Weightlifting during the COVID-19 Pandemic—A Transnational Study Regarding Motivation, Barriers, and Coping of Master Athletes
Abstract
:1. Introduction
2. Materials and Methods
2.1. Sample
2.2. Measures
2.3. Statistical Analysis
3. Results
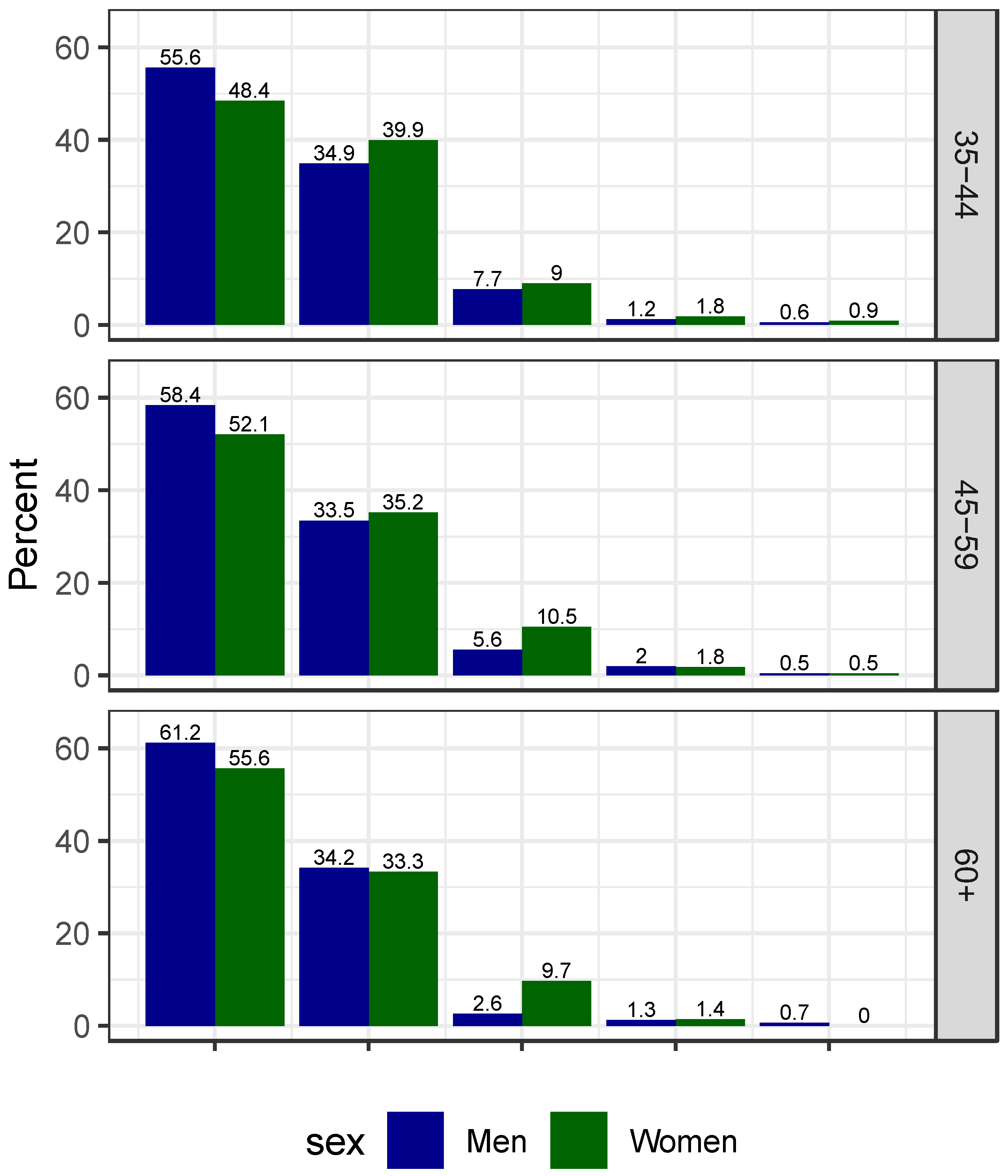
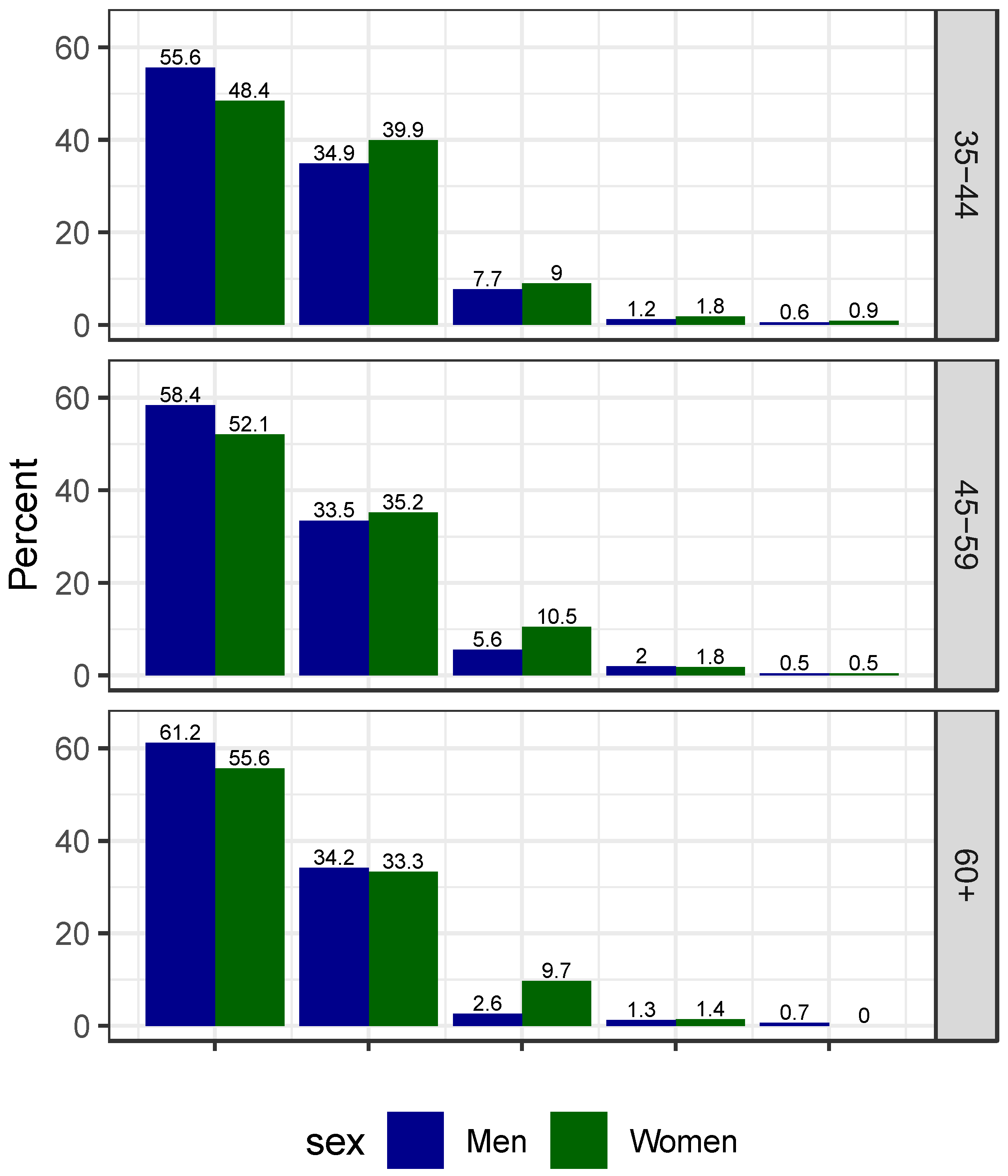
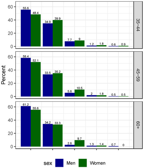
3.1. Attitudes toward Sport and Physical Activity during the Pandemic
3.2. Motivation, Barriers, and Pandemic Impact on Exercise
3.3. Opportunities for Competitions
3.4. Comparison to Pre-Pandemic in the USA
4. Discussion
5. Conclusions
Author Contributions
Funding
Institutional Review Board Statement
Informed Consent Statement
Data Availability Statement
Acknowledgments
Conflicts of Interest
Appendix A
| Model | Overall Model | Group Model by Gender | Group Model by Age Group | Group Model by Region |
|---|---|---|---|---|
| Chi-square | 1109.16 | 1121.230 | 1266.784 | 1492.392 |
| Degree of Freedom | 120 | 321 | 520 | 687 |
| p-value | 0.000 | 0.000 | 0.000 | 0.000 |
| Chi-square contributed by female | --- | 623.829 | --- | --- |
| Chi-square contributed by male | --- | 497.401 | --- | --- |
| Chi-square contributed by 35–44 years of age | --- | --- | 442.294 | --- |
| Chi-square contributed by 45–59 years of age | --- | --- | 437.974 | --- |
| Chi-square contributed by 60+ years of age | --- | --- | 386.516 | --- |
| Chi-square contributed by USA | --- | --- | --- | 515.768 |
| Chi-square contributed by Canada | --- | --- | --- | 269.026 |
| Chi-square contributed by Europe | --- | --- | --- | 399.512 |
| Chi-square contributed by Australia | --- | --- | --- | 308.086 |
| RMSEA | 0.088 | 0.069 | 0.064 | 0.067 |
| CFI | 0.921 | 0.935 | 0.942 | 0.920 |
| Covariance/Correlation | Covariance | SE | p-Value | Correlation |
|---|---|---|---|---|
| Pandemic impact on exercise routines WITH | ||||
| Motivation for Master weightlifting | 0.006 | 0.012 | 0.616 | 0.021 |
| Health reasons for exercise during the pandemic WITH | ||||
| Motivation for Master weightlifting | 0.181 | 0.019 | <0.001 | 0.479 |
| Pandemic weight-lifting routine | 0.314 | 0.025 | <0.001 | 0.486 |
| Socio-economic barriers WITH | ||||
| Motivation for Master weightlifting | 0.010 | 0.011 | 0.357 | 0.038 |
| Pandemic impact on exercise routines | −0.062 | 0.018 | 0.001 | −0.138 |
| Health reasons for exercise during the pandemic | −0.020 | 0.022 | 0.357 | −0.034 |
| Training access barriers WITH | ||||
| Motivation for Master weightlifting | 0.010 | 0.011 | 0.144 | −0.060 |
| Pandemic impact on exercise routines | −0.169 | 0.025 | <0.001 | −0.268 |
| Health reasons for exercise during the pandemic | 0.013 | 0.031 | 0.665 | 0.016 |
| Socio-economic barriers | 0.301 | 0.021 | <0.001 | 0.524 |
| Health-related barriers WITH | ||||
| Motivation for Master weightlifting | −0.013 | 0.011 | 0.232 | −0.052 |
| Pandemic impact on exercise routines | −0.052 | 0.018 | 0.004 | −0.120 |
| Health reasons for exercise during the pandemic | −0.039 | 0.022 | 0.075 | −0.068 |
| Socio-economic barriers | 0.144 | 0.020 | <0.001 | 0.364 |
| Training access barriers | 0.243 | 0.027 | <0.001 | 0.437 |
| Residual variance | ||||
| Motivation for Master weightlifting | 0.169 | 0.026 | <0.001 | --- |
| Pandemic impact on exercise routines | 0.494 | 0.040 | <0.001 | --- |
| Health reasons for exercise during the pandemic | 0.847 | 0.030 | <0.001 | --- |
| Socio-economic barriers | 0.408 | 0.030 | <0.001 | --- |
| Training access barriers | 0.807 | 0.044 | <0.001 | --- |
| Health-related barriers | 0.383 | 0.041 | <0.001 | --- |
| Participation in Sport and Physical Activities during the Pandemic (n = 1037) | Attracted to Master Weightlifting Due to Opportunity to Compete (n = 1036) | |
|---|---|---|
| Response scale | From 1 = a lot more to 5 =a lot less | From 1 = strongly agree to 5 = strongly disagree |
| Age, 5 years | 1.07 (1.02, 1.12) p = 0.008 | 0.95 (0.90, 1.01) p = 0.078 |
| Gender, male | --- | 0.75 (0.59, 0.96) p = 0.024 |
| Region | ||
| USA | ref | ref |
| CAN | 1.07 (0.76, 1.52) p = 0.683 | 0.99 (0.67, 1.45) p = 0.946 |
| EUR | 2.90 (2.12, 3.95) p < 0.001 | 1.02 (0.76, 1.47) p = 0.721 |
| AUS | 0.66 (0.44, 0.97) p = 0.037 | 1.74 (1.14, 2.63) p = 0.009 |
| January 2020 (n = 951) | June 2021 (n = 652) | |
|---|---|---|
| Gender | ||
| Women | 54.7% (519) | 53.7% (350) |
| Men | 45.3% (429) | 46.3% (302) |
| Age | 39 45 54 | 40 48 58 |
| Age group | ||
| 35–44 | 47.3% (450) | 39.4% (256) |
| 45–59 | 38.4% (365) | 39.2% (255) |
| 60+ | 14.3% (136) | 21.4% (139) |
| Education | ||
| Low | 3.2% (30) | 6.0% (39) |
| Middle | 14.7% (140) | 9.5% (62) |
| High | 39.6% (377) | 35.7% (232) |
| Graduate degree | 42.5% (404) | 48.8% (317) |
| Experience, years 1 | 1 4 6 | 4 7 11 |
| Training location | ||
| WL club | 47.0% (447) | 50.3% (328) |
| CrossFit box | 41.6% (396) | 49.5% (323) |
| Fitness center | 13.4% (127) | 18.1% (118) |
| Home | 29.9% (284) | 30.8% (201) |
| Training program | ||
| Coach | 75.8% (721) | 75.5% (492) |
| Own program | 17.8% (169) | 26.2% (171) |
References
- WHO. WHO Director-General’s Opening Remarks at the Media Briefing on COVID-19—11 March 2020. Available online: https://www.who.int/director-general/speeches/detail/who-director-general-s-opening-remarks-at-the-media-briefing-on-covid-19---11-march-2020 (accessed on 23 August 2021).
- Latella, C.; Haff, G.G. Global Challenges of Being a Strength Athlete during a Pandemic: Impacts and Sports-Specific Training Considerations and Recommendations. Sports 2020, 8, 100. [Google Scholar] [CrossRef]
- Fisher, K. Health Club Closures & Openings by Country; IHRSA, Global Health and Fitness Association: Boston, MA, USA; Available online: https://www.ihrsa.org/improve-your-club/health-club-openings-closures-by-country/ (accessed on 1 July 2021).
- Hulteen, R.M.; Smith, J.J.; Morgan, P.J.; Barnett, L.M.; Hallal, P.C.; Colyvas, K.; Lubans, D.R. Global Participation in Sport and Leisure-Time Physical Activities: A Systematic Review and Meta-Analysis. Prev. Med. 2017, 95, 14–25. [Google Scholar] [CrossRef] [PubMed]
- Huebner, M.; Meltzer, D.E.; Perperoglou, A. Strength in Numbers Women in Olympic-Style Weightlifting. Significance 2021, 18, 20–25. [Google Scholar] [CrossRef]
- Schmidt, T.; Pawlowski, C.S. Physical Activity in Crisis: The Impact of COVID-19 on Danes’ Physical Activity Behavior. Front. Sports Act. Living 2021, 2, 610255. [Google Scholar] [CrossRef] [PubMed]
- Yamada, M.; Kimura, Y.; Ishiyama, D.; Otobe, Y.; Suzuki, M.; Koyama, S.; Kikuchi, T.; Kusumi, H.; Arai, H. Effect of the COVID-19 Epidemic on Physical Activity in Community-Dwelling Older Adults in Japan: A Cross-Sectional Online Survey. J. Nutr. Health Aging 2020, 24, 948–950. [Google Scholar] [CrossRef]
- Facer-Childs, E.R.; Hoffman, D.; Tran, J.N.; Drummond, S.P.A.; Rajaratnam, S.M.W. Sleep and Mental Health in Athletes during COVID-19 Lockdown. Sleep 2021, 44, zsaa261. [Google Scholar] [CrossRef]
- Angosto, S.; Berengüí, R.; Vegara-Ferri, J.M.; López-Gullón, J.M. Motives and Commitment to Sport in Amateurs during Confinement: A Segmentation Study. Int. J. Environ. Res. Public Health 2020, 17, 7398. [Google Scholar] [CrossRef] [PubMed]
- Lautenbach, F.; Leisterer, S.; Walter, N.; Kronenberg, L.; Manges, T.; Leis, O.; Pelikan, V.; Gebhardt, S.; Elbe, A.-M. Amateur and Recreational Athletes’ Motivation to Exercise, Stress, and Coping during the Corona Crisis. Front. Psychol. 2021, 11, 611658. [Google Scholar] [CrossRef]
- Leyton-Román, M.; de la Vega, R.; Jiménez-Castuera, R. Motivation and Commitment to Sports Practice during the Lockdown Caused by Covid-19. Front. Psychol. 2021, 11, 622595. [Google Scholar] [CrossRef]
- Huebner, M.; Meltzer, D.; Ma, W.; Arrow, H. The Masters Athlete in Olympic Weightlifting: Training, Lifestyle, Health Challenges, and Gender Differences. PLoS ONE 2020, 15, e0243652. [Google Scholar] [CrossRef]
- Long, J.S. Confirmatory Factor Analysis; Sage University Paper Series on Quantitative Applications in the Social Sciences, No.33; SAGE Publications, Inc.: Beverly Hills, CA, USA, 1983. [Google Scholar]
- Meredith, W. Measurement Invariance, Factor Analysis and Factorial Invariance. Psychometrika 1993, 58, 525–543. [Google Scholar] [CrossRef]
- Muthén, B.O. Factor Structure in Groups Selected on Observed Scores. Br. J. Math. Stat. Psychol. 1989, 42, 81–90. [Google Scholar] [CrossRef] [Green Version]
- Muthén, B. Multiple-Group Structural Modelling with Non-Normal Continuous Variables. Br. J. Math. Stat. Psychol. 1989, 42, 55–62. [Google Scholar] [CrossRef]
- Mislevy, R.J. Recent Developments in the Factor Analysis of Categorical Variables. J. Educ. Stat. 1986, 11, 3–31. [Google Scholar] [CrossRef]
- R Core Team. R: A Language and Environment for Statistical Computing; R Foundation for Statistical Computing: Vienna, Austria, 2019. [Google Scholar]
- Muthén, L.K.; Muthén, B.O. Mplus User’s Guide, 8th ed.; Muthen & Muthen: Los Angeles, CA, USA, 2017. [Google Scholar]
- Vandenbroucke, J.P.; von Elm, E.; Altman, D.G.; Gøtzsche, P.C.; Mulrow, C.D.; Pocock, S.J.; Poole, C.; Schlesselman, J.J.; Egger, M. STROBE Initiative Strengthening the Reporting of Observational Studies in Epidemiology (STROBE): Explanation and Elaboration. Epidemiology 2007, 18, 805–835. [Google Scholar] [CrossRef] [Green Version]
- Huebner, M.; Meltzer, D.E.; Perperoglou, A. Age-Associated Performance Decline and Sex Differences in Olympic Weightlifting. Med. Sci. Sports Exerc. 2019, 51, 2302–2308. [Google Scholar] [CrossRef]
- Elliott, S.; Drummond, M.J.; Prichard, I.; Eime, R.; Drummond, C.; Mason, R. Understanding the Impact of COVID-19 on Youth Sport in Australia and Consequences for Future Participation and Retention. BMC Public Health 2021, 21, 448. [Google Scholar] [CrossRef] [PubMed]
- Bosquet, L.; Berryman, N.; Dupuy, O.; Mekary, S.; Arvisais, D.; Bherer, L.; Mujika, I. Effect of Training Cessation on Muscular Performance: A Meta-Analysis. Scand. J. Med. Sci. Sports 2013, 23, e140–e149. [Google Scholar] [CrossRef]
- Lesser, I.A.; Nienhuis, C.P. The Impact of COVID-19 on Physical Activity Behavior and Well-Being of Canadians. Int. J. Environ. Res. Public Health 2020, 17, 3899. [Google Scholar] [CrossRef]
- Dionigi, R.; Baker, J.; Horton, S. Older Athletes’ Perceived Benefits of Competition. Int. J. Sport Soc. 2011, 2, 17–28. [Google Scholar] [CrossRef] [Green Version]
- Horton, S.; Dionigi, R.A.; Gard, M.; Baker, J.; Weir, P. “Don’t Sit Back with the Geraniums, Get out”: The Complexity of Older Women’s Stories of Sport Participation. J. Amat. Sport 2018, 4, 24–51. [Google Scholar] [CrossRef]
- Horton, S.; Dionigi, R.A.; Gard, M.; Baker, J.; Weir, P.; Deneau, J. “You Can Sit in the Middle or Be One of the Outliers”: Older Male Athletes and the Complexities of Social Comparison. Front. Psychol. 2019, 10, 2617. [Google Scholar] [CrossRef] [PubMed] [Green Version]
- Wright, V.J.; Perricelli, B.C. Age-Related Rates of Decline in Performance among Elite Senior Athletes. Am. J. Sports Med. 2008, 36, 443–450. [Google Scholar] [CrossRef] [PubMed]




| N | AUS (n = 90) | CAN (n = 124) | USA (n = 652) | EUR (n = 189) | |||||
|---|---|---|---|---|---|---|---|---|---|
| 1055 1 | Women (n = 46) | Men (n = 44) | Women (n = 69) | Men (n = 55) | Women (n = 350) | Men (n = 302) | Women (n = 59) | Men (n = 130) | |
| Age 2 | 1055 | 39 47 54 | 42 48 62 | 40 45 53 | 45 54 62 | 40 46 55 | 41 49 62 | 40 45 54 | 44 53 60 |
| Age group | 1055 | ||||||||
| 35–44 | 401 | 43.5% (20) | 36.4% (16) | 47.8% (33) | 21.8% (12) | 42.6% (149) | 35.7% (107) | 44.8% (26) | 27.9% (36) |
| 45–59 | 424 | 39.1% (18) | 31.8% (14) | 37.7% (26) | 40.7% (22) | 43.1% (151) | 34.7% (104) | 46.6% (27) | 46.5% (60) |
| 60+ | 230 | 17.4% (8) | 31.8% (14) | 14.5% (10) | 38.2% (21) | 14.3% (50) | 29.7% (89) | 8.6% (5) | 25.6% (33) |
| Age at start of weightlifting 2 | 1043 | 35 40 48 | 30 37 48 | 34 40 45 | 15 33 45 | 34 39 48 | 21 34 43 | 31 38 42 | 13 16 30 |
| Education | 1051 | ||||||||
| Low | 91 | 10.9% (5) | 6.8% (3) | 5.8% (4) | 18.5% (10) | 5.5% (19) | 6.7% (20) | 13.8% (8) | 17.2% (22) |
| Middle | 187 | 26.1% (12) | 22.7% (10) | 34.8% (24) | 27.8% (15) | 9.2% (32) | 9.7% (29) | 24.1% (14) | 39.1% (50) |
| High | 390 | 58.7% (27) | 61.4% (27) | 50.7% (35) | 46.3% (25) | 37.9% (132) | 33.3% (100) | 32.8% (19) | 18.8% (25) |
| Graduate degree | 383 | 4.3% (2) | 9.1% (4) | 8.7% (6) | 7.4% (4) | 47.4% (165) | 50.3% (151) | 29.3% (17) | 25.0% (32) |
| Training location 3 | 1046 | ||||||||
| Weightlifting club | 605 | 58.7% (27) | 45.5% (20) | 66.7% (46) | 71.7% (38) | 53.0% (185) | 48.1% (143) | 75.9% (44) | 80.2% (101) |
| CrossFit box | 452 | 45.7% (21) | 36.4% (16) | 47.8% (33) | 24.5% (13) | 53.3% (186) | 45.5% (135) | 43.1% (25) | 17.5% (22) |
| Fitness center | 178 | 15.2% (7) | 22.7% (10) | 17.4% (12) | 15.1% (8) | 15.2% (53) | 21.9% (65) | 15.5% (9) | 10.3% (13) |
| Home | 305 | 34.8% (16) | 45.5% (20) | 17.4% (12) | 47.2% (25) | 22.1% (77) | 41.8% (124) | 10.3% (6) | 17.5% (22) |
| Training program 4 | 1049 | ||||||||
| Coach | 600 | 87.0% (40) | 50.0% (22) | 71.0% (49) | 48.1% (26) | 68.6% (240) | 44.5% (133) | 63.8% (37) | 38.9% (49) |
| Remote coach | 196 | 15.2% (7) | 13.6% (6) | 15.9% (11) | 18.5% (10) | 23.5% (82) | 21.7% (65) | 15.5% (9) | 4.0% (5) |
| Own | 331 | 4.3% (2) | 38.6% (17) | 13.0% (9) | 46.3% (25) | 10.0% (35) | 45.2% (135) | 31.0% (18) | 71.4% (90) |
| N | 35–44 (n = 401) | 45–59 (n = 424) | 60+ (n = 230) | Total (n= 1055) | |
|---|---|---|---|---|---|
| Motivations | |||||
| Community/social aspects | 1043 | 72.4% (288) | 74.2% (313) | 73.5% (164) | 73.3% (765) |
| Opportunity to compete | 1036 | 89.3% (352) | 89.5% (374) | 93.3% (209) | 90.3% (935) |
| Manage stress/mental health | 1034 | 88.2% (350) | 86.4% (363) | 71.4% (155) | 83.9% (868) |
| Build strength, confidence, positive identity | 1037 | 94.2% (374) | 94.0% (394) | 91.0% (201) | 93.4% (969) |
| Health/Fitness | 1039 | 93.7% (371) | 95.7% (401) | 96.4% (216) | 95.1% (988) |
| Barriers | |||||
| Finances | 1037 | 24.9% (99) | 21.8% (91) | 18.6% (41) | 22.3% (231) |
| Family responsibilities | 1035 | 45.1% (179) | 38.4% (160) | 19.5% (43) | 36.9% (382) |
| Career/work responsibilities | 1038 | 61.8% (246) | 55.3% (231) | 36.5% (81) | 53.8% (558) |
| Access to a gym | 1030 | 19.0% (75) | 22.8% (95) | 16.5% (36) | 20.0% (206) |
| Access to qualified coaches | 1031 | 24.1% (95) | 27.8% (116) | 20.2% (44) | 24.7% (255) |
| Injuries/surgery | 1039 | 46.9% (187) | 51.7% (217) | 58.6% (129) | 51.3% (533) |
| Other health issues | 1020 | 14.4% (57) | 23.4% (97) | 27.3% (57) | 20.7% (211) |
| Loading | SE | p-Value | STD Loading | |
|---|---|---|---|---|
| 1. Motivation for weightlifting | ||||
| Community/social aspects | 1.000 | 0.000 | --- | 0.410 |
| Manage stress/mental health | 1.886 | 0.150 | 0.000 | 0.774 |
| Build strength, confidence, positive identity | 2.162 | 0.170 | 0.000 | 0.888 |
| Health/fitness | 1.842 | 0.146 | 0.000 | 0.756 |
| 2. Socio-economic barriers | ||||
| Finances | 1.000 | 0.000 | --- | 0.639 |
| Family responsibilities | 1.262 | 0.054 | 0.000 | 0.806 |
| Career/work responsibilities | 1.168 | 0.054 | 0.000 | 0.746 |
| 3. Health-related barriers | ||||
| Injuries/surgery | 1.000 | 0.000 | --- | 0.619 |
| Other health issues | 1.427 | 0.132 | 0.000 | 0.883 |
| 4. Training access barriers | ||||
| Access to a gym | 1.000 | 0.000 | --- | 0.898 |
| Access to qualified coaches | 0.788 | 0.043 | 0.000 | 0.708 |
| 5. Pandemic impact on exercise routine | ||||
| The pandemic has not changed my exercise regime | 1.000 | 0.000 | --- | 0.703 |
| During the pandemic, I found new ways to be physically active | 0.472 | 0.051 | 0.000 | 0.331 |
| I have missed doing the types of physical activities I did before (R) | 0.960 | 0.064 | 0.000 | 0.674 |
| I do not enjoy training by myself (R) | 0.459 | 0.052 | 0.000 | 0.323 |
| During the pandemic, I have had more time for sport | 0.702 | 0.054 | 0.000 | 0.493 |
| 6. Exercise and motivation during the pandemic | ||||
| I exercised to manage my physical health during the pandemic | 1.000 | 0.000 | --- | 0.920 |
| I exercised to manage my mental health during the pandemic | 1.004 | 0.034 | 0.000 | 0.924 |
| Motivation for Weightlifting | Barriers to Weightlifting | Pandemic Impact | ||||
|---|---|---|---|---|---|---|
| Socio-Economic | Training Access | Health-Related | Exercise Routine | Exercise and Motivation | ||
| Gender comparison: (men as reference group) | ||||||
| Women | ||||||
| Estimate | −0.229 | −0.081 | −0.068 | 0.112 | 0.067 | −0.430 |
| SE | 0.040 | 0.044 | 0.065 | 0.046 | 0.055 | 0.071 |
| p-value | <0.001 | 0.066 | 0.295 | 0.014 | 0.230 | <0.001 |
| Age comparison: (age 35–44 as reference group) | ||||||
| Age 45–59 | ||||||
| Estimate | −0.005 | 0.079 | −0.112 | −0.124 | −0.010 | 0.078 |
| SE | 0.035 | 0.051 | 0.072 | 0.051 | 0.059 | 0.077 |
| p-value | 0.895 | 0.119 | 0.119 | 0.014 | 0.868 | 0.310 |
| Age 60+ | ||||||
| Estimate | 0.106 | 0.362 | 0.059 | −0.208 | −0.010 | 0.310 |
| SE | 0.041 | 0.062 | 0.088 | 0.063 | 0.070 | 0.089 |
| p-value | 0.100 | <0.001 | 0.503 | 0.001 | 0.888 | <0.001 |
| Region comparison: (USA as reference group) | ||||||
| Canada | ||||||
| Estimate | −0.029 | 0.043 | −0.093 | 0.026 | 0.112 | −0.124 |
| SE | 0.060 | 0.071 | 0.103 | 0.065 | 0.078 | 0.103 |
| p-value | 0.627 | 0.538 | 0.367 | 0.691 | 0.149 | 0.227 |
| Europe | ||||||
| Estimate | 0.060 | 0.271 | −0.076 | 0.018 | 0.624 | 0.482 |
| SE | 0.046 | 0.067 | 0.081 | 0.067 | 0.084 | 0.095 |
| p-value | 0.188 | <0.001 | 0.350 | 0.794 | <0.001 | <0.001 |
| Australia | ||||||
| Estimate | 0.124 | 0.075 | −0.128 | −0.073 | −0.196 | 0.016 |
| SE | 0.060 | 0.076 | 0.09 | 0.076 | 0.085 | 0.139 |
| p-value | 0.039 | 0.324 | 0.153 | 0.334 | 0.021 | 0.909 |
Publisher’s Note: MDPI stays neutral with regard to jurisdictional claims in published maps and institutional affiliations. |
© 2021 by the authors. Licensee MDPI, Basel, Switzerland. This article is an open access article distributed under the terms and conditions of the Creative Commons Attribution (CC BY) license (https://creativecommons.org/licenses/by/4.0/).
Share and Cite
Huebner, M.; Ma, W.; Rieger, T. Weightlifting during the COVID-19 Pandemic—A Transnational Study Regarding Motivation, Barriers, and Coping of Master Athletes. Int. J. Environ. Res. Public Health 2021, 18, 9343. https://doi.org/10.3390/ijerph18179343
Huebner M, Ma W, Rieger T. Weightlifting during the COVID-19 Pandemic—A Transnational Study Regarding Motivation, Barriers, and Coping of Master Athletes. International Journal of Environmental Research and Public Health. 2021; 18(17):9343. https://doi.org/10.3390/ijerph18179343
Chicago/Turabian StyleHuebner, Marianne, Wenjuan Ma, and Thomas Rieger. 2021. "Weightlifting during the COVID-19 Pandemic—A Transnational Study Regarding Motivation, Barriers, and Coping of Master Athletes" International Journal of Environmental Research and Public Health 18, no. 17: 9343. https://doi.org/10.3390/ijerph18179343
APA StyleHuebner, M., Ma, W., & Rieger, T. (2021). Weightlifting during the COVID-19 Pandemic—A Transnational Study Regarding Motivation, Barriers, and Coping of Master Athletes. International Journal of Environmental Research and Public Health, 18(17), 9343. https://doi.org/10.3390/ijerph18179343

