Effect of a Virtual Reality-Based Restorative Environment on the Emotional and Cognitive Recovery of Individuals with Mild-to-Moderate Anxiety and Depression
Abstract
:1. Introduction
1.1. Restorative Environments and Their Restorability
1.2. The Psychological Application of Virtual Reality (VR) Technology
1.3. A Restorative Environment Based on Virtual Reality, Emotion, and Cognition
2. Study I: Design, Implementation, and Verification of a VR Restorative Environment
2.1. Purpose and Hypothesis
- (1)
- The 2D images of initial restorative scenes used in this study have recovery effect.
- (2)
- The VR restorative scenes we used have recovery effect.
2.2. Design and Implementation of a VR Restorative Environment
2.3. Experiment 1: Recovery Validation of Scenes
2.3.1. Participants
2.3.2. Materials and Instruments
2.3.3. Procedure
2.3.4. Results
2.4. Experiment 2: Verification of Recovery in a VR Environment
2.4.1. Participants
2.4.2. Materials and Instruments
2.4.3. Procedure
2.4.4. Results
3. Study II: Presence and Recovery Effect of Experiencing a VR Restorative Environment
3.1. Purpose and Hypothesis
- (1)
- There will be differences in subjective restoration and the sense of presence of different VR restorative scenes. The subjective restoration of VR restorative scenes will be higher than that of VR urban scene. The presence of VR restorative environment with interaction will be better than that in other intervention groups.
- (2)
- Different VR restorative environment experiences will have different healing effects on the degree of change in individual emotions and self-efficacy for individuals with mild-to-moderate anxiety and depression.
- (3)
- VR restorative scenes (Env2~Env5) will contribute to improve positive emotions, reduce negative emotions, and improve self-efficacy of individuals with mild-to-moderate anxiety and depression. The VR urban scene (Env1) will have the opposite effect to VR restorative scenes. Different VR restorative environment experiences will have different healing effects on the directions of change in individual emotions and self-efficacy.
- (4)
- The recovery impact of the VR rehabilitative environment on people was probably realized through the presence of VR scenes.
- (5)
- The differences of presence will also be reflected in EMG: compared to the baseline, indicators of physical participation (contraction of the brachioradialis muscle of the participants’ arm) in the VR scene experience will improve.
- (6)
- VR restorative scenes will be conductive to the cognitive recovery of individuals with mild-to-moderate anxiety and depression, which will be reflected in EEG indicators: prefrontal alertness and engagement will be increased, and the calming signal index will be decreased in the VR restorative environment experience.
3.2. Methods
3.2.1. Participants
3.2.2. Experimental Design
3.2.3. Materials and Instruments
3.2.4. Procedure
3.3. Results
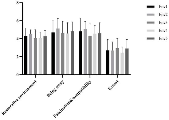
3.3.1. Differences in the Environmental Recovery of Different Scene Experiences
3.3.2. Differences in the Presence Experienced in Different Scenes
3.3.3. Mediating Effect of Presence
3.3.4. Effect of VR Restorative Environment Experience on Emotion and Self-Efficacy
3.3.5. EMG and EEG Feedback from Different Scene Experiences
4. Discussion
4.1. Healing Effect of a VR Restorative Environment
4.2. Subjective Healing Due to Different Scene Experiences
4.3. Differences in the Presence Experienced in Different Scenes
4.4. Mediating Effect of Presence
4.5. Impact of a VR Restorative Environment Experience on Individual Emotions and Self-Efficacy
4.6. Effect of a VR Restorative Environment on Cognitive Function
4.7. Innovation and Significance
4.8. Limitations
5. Conclusions
- There was no significant difference in the healing effect between different VR scenes, but the restorative score of the VR urban scene was higher than that of the VR natural environment.
- A high sense of presence could be experienced in different VR scenes, and interactive activities in VR scenes can provide a great presence experience. However, roaming in a natural environment through controller operation had the lowest sense of presence. The differences of presence were also reflected in EMG.
- The recovery effects of VR restorative environment on emotion and self-efficacy are realized through the presence of VR scenes.
- VR restorative environments are helpful for emotional improvement and cognitive recovery in individuals with mild-to-moderate anxiety and depression. VR urban scenes also have good recovery effects. In terms of cognitive recovery, self-efficacy improved significantly. In addition, from the perspective of EEG indicators, the VR restorative scene experience activated the prefrontal lobe, which is conducive to cognitive recovery in individuals with mild-to-moderate anxiety and depression. In terms of emotional improvement, negative emotions were significantly reduced in the different VR scene groups.
Author Contributions
Funding
Institutional Review Board Statement
Informed Consent Statement
Data Availability Statement
Acknowledgments
Conflicts of Interest
References
- De Lange, A.H.; Taris, T.W.; Kompier, M.A.J.; Houtman, I.L.D.; Bongers, P.M. “The Very Best of the Millennium”: Longitudinal Research and the Demand-Control-(Support) Model. J. Occup. Health Psychol. 2003, 8, 282–305. [Google Scholar] [CrossRef] [Green Version]
- Lederbogen, F.; Kirsch, P.; Haddad, L.; Streit, F.; Tost, H.; Schuch, P.; Wüst, S.; Pruessner, J.C.; Rietschel, M.; Deuschle, M. City Living and Urban Upbringing Affect Neural Social Stress Processing in Humans. Nature 2011, 474, 498–501. [Google Scholar] [CrossRef] [PubMed]
- Mueller, D.P. The Current Status of Urban-Rural Differences in Psychiatric Disorder. An Emerging Trend for Depression. J. Nerv. Ment. Dis. 1981, 169, 18–27. [Google Scholar] [CrossRef] [PubMed]
- Tsang, H.W. Qigong as Alternative Therapy for Depression and Anxiety Disorders. Int. J. Ther. Rehabil. 2004, 11, 250. [Google Scholar] [CrossRef]
- Zhang, X.; Yan, H.; Yu, H.; Zhao, X.; Shah, S.; Dong, Z.; Yang, G.; Zhang, X.; Muse, T.; Li, J.; et al. Childhood urbanization affects prefrontal cortical responses to trait anxiety and interacts with polygenic risk for depression. bioRxiv 2019, 246876. [Google Scholar] [CrossRef]
- Yu, C.; Lee, H.; Lu, W.; Huang, Y.; Browning, M.H. Restorative Effects of Virtual Natural Settings on Middle-Aged and Elderly Adults. Urban For. Urban Green. 2020, 56, 126863. [Google Scholar] [CrossRef]
- Hartig, T.; Evans, G.W.; Jamner, L.D.; Davis, D.S. Sweden, Tracking Restoration in Natural and Urban Field Settings. J. Environ. Psychol. 2003, 23, 109–123. [Google Scholar] [CrossRef]
- Kaplan, S. The Restorative Benefits of Nature: Toward an Integrative Framework. J. Environ. Psychol. 1995, 15, 169–182. [Google Scholar] [CrossRef]
- Ojala, A.; Korpela, K.; Tyrväinen, L.; Tiittanen, P.; Lanki, T. Restorative Effects of Urban Green Environments and the Role of Urban-Nature Orientedness and Noise Sensitivity: A Field Experiment. Health Place 2019, 55, 59–70. [Google Scholar] [CrossRef] [PubMed]
- Yin, J.; Yuan, J.; Arfaei, N.; Catalano, P.J.; Allen, J.G.; Spengler, J.D. Effects of Biophilic Indoor Environment on Stress and Anxiety Recovery: A between-Subjects Experiment in Virtual Reality. Environ. Int. 2020, 136, 105427. [Google Scholar] [CrossRef] [PubMed]
- Kaplan, S.; Talbot, J.F. Psychological Benefits of a Wilderness Experience; Springer: Boston, MA, USA, 1983. [Google Scholar]
- Ulrich, R.S. Aesthetic and Affective Response to Natural Environment. In Behavior & the Natural Environment; Springer: Boston, MA, USA, 1983. [Google Scholar]
- Twedt, E.; Rainey, R.M.; Proffitt, D.R. Beyond Nature: The Roles of Visual Appeal and Individual Differences in Perceived Restorative Potential. J. Environ. Psychol. 2019, 65, 101322. [Google Scholar] [CrossRef]
- Zhao, H.; Wu, J.P. Study on the Theory and Evaluation of the Healing Environment. Chin. J. Health Psychol. 2010, 18, 117–121. [Google Scholar]
- Hartig, T.; Kaiser, F.G.; Bowler, P.A. Psychological Restoration in Nature as a Positive Motivation for Ecological Behavior. Environ. Behav. 2001, 33, 590–607. [Google Scholar] [CrossRef]
- Stevenson, M.P.; Theresa, S.; Peter, B. Attention Restoration Theory II: A Systematic Review to Clarify Attention Processes Affected by Exposure to Natural Environments. J. Toxicol. Environ. Health Part B 2018, 21, 227–268. [Google Scholar] [CrossRef] [PubMed]
- Staats, H.; Kieviet, A.; Hartig, T. Where to Recover from Attentional Fatigue: An Expectancy-Value Analysis of Environmental Preference. J. Environ. Psychol. 2003, 23, 147–157. [Google Scholar] [CrossRef]
- White, M.P.; Pahl, S.; Ashbullby, K.; Herbert, S.; Depledge, M.H. Feelings of Restoration from Recent Nature Visits. J. Environ. Psychol. 2013, 35, 40–51. [Google Scholar] [CrossRef]
- Bielinis, E.; Takayama, N.; Boiko, S.; Omelan, A.; Bielinis, L. The Effect of Winter Forest Bathing on Psychological Relaxation of Young Polish Adults. Urban For. Urban Green. 2018, 29, 276–283. [Google Scholar] [CrossRef]
- Bielinis, E.; Ukowski, A.; Omelan, A.; Boiko, S.; Grebner, D.L. The Effect of Recreation in a Snow-Covered Forest Environment on the Psychological Wellbeing of Young Adults: Randomized Controlled Study. Forests 2019, 10, 827. [Google Scholar] [CrossRef] [Green Version]
- Ann Atchley, R.; Strayer, D.L.; Atchley, P. Creativity in the Wild: Improving Creative Reasoning through Immersion in Natural Settings. PLoS ONE 2012, 7, e51474. [Google Scholar] [CrossRef]
- Bowler, D.E.; Buyung-Ali, L.M.; Knight, T.M.; Pullin, A.S. A Systematic Review of Evidence for the Added Benefits to Health of Exposure to Natural Environments. BMC Public Health 2010, 10, 456. [Google Scholar] [CrossRef] [Green Version]
- Ceylan, C.; Dul, J.; Aytac, S. Can the Office Environment Stimulate a Manager’s Creativity? Hum. Factors Ergon. Manuf. Serv. Ind. 2008, 18, 589–602. [Google Scholar] [CrossRef]
- Oppezzo, M.; Schwartz, D.L. Give Your Ideas Some Legs: The Positive Effect of Walking on Creative Thinking. J. Exp. Psychol. Learn. Mem. Cogn. 2014, 40, 1142. [Google Scholar] [CrossRef] [Green Version]
- Ryan, R.M.; Weinstein, N.; Bernstein, J.; Brown, K.W.; Mistretta, L.; Gagne, M. Vitalizing Effects of Being Outdoors and in Nature. J. Environ. Psychol. 2010, 30, 159–168. [Google Scholar] [CrossRef]
- Shibata, S.; Suzuki, N. Effects of an Indoor Plant on Creative Task Performance and Mood. Scand. J. Psychol. 2010, 45, 373–381. [Google Scholar] [CrossRef] [PubMed]
- Ahmad, H.; Jiang, T.; Guo, L.; Mingyan, J.; Liu, A.; Jiang, Z.; Liu, Z.; Chen, Q. Effects of Walking in Bamboo Forest and City Environments on Brainwave Activity in Young Adults. Evid. Based Complementary Altern. Med. 2018, 2018, 1–9. [Google Scholar]
- Gidlow, C.J.; Jones, M.V.; Hurst, G.; Masterson, D.; Clark-Carter, D.; Tarvainen, M.P.; Smith, G.; Nieuwenhuijsen, M. Where to Put Your Best Foot forward: Psycho-Physiological Responses to Walking in Natural and Urban Environments. J. Environ. Psychol. 2016, 45, 22–29. [Google Scholar] [CrossRef]
- Leong, L.Y.C.; Fischer, R.; McClure, J. Are Nature Lovers More Innovative? The Relationship between Connectedness with Nature and Cognitive Styles. J. Environ. Psychol. 2014, 40, 57–63. [Google Scholar] [CrossRef]
- Palanica, A.; Lyons, A.; Cooper, M.; Lee, A.; Fossat, Y. A Comparison of Nature and Urban Environments on Creative Thinking across Different Levels of Reality. J. Environ. Psychol. 2019, 63, 44–51. [Google Scholar] [CrossRef]
- Yu, C.S.; Hsieh, H. Beyond Restorative Benefits: Evaluating the Effect of Forest Therapy on Creativity. Urban For. Urban Green. 2020, 51, 126670. [Google Scholar] [CrossRef]
- Gregory, N.; Bratman, G.C.D.B. The Benefits of Nature Experience: Improved Affect and Cognition. Landsc. Urban Plan. 2015, 138, 41–50. [Google Scholar]
- Valtchanov, D.; Ellard, C.G. Cognitive and Affective Responses to Natural Scenes: Effects of Low Level Visual Properties on Preference, Cognitive Load and Eye-Movements. J. Environ. Psychol. 2015, 43, 184–195. [Google Scholar] [CrossRef]
- De Kort, Y.A.W.; Meijnders, A.L.; Sponselee, A.A.G.; Ijsselsteijn, W.A. What’s Wrong with Virtual Trees? Restoring from Stress in a Mediated Environment. J. Environ. Psychol. 2006, 26, 309–320. [Google Scholar] [CrossRef]
- van den Berg, A.E.; Koole, S.L.; van der Wulp, N.Y. Environmental preference and restoration: (How) are they related? J. Environ. Psychol. 2003, 23, 135–146. [Google Scholar] [CrossRef]
- Valtchanov, D. Physiological and Affective Responses to Immersion in Virtual Reality: Effects of Nature and Urban Settings. J. Cybertherapy Rehabil. 2010, 3, 359–373. [Google Scholar]
- Valtchanov, D.; Barton, K.R.; Ellard, C. Restorative Effects of Virtual Nature Settings. Cyberpsychol. Behav. Soc. Netw. 2010, 13, 503. [Google Scholar] [CrossRef]
- Brivio, E.; Serino, S.; Cousa, E.N.; Zini, A.; Leo, G.D. Virtual Reality and 360° Panorama Technology: A Media Comparison to Study Changes in Sense of Presence, Anxiety, and Positive Emotions. Virtual Real. 2020, 3, 303–311. [Google Scholar] [CrossRef]
- Chen, Z.; He, Y.; Yu, Y. Attention restoration during environmental exposure via alpha-theta oscillations and synchronization. J. Environ. Psychol. 2020, 68, 101406. [Google Scholar] [CrossRef]
- Grassini, S.; Revonsuo, A.; Castellotti, S.; Petrizzo, I.; Benedetti, V.; Koivisto, M. Processing of natural scenery is associated with lower attentional and cognitive load compared with urban ones. J. Environ. Psychol. 2019, 62, 1–11. [Google Scholar] [CrossRef]
- Foxe, J.; Snyder, A. The Role of Alpha-Band Brain Oscillations as a Sensory Suppression Mechanism during Selective Attention. Front. Psychol. 2011, 2, 154. [Google Scholar] [CrossRef] [Green Version]
- Chirico, A.; Maiorano, P.; Indovina, P.; Milanese, C.; Giordano, G.G.; Alivernini, F.; Iodice, G.; Gallo, L.; De Pietro, G.; Lucidi, F.; et al. Virtual reality and music therapy as distraction interventions to alleviate anxiety and improve mood states in breast cancer patients during chemotherapy. J. Cell. Physiol. 2019, 235, 5353–5362. [Google Scholar] [CrossRef]
- Riva, G.; Bernardelli, L.; Castelnuovo, G.; Di Lernia, D.; Tuena, C.; Clementi, A.; Pedroli, E.; Malighetti, C.; Sforza, F.; Wiederhold, B.; et al. A Virtual Reality-Based Self-Help Intervention for Dealing with the Psychological Distress Associated with the COVID-19 Lockdown: An Effectiveness Study with a Two-Week Follow-Up. Int. J. Environ. Res. Public Health 2021, 18, 8818. [Google Scholar] [CrossRef]
- Lindner, P.; Hamilton, W.; Miloff, A.; Carlbring, P. How to Treat Depression with LowIntensity Virtual Reality Interventions: Perspectives on Translating Cognitive Behavioral Techniques Into the Virtual Reality Modality and How to Make Anti-Depressive Use of Virtual Reality–Unique Exp. Front. Psychiatry 2019, 10, 792. [Google Scholar] [CrossRef] [Green Version]
- Ioannou, A.; Papastavrou, E.; Avraamides, M.N.; Charalambous, A. Virtual Reality and Symptoms Management of Anxiety, Depression, Fatigue, and Pain: A Systematic Review. SAGE Open Nurs. 2020, 6, 1–13. [Google Scholar] [CrossRef]
- Zeng, N.; Pope, Z.; Lee, J.E.; Gao, Z. Virtual Reality Exercise for Anxiety and Depression: A Preliminary Review of Current Research in an Emerging Field. J. Clin. Med. 2018, 7, 42. [Google Scholar] [CrossRef] [PubMed] [Green Version]
- Yu, C.; Lee, H.; Luo, X. The effect of virtual reality forest and urban environments on physiological and psychological responses. Urban For. Urban Green. 2018, 35, 106–114. [Google Scholar] [CrossRef]
- Chung, K.; Lee, D.; Park, J.Y. Involuntary Attention Restoration during Exposure to Mobile-Based 360° Virtual Nature in Healthy Adults with Different Levels of Restorative Experience: Event-Related Potential Study. J. Med Imternet Res. 2018, 20, 11152. [Google Scholar] [CrossRef]
- Mattila, O.; Korhonen, A.; Pöyry, E.; Hauru, K.; Holopainen, J.; Parvinen, P. Restoration in a Virtual Reality Forest Environment. Comput. Hum. Behav. 2020, 107, 106295. [Google Scholar] [CrossRef]
- Hartig, T.; Kaiser, F.G.; Bowler, P.A. Further Development of a Measure of Perceived Environmental Restorativeness; Institutet För Bostadsoch Urbanforskning: Uppsala, Sweden, 1997; Volume 23. [Google Scholar]
- Ye, L.H.; Wu, J.P. Development of the Recovery Environment Scale. Chin. J. Health Psychol. 2010, 18, 1515–1518. [Google Scholar]
- Chiang, Y.; Li, D.; Jane, H. Wild or Tended Nature? The Effects of Landscape Location and Vegetation Density on Physiological and Psychological Responses. Landsc. Urban Plan. 2017, 167, 72–83. [Google Scholar] [CrossRef]
- Tang, I.; Tsai, Y.; Lin, Y.; Chen, J.; Hsieh, C.; Hung, S.; Sullivan, W.C.; Tang, H.; Chang, C. Using Functional Magnetic Resonance Imaging (Fmri) to Analyze Brain Region Activity when Viewing Landscapes. Landsc. Urban Plan. 2017, 162, 137–144. [Google Scholar] [CrossRef]
- Russell, J.A.; Barrett, L.F. Core affect, prototypical emotional episodes, and other things called emotion: Dissecting the elephant. J. Personal. Soc. Psychol. 1999, 76, 805–819. [Google Scholar] [CrossRef]
- Shu, S.; Ma, H. Restorative Effects of Urban Park Soundscapes on Children’s Psychophysiological Stress. Appl. Acoust. 2020, 164, 107293. [Google Scholar] [CrossRef]
- Caponnetto, P.; Milazzo, M. Cyber Health Psychology: The Use of New Technologies at the Service of Psychological Well Being and Health Empowerment. Health Psychol. Res. 2019, 7, 8559. [Google Scholar] [CrossRef] [PubMed] [Green Version]
- Smit, E.; Meijers, M.; Laan, L. Using Virtual Reality to Stimulate Healthy and Environmentally Friendly Food Consumption among Children: An Interview Study. Int. J. Environ. Res. Public Health 2021, 18, 1088. [Google Scholar] [CrossRef]
- Chen, V.; Beas, V.; Engilman, R.; Nelson, M.; Gold, J. Using fMRI to Investigate the Neurobiological Basis of Virtual Reality Attenuation of Pain in Adolescents. J. Pain 2012, 13 (Suppl. S4), S50. [Google Scholar] [CrossRef]
- Cummings, J.J.; Bailenson, J.N. How Immersive Is Enough? A Meta-Analysis of the Effect of Immersive Technology on User Presence. Media Psychol. 2016, 19, 272–309. [Google Scholar] [CrossRef]
- Leemhuis, E.; Esposito, R.M.; Gennaro, L.D.; Pazzaglia, M. Go Virtual to Get Real: Virtual Reality as a Resource for Spinal Cord Treatment. Int. J. Environ. Res. Public Health 2021, 18, 1819. [Google Scholar] [CrossRef]
- Pelphrey, K.A.; Viola, R.J.; Mccarthy, G. When Strangers Pass: Processing of Mutual and Averted Social Gaze in the Superior Temporal Sulcus. Psychol. Sci. 2010, 15, 598–603. [Google Scholar] [CrossRef]
- Riva, G. Virtual Reality: An Experiential Tool for Clinical Psychology. Br. J. Guid. Couns. 2009, 37, 337–345. [Google Scholar] [CrossRef]
- Sauzéon, H.; Pala, P.A.; Larrue, F.; Wallet, G.; N’Kaoua, B. The Use of Virtual Reality for Episodic Memory Assessment: Effects of Active Navigation. Exp. Psychol. 2011, 59, 99. [Google Scholar] [CrossRef]
- White, M.P.; Yeo, N.; Vassiljev, P.; Lundstedt, R.; Lhmus, M. A Prescription for “Nature”—The Potential of Using Virtual Nature in Therapeutics. Neuropsychiatr. Dis. Treat. 2018, 14, 3001–3013. [Google Scholar] [CrossRef] [Green Version]
- Birenboim, A.; Bloom, B.N.; Levit, H.; Omer, I. The Study of Walking, Walkability and Wellbeing in Immersive Virtual Environments. Int. J. Environ. Res. Public Health 2021, 18, 364. [Google Scholar] [CrossRef]
- Guldager, J.; Kjær, S.; Lyk, P.; Dietrich, T.; Rundle-Thiele, S.; Majgaard, G.; Stock, C. User Experiences with a Virtual Alcohol Prevention Simulation for Danish Adolescents. Int. J. Environ. Res. Public Health 2020, 17, 6945. [Google Scholar] [CrossRef]
- Rutkowski, S.; Adamczyk, M.; Pastuła, A.; Gos, E.; Luque-Moreno, C.; Rutkowska, A. Training Using a Commercial Immersive Virtual Reality System on Hand–Eye Coordination and Reaction Time in Young Musicians: A Pilot Study. Int. J. Environ. Res. Public Health 2021, 18, 1297. [Google Scholar] [CrossRef] [PubMed]
- Browning, M.H.E.M.; Saeidi-Rizi, F.; Mcanirlin, O.; Yoon, H.; Yue, P. The Role of Methodological Choices in the Effects of Experimental Exposure to Simulated Natural Landscapes on Human Health and Cognitive Performance: A Systematic Review. Environ. Behav. 2020, 1, 82686744. [Google Scholar] [CrossRef]
- Formosa, N.J.; Morrison, B.W.; Hill, G.; Stone, D. Testing the Efficacy of a Virtual Reality-Based Simulation in Enhancing Users&Rsquo; Knowledge, Attitudes, and Empathy Relating to Psychosis. Aust. J. Psychol. 2017, 70, 57–65. [Google Scholar]
- Wout, M.V.; Spofford, C.M.; Unger, W.S.; Sevin, E.B.; Shea, M.T. Skin Conductance Reactivity to Standardized Virtual Reality Combat Scenes in Veterans with PTSD. Appl. Psychophysiol. Biofeedback 2017, 1, 1–13. [Google Scholar]
- Choe, E.Y.; Jorgensen, A.; Sheffield, D. Simulated Natural Environments Bolster the Effectiveness of a Mindfulness Programme: A Comparison with a Relaxation-Based Intervention. J. Environ. Psychol. 2020, 67, 101382. [Google Scholar] [CrossRef]
- Vincelli, F. From Imagination to Virtual Reality: The Future of Clinical Psychology. Cyberpsychology Behav. Impact Internet Multimed. Virtual Real. Behav. Soc. 1999, 2, 241–248. [Google Scholar] [CrossRef]
- Gerber, S.M.; Jeitziner, M.; Wyss, P.; Chesham, A.; Urwyler, P.; Müri, R.M.; Jakob, S.M.; Nef, T. Visuo-acoustic stimulation that helps you to relax: A virtual reality setup for patients in the intensive care unit. Sci. Rep. 2017, 7, 13228. [Google Scholar] [CrossRef] [Green Version]
- Coelho, T.; Marques, C.; Moreira, D.; Soares, M.; Portugal, P.; Marques, A.; Ferreira, A.R.; Martins, S.; Fernandes, L. Promoting Reminiscences with Virtual Reality Headsets: A Pilot Study with People with Dementia. Int. J. Environ. Res. Public Health 2020, 17, 9301. [Google Scholar] [CrossRef]
- Bisso, E.; Signorelli, M.S.; Milazzo, M.; Maglia, M.; Caponnetto, P. Immersive Virtual Reality Applications in Schizophrenia Spectrum Therapy: A Systematic Review. Int. J. Environ. Res. Public Health 2020, 17, 6111. [Google Scholar] [CrossRef]
- Yeo, N.; White, M.; Alcock, I.; Garside, R.; Dean, S.; Smalley, A.; Gatersleben, B. What is the best way of delivering virtual nature for improving mood? An experimental comparison of high definition TV, 360° video, and computer generated virtual reality. J. Environ. Psychol. 2020, 72, 101500. [Google Scholar] [CrossRef]
- Baran, P.K.; Tabrizian, P.; Zhai, Y.; Smith, J.W.; Floyd, M.F. An exploratory study of perceived safety in a neighborhood park using immersive virtual environments. Urban For. Urban Green. 2018, 35, 72–81. [Google Scholar] [CrossRef]
- Li, W.; Zhu, J.; Fu, L.; Zhu, Q.; Xie, Y.; Hu, Y. An augmented representation method of debris flow scenes to improve public perception. Int. J. Geogr. Inf. 2020, 1–24. [Google Scholar] [CrossRef]
- Smith, A.; Porter, J.J.; Upham, P. “We cannot let this happen again”: Reversing UK flood policy in response to the Somerset Levels floods, 2014. J. Environ. Plan. Manag. 2017, 60, 351–369. [Google Scholar] [CrossRef]
- Steuer, J. Defining Virtual Reality: Dimensions Determining Telepresence. J. Commun. 1992, 42, 73–93. [Google Scholar] [CrossRef]
- Ijsselsteijn, W.; Ridder, H.; Freeman, J.; Avons, S. Presence: Concept, determinants and measurement. In Proceedings of the SPIE—Human Vision and Electronic Imaging V, San Jose, CA, USA, 22–28 January 2000; Volume 3959, pp. 520–529. [Google Scholar]
- Triberti, S.; Villani, D.; Riva, G. Unconscious Goal Pursuit Primes Attitudes towards Technology Usage: A Virtual Reality Experiment. Comput. Hum. Behav. 2016, 64, 163–172. [Google Scholar] [CrossRef]
- Heater, C. Being There: The Subjective Experience of Presence. Presence 1992, 1, 262–271. [Google Scholar] [CrossRef]
- Lin, C.J.; Woldegiorgis, B.H. Interaction and Visual Performance in Stereoscopic Displays: A Review. J. Soc. Inf. Disp. 2015, 23, 319–332. [Google Scholar] [CrossRef]
- Shu, Y.; Huang, Y.; Chang, S.; Chen, M. Do Virtual Reality Head-Mounted Displays Make a Difference? A Comparison of Presence and Self-Efficacy between Head-Mounted Displays and Desktop Computer-Facilitated Virtual Environments. Virtual Real. 2019, 23, 437–446. [Google Scholar] [CrossRef]
- Sheridan, T. Musing on Telepresence and Virtual Presence. Presence Teleoperators Virtual Environ. 1992, 1, 120. [Google Scholar] [CrossRef]
- Mel; Slater Depth of Presence in Virtual Environments. Presence Teleoperators Virtual Environ. 1994, 3, 130–144. [CrossRef]
- Yildirim, I.G. Time Pressure as Video Game Design Element and Basic Need Satisfaction. In Proceedings of the 2016 CHI Conference Extended Abstracts, San Jose, CA, USA, 7 May 2016. [Google Scholar]
- Slater, M.; Usoh, M. Presence in immersive virtual environments. In Proceedings of the IEEE Virtual Reality Annual International Symposium, Seattle, WA, USA, 18–22 September 1993. [Google Scholar]
- Huang, M.P.; Alessi, N.E. Presence as an Emotional Experience. Stud. Health Technol. Inform. 1999, 62, 148–153. [Google Scholar] [PubMed]
- Draper, J.V.; Kaber, D.B.; Usher, J.M. Telepresence. Hum. Factors 1998, 40, 354–375. [Google Scholar] [CrossRef]
- Barfield, W.; Weghorst, S. The Sense of Presence within Virtual Environments: A Conceptual Framework. In Proceedings of the International Conference on Human-Computer Interaction: Software & Hardware Interfaces, Orlando, FL, USA, 8–13 August 1993. [Google Scholar]
- Ijsselsteijn, W.A.; Ridder, H.D.; Freeman, J.; Avons, S.E. Presence: Concept, Determinants, and Measurement. In Proceedings of the SPIE—The International Society for Optical Engineering, San Jose, CA, USA, 28 January 2000; Volume 3959, pp. 520–529. [Google Scholar]
- Wiederhold, B.K.; Davis, R.; Wiederhold, M.D. The effects of immersiveness on physiology. Stud. Health Technol. Inform. 1998, 58, 52. [Google Scholar]
- Salinas, D.G.; Guéron, S.; Ralph, D.C.; Black, C.T.; Tinkham, M. Effects of Spin-Orbit Interactions on Tunneling via Discrete Energy Levels in Metal Nanoparticles. Phys. Rev. 1999, 60, 6137. [Google Scholar] [CrossRef] [Green Version]
- Witmer, A.R.T.T.; Slater, M. Measuring Presence: A Response to the Witmer and Singer Presence Questionnaire. Presence Teleoperators Virtual Environ. 1999, 8, 560–565. [Google Scholar]
- Gorini, A.; Capideville, C.S.; Leo, G.D.; Mantovani, F.; Riva, G. The Role of Immersion and Narrative in Mediated Presence: The Virtual Hospital Experience. Cyberpsychol. Behav. Soc. Netw. 2011, 14, 99–105. [Google Scholar] [CrossRef]
- Bob, G.W.; Christian, J.J.; Michael, J.S. The Factor Structure of the Presence Questionnaire. Presence Teleoperators Virtual Environ. 2005, 14, 298–312. [Google Scholar]
- Schubert, T.; Friedmann, F.; Regenbrecht, H. Decomposing the sense of presence: Factor analytic insights. In Proceedings of the 2nd International Workshop on Presence, Colchester, UK, 6–7 April 1999. [Google Scholar]
- Maryam, M.; Yimin, Z. Application of Virtual Environments for Biophilic Design: A Critical Review. Buildings 2021, 11, 148. [Google Scholar]
- Schutte, N.S.; Bhullar, N.; Stilinović, E.J.; Richardson, K. The Impact of Virtual Environments on Restorativeness and Affect. Ecopsychology 2017, 9, 1–7. [Google Scholar] [CrossRef]
- Barnes, M.R.; Donahue, M.L.; Keeler, B.L.; Shorb, C.M.; Mohtadi, T.Z.; Shelby, L.J. Characterizing Nature and Participant Experience in Studies of Nature Exposure for Positive Mental Health: An Integrative Review. Front. Psychol. 2018, 9, 2617. [Google Scholar] [CrossRef] [PubMed] [Green Version]
- Litleskare, S.; Macintyre, T.; Calogiuri, G. Enable, Reconnect and Augment: A New ERA of Virtual Nature Research and Application. Int. J. Environ. Res. Public Health 2020, 17, 1738. [Google Scholar] [CrossRef] [PubMed] [Green Version]
- Annerstedt, M.; Jonsson, P.; Wallergard, M.; Johansson, G.; Karlson, B.; Grahn, P.; Hansen, A.M.; Wahrborg, P. Inducing Physiological Stress Recovery with Sounds of Nature in a Virtual Reality Forest—Results from a Pilot Study. Physiol. Behav. 2013, 118, 240–250. [Google Scholar] [CrossRef] [PubMed]
- Anderson, A.P.; Mayer, M.D.; Fellows, A.M.; Cowan, D.R.; Hegel, M.T.; Buckey, J.C. Relaxation with Immersive Natural Scenes Presented Using Virtual Reality. Aerosp. Med. Hum. Perform. 2017, 88, 520–526. [Google Scholar] [CrossRef]
- Herrero, R.; Garcia-Palacios, A.; Castilla, D.; Molinari, G.; Botella, C. Virtual Reality for the Induction of Positive Emotions in the Treatment of Fibromyalgia: A Pilot Study over Acceptability, Satisfaction, and the Effect of Virtual Reality on Mood. Cyberpsychol. Behav. Soc. Netw. 2014, 17, 379–384. [Google Scholar] [CrossRef] [Green Version]
- Bonke, B.; Smorenburg, J.M.J.; van der Ent, C.K.; Spielberger, C.D. Evidence of denial and item-intensity specificity in the state-trait anxiety inventory. Personal. Individ. Differ. 1987, 8, 185–191. [Google Scholar] [CrossRef]
- Zung, W.W. The Depression Status Inventory: An Adjunct to the Self-Rating Depression Scale. J. Clin. Psychol. 1972, 28, 539–543. [Google Scholar] [CrossRef]
- Huang, L.; Yang, T.Z.; Ji, Z.M. The Applicability of Positive and Negative Emotion Scale in Chinese Population. Chin. J. Ment. Health 2003, 1, 54–56. [Google Scholar]
- Wang, C. Evidences for Reliability and Validity of the Chinese Version of General SelfEfficacy Scale. Chin. J. Appl. Psychol. 2001, 1, 37–40. [Google Scholar]
- D’Errico, F.; Leone, G.; Schmid, M.; D’Anna, C. Prosocial Virtual Reality, Empathy, and EEG Measures: A Pilot Study Aimed at Monitoring Emotional Processes in Intergroup Helping Behaviors. Appl. Sci. 2020, 10, 1196. [Google Scholar] [CrossRef] [Green Version]
- Serrano, B.; Baños, R.M.; Botella, C. Virtual Reality and Stimulation of Touch and Smell for Inducing Relaxation: A Randomized Controlled Trial. Comput. Hum. Behav. 2016, 55, 1–8. [Google Scholar] [CrossRef] [Green Version]
- Flavián, C.; Ibáñez-Sánchez, S.; Orús, C. The Influence of Scent on Virtual Reality Experiences: The Role of Aroma-Content Congruence. J. Bus. Res. 2021, 123, 289–301. [Google Scholar] [CrossRef]
- Li, X.; Zhu, C.; Xu, C.; Zhu, J.; Li, Y.; Wu, S. VR Motion Sickness Recognition by Using EEG Rhythm Energy Ratio based on Wavelet Packet Transform. Comput. Methods Programs Biomed. 2020, 188, 105266. [Google Scholar] [CrossRef] [PubMed]
- Fulvio, J.M.; Ji, M.; Rokers, B. Variations in Visual Sensitivity Predict Motion Sickness in Virtual Reality. Entertain. Comput. 2021, 38, 100423. [Google Scholar] [CrossRef]
- Grahn, P.; Stigsdotter, U.K. The relation between perceived sensory dimensions of urban green space and stress restoration. Landsc. Urban Planning 2010, 94, 264–275. [Google Scholar] [CrossRef]
- Brid, S.; Erik, D.; Anna, S. Recovery in Sensory-Enriched Break Environments: Integrating Vision, Sound and Scent into Simulated Indoor and Outdoor Environments. Ergonomics 2019, 62, 521–536. [Google Scholar]
- Haga, A.; Halin, N.; Holmgren, M.; Sörqvist, P. Psychological Restoration Can Depend on Stimulus-Source Attribution: A Challenge for the Evolutionary Account? Front. Psychol. 2016, 7, 1831. [Google Scholar] [CrossRef] [PubMed] [Green Version]
- Eleanor, R.; Birgitta, G.; Paul, T.S. Bird Sounds and Their Contributions to Perceived Attention Restoration and Stress Recovery. J. Environ. Psychol. 2013, 36, 221–228. [Google Scholar]
- Servotte, J.; Goosse, M.; Campbell, S.H.; Dardenne, N.; Pilote, B.; Simoneau, I.L.; Guillaume, M.; Bragard, I.; Ghuysen, A. Virtual Reality Experience: Immersion, Sense of Presence, and Cybersickness. Clin. Simul. Nurs. 2020, 38, 35–43. [Google Scholar] [CrossRef] [Green Version]
- Weech, S.; Kenny, S.; Barnett-Cowan, M. Presence and Cybersickness in Virtual Reality Are Negatively Related: A Review. Front. Psychol. 2019, 10, 158. [Google Scholar] [CrossRef] [PubMed] [Green Version]
- Weibel, D.; Wissmath, B.; Mast, F.W. Immersion in Mediated Environments: The Role of Personality Traits. Cyberpsychol. Behav. Soc. Netw. 2010, 13, 251–256. [Google Scholar] [CrossRef] [PubMed] [Green Version]
- Namaky, N.; Beltzer, M.L.; Werntz, A.J.; Lambert, A.E.; Isaacowitz, D.M.; Teachman, B.A. Moderators of Age Effects on Attention Bias toward Threat and Its Association with Anxiety. J. Affect. Disord. 2017, 216, 46–57. [Google Scholar] [CrossRef]
- Cabrera, I.; Brugos, D.; Montorio, I. Attentional Biases in Older Adults with Generalized Anxiety Disorder. J. Anxiety Disord. 2020, 71, 102207. [Google Scholar] [CrossRef] [PubMed]
- Liu, C.X.; Huang, X.T. An Experimental Study on Attentional Bias of Trait Anxiety College Students. Psychol. Sci. 2008, 31, 1304–1307. [Google Scholar]
- Gao, P.; Huang, M. The Characteristics of Attentional Bias in High Anxiety Traits. Acta Psychol. Sin. 2008, 3, 307–318. [Google Scholar]
- Willans, T.; Rivers, S.; Prasolova-Førland, E. Enactive Emotion and Presence in Virtual Environments. In Emotions, Technology, and Behaviors; Tettegah, S.Y., Espelage, D.L., Eds.; Academic Press: San Diego, CA, USA, 2016; Chapter 10; pp. 181–210. [Google Scholar]
- Riva, G.; Waterworth, J.A.; Waterworth, E.L. The Layers of Presence: A Bio-Cultural Approach to Understanding Presence in Natural and Mediated Environments. Cyberpsychol. Behav. 2004, 7, 402–416. [Google Scholar] [CrossRef]
- Wilkie, S.; Stavridou, A. Influence of Environmental Preference and Environment Type Congruence on Judgments of Restoration Potential. Urban For. Urban Green. 2013, 12, 163–170. [Google Scholar] [CrossRef]
- Wang, X.; Zhu, H.; Shang, Z.; Chiang, Y. The Influence of Viewing Photos of Different Types of Rural Landscapes on Stress in Beijing. Sustainability 2019, 11, 2537. [Google Scholar] [CrossRef] [Green Version]
- Wang, X.; Shi, Y.; Zhang, B.; Chiang, Y. The Influence of Forest Resting Environments on Stress Using Virtual Reality. Int. J. Environ. Res. Public Health 2019, 16, 3263. [Google Scholar] [CrossRef] [PubMed] [Green Version]
- Ratcliffe, E.; Gatersleben, B.; Sowden, P.T. Associations with Bird Sounds: How Do They Relate to Perceived Restorative Potential? J. Environ. Psychol. 2016, 47, 136–144. [Google Scholar] [CrossRef]
- Qiu, M.; Sha, J.; Utomo, S. Listening to Forests: Comparing the Perceived Restorative Characteristics of Natural Soundscapes before and after the COVID-19 Pandemic. Sustainability 2021, 13, 293. [Google Scholar] [CrossRef]
- Giovanna, C.; Sigbj Rn, L.; Fagerheim, K.A.; Rydgren, T.L.; Elena, B.; Miranda, T. Experiencing Nature through Immersive Virtual Environments: Environmental Perceptions, Physical Engagement, and Affective Responses during a Simulated Nature Walk. Front. Psychol. 2017, 8, 2321. [Google Scholar]


















| Dependent Variables | Effect | Boot SE | Boot LLCT | Boot ULCI | Relative Effect | |
|---|---|---|---|---|---|---|
| Positive | Total Effect | 0.1045 | 0.0241 | 0.0000 | 0.0569 | |
| Direct Effect of Presence | 0.0604 | 0.0260 | 0.0217 | 0.0090 | 57.80% | |
| Mediating Effect of Presence | 0.0441 | 0.0150 | 0.0169 | 0.0748 | 42.20% | |
| Negative | Total Effect | −0.0124 | 0.0318 | 0.6966 | −0.0753 | |
| Direct Effect of Presence | 0.0325 | 0.0350 | 0.3554 | −0.0368 | 41.99% | |
| Mediating Effect of Presence | −0.0449 | 0.0200 | −0.0881 | −0.0108 | −58.01% | |
| Self-efficacy | Total Effect | 0.0485 | 0.0216 | 0.0263 | 0.0058 | |
| Direct Effect of Presence | 0.0208 | 0.0239 | 0.3855 | −0.0265 | 42.89% | |
| Mediating Effect of Presence | 0.0277 | 0.0154 | 0.0004 | 0.0611 | 57.11% |
| Environment | Pre–Post | df | t | p |
|---|---|---|---|---|
| Env1 | positive0–positive1 | 28 | 0.657 | 0.517 |
| negative0–negative1 | 4.633 *** | 0.000 | ||
| self-efficacy0–self-efficacy1 | −2.036 | 0.051 | ||
| Env2 | positive0–positive1 | 23 | 0.207 | 0.838 |
| negative0–negative1 | 2.802 * | 0.010 | ||
| self-efficacy0–self-efficacy1 | −3.268 ** | 0.003 | ||
| Env3 | positive0–positive1 | 29 | 2.315 * | 0.028 |
| negative0–negative1 | 3.397 ** | 0.002 | ||
| self-efficacy0–self-efficacy1 | −0.975 | 0.337 | ||
| Env4 | positive0–positive1 | 30 | 1.707 | 0.098 |
| negative0–negative1 | 3.770 ** | 0.001 | ||
| self-efficacy0–self-efficacy1 | −3.875 ** | 0.001 | ||
| Env5 | positive0–positive1 | 31 | 1.707 | 0.098 |
| negative0–negative1 | 3.770 ** | 0.001 | ||
| self-efficacy0–self-efficacy1 | −2.112 | 0.043 |
Publisher’s Note: MDPI stays neutral with regard to jurisdictional claims in published maps and institutional affiliations. |
© 2021 by the authors. Licensee MDPI, Basel, Switzerland. This article is an open access article distributed under the terms and conditions of the Creative Commons Attribution (CC BY) license (https://creativecommons.org/licenses/by/4.0/).
Share and Cite
Li, H.; Dong, W.; Wang, Z.; Chen, N.; Wu, J.; Wang, G.; Jiang, T. Effect of a Virtual Reality-Based Restorative Environment on the Emotional and Cognitive Recovery of Individuals with Mild-to-Moderate Anxiety and Depression. Int. J. Environ. Res. Public Health 2021, 18, 9053. https://doi.org/10.3390/ijerph18179053
Li H, Dong W, Wang Z, Chen N, Wu J, Wang G, Jiang T. Effect of a Virtual Reality-Based Restorative Environment on the Emotional and Cognitive Recovery of Individuals with Mild-to-Moderate Anxiety and Depression. International Journal of Environmental Research and Public Health. 2021; 18(17):9053. https://doi.org/10.3390/ijerph18179053
Chicago/Turabian StyleLi, Hongqidi, Wenyi Dong, Zhimeng Wang, Nuo Chen, Jianping Wu, Guangxin Wang, and Ting Jiang. 2021. "Effect of a Virtual Reality-Based Restorative Environment on the Emotional and Cognitive Recovery of Individuals with Mild-to-Moderate Anxiety and Depression" International Journal of Environmental Research and Public Health 18, no. 17: 9053. https://doi.org/10.3390/ijerph18179053
APA StyleLi, H., Dong, W., Wang, Z., Chen, N., Wu, J., Wang, G., & Jiang, T. (2021). Effect of a Virtual Reality-Based Restorative Environment on the Emotional and Cognitive Recovery of Individuals with Mild-to-Moderate Anxiety and Depression. International Journal of Environmental Research and Public Health, 18(17), 9053. https://doi.org/10.3390/ijerph18179053

