Basics Workshop: Healthcare: Achieving Ongoing Improvement-The Importance of Analysis and the Scientific Approach. In Proceedings of the TOCICO Conference 2014: 12th Annual Worldwide Gathering of TOC Professionals, Aberdeen, WA, USA, 8 June 2014; Volume 12. [Google Scholar]
- Goldratt, E.M.; Cox, J. The Goal: Excellence in Manufacturing, 1st ed.; North River Press Inc.: New York, NY, USA, 1984. [Google Scholar]
- Rui, P.; Kang, K. National Hospital Ambulatory Medical Care Survey: 2017 Emergency Department Summary Tables 2017. Available online: https://www.cdc.gov/nchs/data/nhamcs/web_tables/2017_ed_web_tables-508.pdf (accessed on 21 September 2021).
- Sivey, P. Should I Stay or Should I Go? Hospital Emergency Department Waiting Times and Demand. Health Econ. 2018, 27, e30–e42. [Google Scholar] [CrossRef] [Green Version]
- Theory of Constraints International Certification Organization Theory of Constraints International Certification Organization. Available online: https://www.tocico.org/ (accessed on 7 November 2018).
- Kyriacou, D.N.; Ricketts, V.; Dyne, P.L.; McCollough, M.D.; Talan, D.A. A 5-Year Time Study Analysis of Emergency Department Patient Care Efficiency. Ann. Emerg. Med. 1999, 34, 326–335. [Google Scholar] [CrossRef]
- Stang, A.S.; Crotts, J.; Johnson, D.W.; Hartling, L.; Guttmann, A. Crowding Measures Associated With the Quality of Emergency Department Care: A Systematic Review. Acad. Emerg. Med. 2015, 22, 643–656. [Google Scholar] [CrossRef] [PubMed]
- Goldratt, E.M. The Haystack Syndrome: Sifting Information out of the Data Ocean; North River Press: Great Barrington, MA, USA, 1990; ISBN 978-0-88427-089-8. [Google Scholar]
- Cox, J.F.; Spencer, M.S. The Constraints Management Handbook (The CRC Press Series on Constraints Management), 1st ed.; CRC Press: Boca Raton, FL, USA, 1997; ISBN 978-1-57444-060-7. [Google Scholar]
- Mabin, V.; Balderstone, S.J. The World of the Theory of Constraints: A Review of International Literature; CRC Press: Boca Raton, FL, USA, 1999. [Google Scholar]
- Moineddin, R.; Meaney, C.; Agha, M.; Zagorski, B.; Glazier, R.H. Modeling Factors Influencing the Demand for Emergency Department Services in Ontario: A Comparison of Methods. BMC Emerg. Med. 2011, 11, 13. [Google Scholar] [CrossRef] [PubMed] [Green Version]
- Cox, J.F.; Robinson, T.M.; Maxwell, W. Applying the “Theory of Constraints” to Solve Your Practice’s Most Vexing Problem. Fam. Pract. Manag. 2014, 21, 18–22. [Google Scholar] [PubMed]
- Bacelar, G. How a Doctor Implemented TOC and Improved His Ophthalmology Practice over 50% in a Few Weeks. In Proceedings of the TOCICO 2019 International Conference Proceedings, Chicago, IL, USA, 16 July 2019. [Google Scholar]
- Han, J.H.; Zhou, C.; France, D.J.; Zhong, S.; Jones, I.; Storrow, A.B.; Aronsky, D. The Effect of Emergency Department Expansion on Emergency Department Overcrowding. Acad. Emerg. Med. 2007, 14, 338–343. [Google Scholar] [CrossRef] [PubMed]
- Mumma, B.E.; McCue, J.Y.; Li, C.-S.; Holmes, J.F. Effects of Emergency Department Expansion on Emergency Department Patient Flow. Acad. Emerg. Med. 2014, 21, 504–509. [Google Scholar] [CrossRef] [Green Version]
- Goldratt, E.M. Goldratt Satellite Program Session 2: Finance & Measurements; Goldratt Satellite Program: New Haven, CT, USA, 1999. [Google Scholar]
- Karvonen, S.; Rämö, J.; Leijala, M.; Holmström, J. Productivity Improvement in Heart Surgery—A Case Study on Care Process Development. Prod. Plan. Control 2004, 15, 238–246. [Google Scholar] [CrossRef]
- Cox, J.F.; Boyd, L.H. Using the Theory of Constraints’ Processes of Ongoing Improvement to Address the Provider Appointment Scheduling System Design Problem. Health Syst. 2018, 1–35. [Google Scholar] [CrossRef]
- Cox, J.F. Using the Theory of Constraints’ Processes of Ongoing Improvement to Address the Provider Appointment Scheduling System Execution Problem. Health Syst. 2019, 1–32. [Google Scholar] [CrossRef]
- Mabin, V.; Yee, J.; Babington, S.; Caldwell, V.; Moore, R. Using the Theory of Constraints to Resolve Long-Standing Resource and Service Issues in a Large Public Hospital. Health Syst. 2018, 7, 230–249. [Google Scholar] [CrossRef] [Green Version]
- Gauthier, A.; Kato, P.M.; Bul, K.C.M.; Dunwell, I.; Walker-Clarke, A.; Lameras, P. Board Games for Health: A Systematic Literature Review and Meta-Analysis. Games Health J. 2018, 8, 85–100. [Google Scholar] [CrossRef] [Green Version]
- Sardone, N.B.; Devlin-Scherer, R. Let the (Board) Games Begin: Creative Ways to Enhance Teaching and Learning. Clear. House J. Educ. Strateg. Issues Ideas 2016, 89, 215–222. [Google Scholar] [CrossRef]
- Sterman, J.; Morrison, J.B. Understanding and Solving Complex Business Problems. Available online: https://www.mitsloanexeced.com/executive-program/understanding-and-solving-complex-business-problems/?gclid=Cj0KCQjwzZj2BRDVARIsABs3l9L-p7-ySClFrnipb1selJQZ1cbP_k81Zw5P4ZpsMkm7Fgn7SU_d2uMaAjK8EALw_wcB (accessed on 26 May 2020).




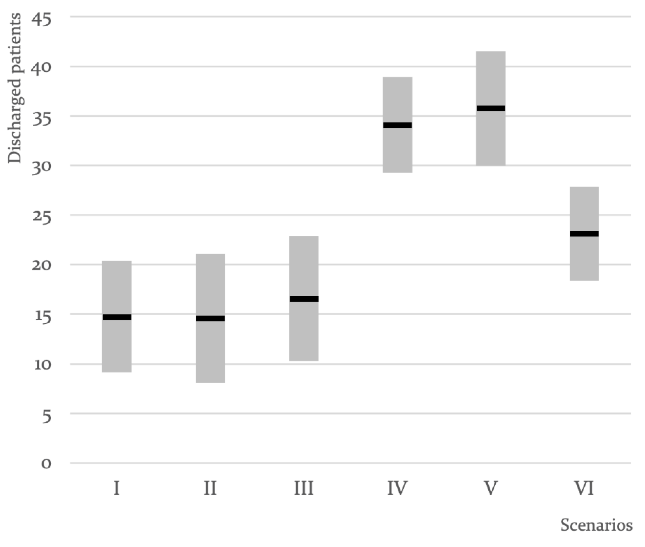
| Strategy | Shift | Type | Assessment Strategy | Discharges (Mean) | Std Dev | %Std Dev | 95% Percentile (Min) | 95% Percentile (Max) | WIP (Mean) | LWOT (Mean) | Total LOS (Mean) | Discharge LOS (Mean) |
|---|---|---|---|---|---|---|---|---|---|---|---|---|
| I | 1 | Trad | Random | 14.5 | 2.74 | 19% | 9.0 | 20.0 | 31.2 | 11.3 | 12.6 | 22.5 |
| II | 1 | Trad | 50% | 14.1 | 3.15 | 22% | 7.8 | 20.4 | 31.3 | 10.2 | 13.4 | 23.6 |
| III | 1 | Trad | Discharge | 15.6 | 3.11 | 20% | 9.3 | 21.8 | 28.9 | 11.2 | 11.1 | 19.4 |
| IV | 2 | TOC | BM | 34.1 | 2.42 | 7% | 29.3 | 38.9 | 28.5 | 0.0 | 8.4 | 8.4 |
| V | 3 | TOC | BM | 35.8 | 2.89 | 8% | 30.0 | 41.5 | 27.6 | 0.0 | 7.8 | 7.8 |
| VI | 1 | Trad | 50% | 22.7 | 2.59 | 11% | 17.5 | 27.8 | 27.3 | 9.3 | 8.7 | 12.2 |
Publisher’s Note: MDPI stays neutral with regard to jurisdictional claims in published maps and institutional affiliations. |
© 2021 by the authors. Licensee MDPI, Basel, Switzerland. This article is an open access article distributed under the terms and conditions of the Creative Commons Attribution (CC BY) license (https://creativecommons.org/licenses/by/4.0/).
Share and Cite
Bacelar-Silva, G.M.; Cox, J.F.; Baptista, H.R.; Rodrigues, P.P. Identifying and Addressing the Underlying Core Problems in Healthcare Environments: An Illustration Using an Emergency Department Game. Int. J. Environ. Res. Public Health 2021, 18, 10083. https://doi.org/10.3390/ijerph181910083
Bacelar-Silva GM, Cox JF, Baptista HR, Rodrigues PP. Identifying and Addressing the Underlying Core Problems in Healthcare Environments: An Illustration Using an Emergency Department Game. International Journal of Environmental Research and Public Health. 2021; 18(19):10083. https://doi.org/10.3390/ijerph181910083
Chicago/Turabian StyleBacelar-Silva, Gustavo M., James F. Cox, Humberto R. Baptista, and Pedro Pereira Rodrigues. 2021. "Identifying and Addressing the Underlying Core Problems in Healthcare Environments: An Illustration Using an Emergency Department Game" International Journal of Environmental Research and Public Health 18, no. 19: 10083. https://doi.org/10.3390/ijerph181910083
APA StyleBacelar-Silva, G. M., Cox, J. F., Baptista, H. R., & Rodrigues, P. P. (2021). Identifying and Addressing the Underlying Core Problems in Healthcare Environments: An Illustration Using an Emergency Department Game. International Journal of Environmental Research and Public Health, 18(19), 10083. https://doi.org/10.3390/ijerph181910083

