Using Multilevel Regression and Poststratification to Estimate Physical Activity Levels from Health Surveys
Abstract
1. Introduction
2. Materials and Methods
2.1. Data
2.2. Data Analysis
2.2.1. Multilevel and Poststratification
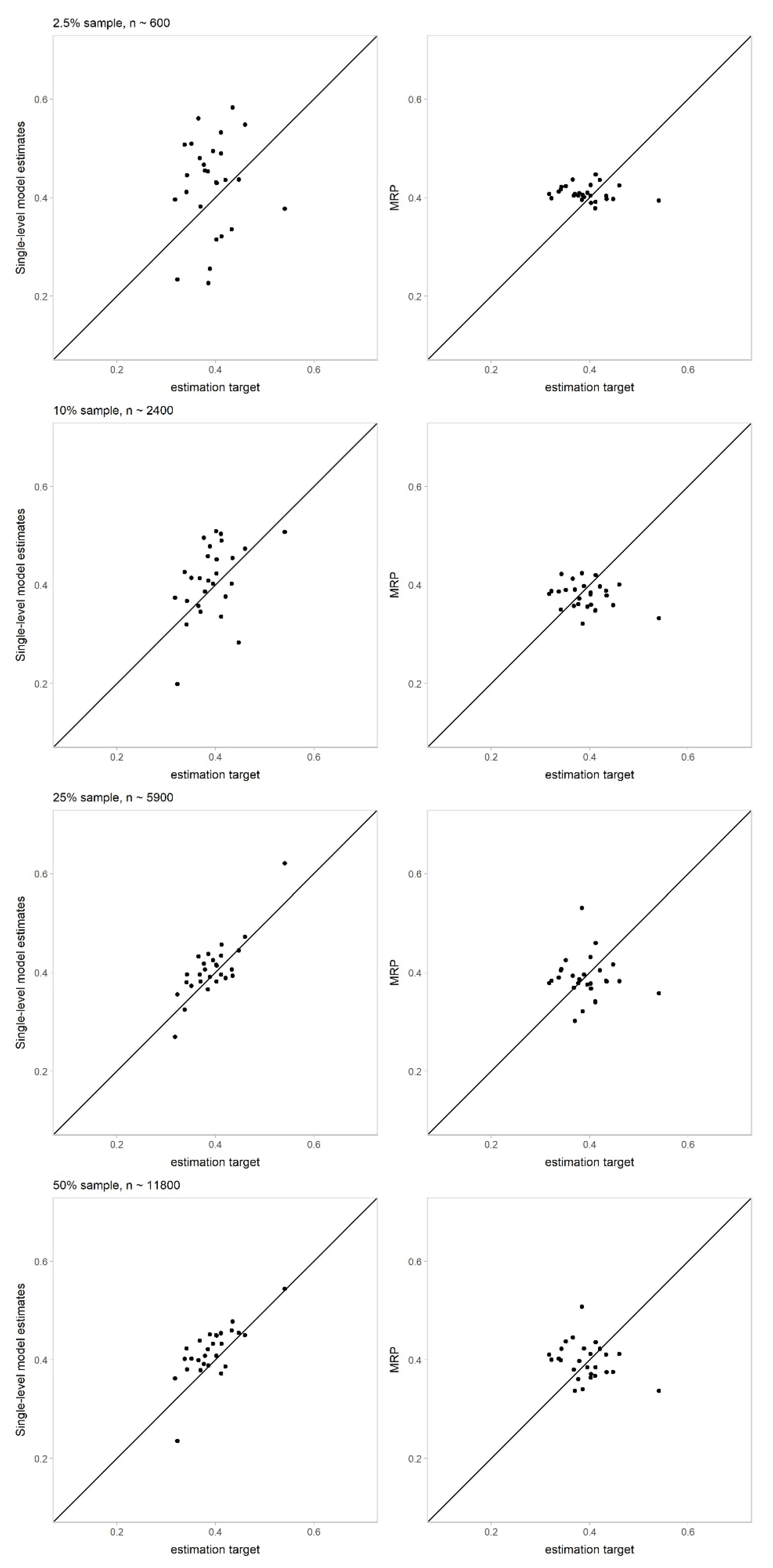
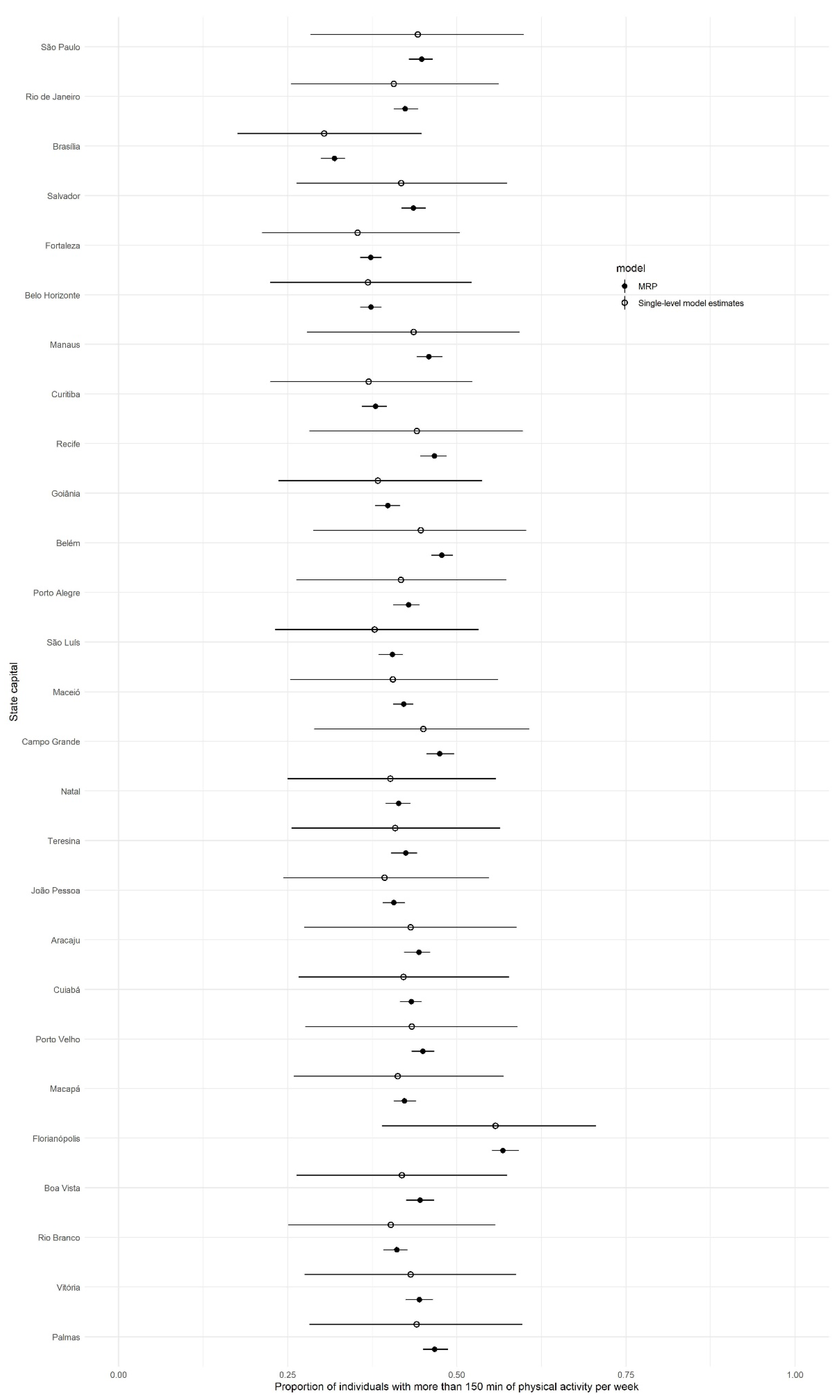
2.2.2. Comparing MRP and Single-Level Regression Models
3. Results
4. Discussion
5. Conclusions
Author Contributions
Funding
Institutional Review Board Statement
Informed Consent Statement
Data Availability Statement
Conflicts of Interest
References
- Holtermann, A.; Krause, N.; van der Beek, A.J.; Straker, L. The physical activity paradox: Six reasons why occupational physical activity (OPA) does not confer the cardiovascular health benefits that leisure time physical activity does. Br. J. Sports Med. 2018, 52, 149–150. [Google Scholar] [CrossRef] [PubMed]
- Bull, F.C.; Al-Ansari, S.S.; Biddle, S.; Borodulin, K.; Buman, M.P.; Cardon, G.; Carty, C.; Chaput, J.-P.; Chastin, S.; Chou, R.; et al. World Health Organization 2020 guidelines on physical activity and sedentary behaviour. Br. J. Sports Med. 2020, 54, 1451. [Google Scholar] [CrossRef]
- World Health Organization. Global Status Report on Noncommunicable Diseases 2010; World Health Organization: Geneva, Switzerland, 2014. [Google Scholar]
- King, A.C.; Blair, S.N.; Bild, D.E.; Dishman, R.K.; Dubbert, P.M.; Marcus, B.H.; Oldridge, N.B.; Paffenbarger, R.S., Jr.; Powell, K.E.; Yeager, K.K. Determinants of physical activity and interventions in adults. Med. Sci. Sports Exerc. 1992, 24, S221–S236. [Google Scholar] [CrossRef] [PubMed]
- Notthoff, N.; Reisch, P.; Gerstorf, D. Individual Characteristics and Physical Activity in Older Adults: A Systematic Review. Gerontology 2017, 63, 443–459. [Google Scholar] [CrossRef] [PubMed]
- Leemann, L.; Wasserfallen, F. Measuring Attitudes—Multilevel Modeling with Post-Stratification (MrP). In The SAGE Handbook of Research Methods in Political Science and International Relations, 1st ed.; Curini, L., Franzese, R., Eds.; SAGE: Los Angeles, CA, USA, 2020; pp. 371–384. [Google Scholar]
- McElreath, R. Statistical Rethinking: A Bayesian Course with Examples in R and Stan; Chapman & Hall/CRC Press: Boca Raton, FL, USA, 2015; p. xvii. 469p. [Google Scholar]
- Hanretty, C.; Lauderdale, B.E.; Vivyan, N. Comparing Strategies for Estimating Constituency Opinion from National Survey Samples. Political Sci. Res. Methods 2018, 6, 571–591. [Google Scholar] [CrossRef]
- Verswijveren, S.J.J.M.; Lamb, K.E.; Martín-Fernández, J.A.; Winkler, E.; Leech, R.M.; Timperio, A.; Salmon, J.; Daly, R.M.; Cerin, E.; Dunstan, D.W.; et al. Using compositional data analysis to explore accumulation of sedentary behavior, physical activity and youth health. J. Sport Health Sci. 2021. [Google Scholar] [CrossRef]
- Ekelund, U.; Anderssen, S.A.; Froberg, K.; Sardinha, L.B.; Andersen, L.B.; Brage, S. Independent associations of physical activity and cardiorespiratory fitness with metabolic risk factors in children: The European youth heart study. Diabetologia 2007, 50. [Google Scholar] [CrossRef] [PubMed]
- Andersen, L.B.; Harro, M.; Sardinha, L.B.; Froberg, K.; Ekelund, U.; Brage, S.; Anderssen, S.A. Physical activity and clustered cardiovascular risk in children: A cross-sectional study (The European Youth Heart Study). Lancet 2006, 368. [Google Scholar] [CrossRef]
- Riddoch, C.J.; Bo Andersen, L.; Wedderkopp, N.; Harro, M.; Klasson-Heggebø, L.; Sardinha, L.B.; Cooper, A.R.; Ekelund, U. Physical activity levels and patterns of 9- and 15-yr-old European children. Med. Sci. Sports Exerc. 2004, 36, 86–92. [Google Scholar] [CrossRef]
- Steene-Johannessen, J.; Hansen, B.H.; Dalene, K.E.; Kolle, E.; Northstone, K.; Møller, N.C.; Grøntved, A.; Wedderkopp, N.; Kriemler, S.; Page, A.S.; et al. Variations in accelerometry measured physical activity and sedentary time across Europe—harmonized analyses of 47,497 children and adolescents. Int. J. Behav. Nutr. Phys. Act. 2020, 17, 38. [Google Scholar] [CrossRef] [PubMed]
- Júdice, P.B.; Magalhães, J.P.; Rosa, G.B.; Henriques-Neto, D.; Hetherington-Rauth, M.; Sardinha, L.B. Sensor-based physical activity, sedentary time, and reported cell phone screen time: A hierarchy of correlates in youth. J. Sport Health Sci. 2020. [Google Scholar] [CrossRef]
- Bai, Y.; Chen, S.; Laurson, K.R.; Kim, Y.; Saint-Maurice, P.F.; Welk, G.J. The Associations of Youth Physical Activity and Screen Time with Fatness and Fitness: The 2012 NHANES National Youth Fitness Survey. PLoS ONE 2016, 11, e0148038. [Google Scholar] [CrossRef]
- Laurson, K.R.; Lee, J.A.; Eisenmann, J.C. The cumulative impact of physical activity, sleep duration, and television time on adolescent obesity: 2011 Youth Risk Behavior Survey. J. Phys. Act. Health 2015, 12, 355–360. [Google Scholar] [CrossRef]
- Park, D.K.; Gelman, A.; Bafumi, J. Bayesian Multilevel Estimation with Poststratification: State-Level Estimates from National Polls. Political Anal. 2004, 12, 375–385. [Google Scholar] [CrossRef]
- Gelman, A.; Little, T.C. Poststratification into many categories using hierarchical logistic regression. Surv. Methodol. 1997, 23, 127–135. [Google Scholar]
- Lax, J.R.; Phillips, J.H. How Should We Estimate Public Opinion in The States? Am. J. Political Sci. 2009, 53, 107–121. [Google Scholar] [CrossRef]
- Ghitza, Y.; Gelman, A. Deep Interactions with MRP: Election Turnout and Voting Patterns Among Small Electoral Subgroups. Am. J. Political Sci. 2013, 57, 762–776. [Google Scholar] [CrossRef]
- Warshaw, C.; Rodden, J. How Should We Measure District-Level Public Opinion on Individual Issues? J. Politics 2012, 74, 203–219. [Google Scholar] [CrossRef]
- Barrington-Leigh, C.; Millard-Ball, A. The world’s user-generated road map is more than 80% complete. PLoS ONE 2017, 12, e0180698. [Google Scholar] [CrossRef] [PubMed]
- Downes, M.; Gurrin, L.C.; English, D.R.; Pirkis, J.; Currier, D.; Spittal, M.J.; Carlin, J.B. Multilevel Regression and Poststratification: A Modeling Approach to Estimating Population Quantities from Highly Selected Survey Samples. Am. J. Epidemiol. 2018, 187, 1780–1790. [Google Scholar] [CrossRef]
- Eke, P.I.; Zhang, X.; Lu, H.; Wei, L.; Thornton-Evans, G.; Greenlund, K.J.; Holt, J.B.; Croft, J.B. Predicting Periodontitis at State and Local Levels in the United States. J. Dent. Res. 2016, 95, 515–522. [Google Scholar] [CrossRef]
- Vander Heyden, J.; Demarest, S.; Van Herck, K.; DeBacquer, D.; Tafforeau, J.; Van Oyen, H. Association between variables used in the field substitution and post-stratification adjustment in the Belgian health interview survey and non-response. Int. J. Public Health 2014, 59, 197–206. [Google Scholar] [CrossRef]
- Zhang, X.; Holt, J.B.; Yun, S.; Lu, H.; Greenlund, K.J.; Croft, J.B. Validation of multilevel regression and poststratification methodology for small area estimation of health indicators from the behavioral risk factor surveillance system. Am. J. Epidemiol. 2015, 182, 127–137. [Google Scholar] [CrossRef]
- Gelman, A.; Hill, J. Data Analysis Using Regression and Multilevel/Hierarchical Models; Cambridge University Press: Cambridge, UK, 2007. [Google Scholar]
- Szwarcwald, C.L.; Malta, D.C.; Pereira, C.A.; Vieira, M.L.F.P.; Conde, W.L.; Souza Júnior, P.R.B.d.; Damacena, G.N.; Azevedo, L.O.; Azevedo e Silva, G.; Theme Filha, M.M.; et al. Pesquisa Nacional de Saúde no Brasil: Concepção e metodología de aplicação. Ciência Saúde Coletiva 2014, 19, 333–342. [Google Scholar] [CrossRef] [PubMed]
- Oliveira, M.M.; Campos, M.O.; Andreazzi, M.A.R.; Malta, D.C. Characteristics of the National Adolescent School-based Health Survey—PeNSE, Brazil. Epidemiol. Serv. Saude 2017, 26, 605–616. [Google Scholar] [CrossRef] [PubMed]
- Moura, E.C.; Morais Neto, O.L.d.; Malta, D.C.; Moura, L.d.; Silva, N.N.d.; Bernal, R.; Claro, R.M.; Monteiro, C.A. Vigilância de Fatores de Risco para Doenças Crônicas por Inquérito Telefônico nas capitais dos 26 estados brasileiros e no Distrito Federal (2006). Rev. Bras. Epidemiol. 2008, 11, 20–37. [Google Scholar] [CrossRef]
- Christofoletti, M.; Duca, G.F.D.; Umpierre, D.; Malta, D.C. Chronic noncommunicable diseases multimorbidity and its association with physical activity and television time in a representative Brazilian population. Cad. Saúde Pública 2019, 35, e00016319. [Google Scholar] [CrossRef] [PubMed]
- Soares, M.M.; Maia, E.G.; Claro, R.M. Availability of public open space and the practice of leisure-time physical activity among the Brazilian adult population. Int. J. Public Health 2020, 65, 1467–1476. [Google Scholar] [CrossRef]
- Silva, R.M.A.; Andrade, A.C.S.; Caiaffa, W.T.; Medeiros, D.S.; Bezerra, V.M. National Adolescent School-based Health Survey—PeNSE 2015: Sedentary behavior and its correlates. PLoS ONE 2020, 15, e0228373. [Google Scholar] [CrossRef] [PubMed]
- Matias, T.S.; Lopes, M.V.V.; de Mello, G.T.; Silva, K.S. Clustering of obesogenic behaviors and association with body image among Brazilian adolescents in the national school-based health survey (PeNSE 2015). Prev. Med. Rep. 2019, 16, 101000. [Google Scholar] [CrossRef] [PubMed]
- Ministério da Saúde Brasil. Vigitel Brasil 2018: Vigilância de Fatores de Risco e Proteção Para Doenças Crônicas por Inquérito Telefônico; Ministério da Saúde: Brasília, Brazil, 2019. [Google Scholar]
- Gelman, A.; Carlin, J.B.; Stern, H.S.; Dunson, D.B.; Vehtari, A.; Rubin, D.B. Bayesian Data Analysis, 3rd ed.; Chapman & Hall/CRC Press: Boca Raton, FL, USA, 2013. [Google Scholar]
- Carpenter, B.; Gelman, A.; Hoffman, M.D.; Lee, D.; Goodrich, B.; Betancourt, M.; Brubaker, M.; Guo, J.; Li, P.; Riddell, A. Stan: A Probabilistic Programming Language. J. Stat. Softw. 2017, 76, 32. [Google Scholar] [CrossRef]
- R Core Team. R: A Language and Environment for Statistical Computing; R Foundation for Statistical Computing: Vienna, Austria, 2018. Available online: https://www.R-project.org/ (accessed on 3 February 2021).
- Diez-Roux, A.V. Bringing context back into epidemiology: Variables and fallacies in multilevel analysis. Am. J. Public Health 1998, 88, 216–222. [Google Scholar] [CrossRef]
- Greenland, S. Ecologic versus individual-level sources of bias in ecologic estimates of contextual health effects. Int. J. Epidemiol. 2001, 30, 1343–1350. [Google Scholar] [CrossRef]
- Pacheco, J. Using National Surveys to Measure Dynamic U.S. State Public Opinion: A Guideline for Scholars and an Application. State Politics Policy Q. 2011, 11, 415–439. [Google Scholar] [CrossRef]
- Buttice, M.K.; Highton, B. How Does Multilevel Regression and Poststratification Perform with Conventional National Surveys? Political Anal. 2013, 21, 449–467. [Google Scholar] [CrossRef]
- Evaristo, S.; Moreira, C.; Santos, R.; Lopes, L.; Abreu, S.; Agostinis-Sobrinho, C.; Oliveira-Santos, J.; Mota, J. Associations between health-related quality of life and body mass index in Portuguese adolescents: LabMed physical activity study. Int. J. Adolesc. Med. Health 2019, 31. [Google Scholar] [CrossRef] [PubMed]
- Syväoja, H.J.; Kantomaa, M.T.; Ahonen, T.; Hakonen, H.; Kankaanpää, A.; Tammelin, T.H. Physical Activity, Sedentary Behavior, and Academic Performance in Finnish Children. Med. Sci. Sports Exerc. 2013, 45, 2098–2104. [Google Scholar] [CrossRef]
- Bernal, R.T.I.; Malta, D.C.; Claro, R.M.; Monteiro, C.A. Effect of the inclusion of mobile phone interviews to Vigitel. Rev. Saude Publica 2017, 51, 15s. [Google Scholar] [CrossRef] [PubMed][Green Version]
- Stopa, S.R.; Szwarcwald, C.L.; Oliveira, M.M.d.; Gouvea, E.d.C.D.P.; Vieira, M.L.F.P.; Freitas, M.P.S.d.; Sardinha, L.M.V.; Macário, E.M. National Health Survey 2019: History, methods and perspectives. Epidemiol. Serviços Saúde 2020, 29, e2020315. [Google Scholar] [CrossRef]
- Atlas do Desenvolvimento Humano. Atlas do Desenvolvimento Humano: Ranking. Available online: http://www.atlasbrasil.org.br/2013/pt/ranking/ (accessed on 3 February 2021).
- Brasil. Portaria nº2.681: Redefine o Programa Academia da Saúde no âmbito do Sistema Único de Saúde (SUS); Ministry of Health: Brasília, DF. 2013. Available online: https://bvsms.saude.gov.br/bvs/saudelegis/gm/2013/prt2681_07_11_2013.html (accessed on 3 February 2021).
- Day, K. Physical Environment Correlates of Physical Activity in Developing Countries: A Review. J. Phys. Act. Health 2018, 15, 303. [Google Scholar] [CrossRef]
- Werneck, A.O.; Baldew, S.-S.; Miranda, J.J.; Díaz Arnesto, O.; Stubbs, B.; Silva, D.R.; South American Physical Activity; Sedentary Behavior Network collaborators. Physical activity and sedentary behavior patterns and sociodemographic correlates in 116,982 adults from six South American countries: The South American physical activity and sedentary behavior network (SAPASEN). Int. J. Behav. Nutr. Phys. Act. 2019, 16, 68. [Google Scholar] [CrossRef] [PubMed]
- Brown, W.J.; Mielke, G.I.; Kolbe-Alexander, T.L. Gender equality in sport for improved public health. Lancet 2016, 388, 1257–1258. [Google Scholar] [CrossRef]
- Tomás, M.T.; Galán-Mercant, A.; Carnero, E.A.; Fernandes, B. Functional Capacity and Levels of Physical Activity in Aging: A 3-Year Follow-up. Front. Med. 2018, 4. [Google Scholar] [CrossRef] [PubMed]





| Variable | Total Sample (%) n =51,015 | Insufficient Time in PA 1 (%) n = 31,917 | Sufficient Time in PA 1 (%) n = 19,098 |
|---|---|---|---|
| Gender | |||
| Male | 15,500 (36.3) | 10,243 (32.1) | 8257 (43.2) |
| Female | 32,515 (63.7) | 21,674 (67.9) | 10,841 (56.8) |
| Age, years | |||
| 20 to 29 | 5999 (11.8) | 2989 (9.3) | 3010 (15.5) |
| 30 to 39 | 6710 (13.1) | 3773 (11.7) | 2937 (15.1) |
| 40 to 49 | 7767 (15.2) | 4680 (15.5) | 3087 (15.9) |
| 50 to 59 | 9974 (19.5) | 6140 (19.0) | 3834 (19.7) |
| 60 to 69 | 10,589 (20.8) | 6853 (21.3) | 3736 (19.2) |
| ≥70 | 10,673 (20.9) | 7807 (24.2) | 3529 (14.7) |
| State | |||
| Acre | 1731 (3.4) | 1006 (3.2) | 725 (3.8) |
| Alagoas | 1996 (3.9) | 1294 (4.1) | 702 (3.7) |
| Amapá | 1340 (2.6) | 771 (2.4) | 569 (3.0) |
| Amazonas | 1577 (3.1) | 1009 (3.2) | 568 (3.0) |
| Bahia | 1969 (3.9) | 1347 (4.2) | 622 (3.3) |
| Ceará | 1949 (3.8) | 1253 (3.9) | 696 (3.6) |
| Distrito Federal | 1857 (3.6) | 900 (2.8) | 957 (5.0) |
| Espírito Santo | 1998 (3.9) | 1218 (3.8) | 780 (4.1) |
| Goiás | 1981 (3.9) | 1264 (4.0) | 717 (3.8) |
| Maranhão | 1951 (3.8) | 1190 (3.7) | 760 (4.0) |
| Mato Grosso | 1970 (3.9) | 1210 (3.8) | 761 (4.0) |
| Mato Grosso do Sul | 1985 (3.9) | 1297 (4.1) | 688 (3.6) |
| Minas Gerais | 1934 (3.8) | 1209 (3.8) | 725 (3.8) |
| Paraíba | 1982 (3.9) | 1284 (4.0) | 698 (6.7) |
| Paraná | 2022 (4.0) | 1286 (4.0) | 736 (3.9) |
| Pará | 1986 (3.6) | 1334 (4.2) | 733 (3.8) |
| Pernambuco | 1983 (3.9) | 1334 (4.2) | 649 (3.4) |
| Piauí | 1935 (3.8) | 1199 (3.8) | 736 (3.9) |
| Rio Grande do Norte | 1957 (3.8) | 1219 (3.8) | 738 (3.9) |
| Rio Grande do Sul | 2025 (4.0) | 1370 (4.3) | 655 (3.4) |
| Rio de Janeiro | 1981 (3.9) | 1363 (4.3) | 618 (3.2) |
| Rondônia | 1752 (3.4) | 1008 (3.2) | 744 (3.9) |
| Roraima | 1557 (3.1) | 922 (2.9) | 635 (3.3) |
| Santa Catarina | 1918 (3.8) | 1200 (3.8) | 718 (3.8) |
| Sergipe | 1945 (3.8) | 1167 (3.7) | 778 (4.1) |
| São Paulo | 1951 (3.8) | 1190 (3.7) | 534 (2.8) |
| Tocantins | 1941 (3.8) | 1401 (4.4) | 856 (4.5) |
Publisher’s Note: MDPI stays neutral with regard to jurisdictional claims in published maps and institutional affiliations. |
© 2021 by the authors. Licensee MDPI, Basel, Switzerland. This article is an open access article distributed under the terms and conditions of the Creative Commons Attribution (CC BY) license (https://creativecommons.org/licenses/by/4.0/).
Share and Cite
Christofoletti, M.; Benedetti, T.R.B.; Mendes, F.G.; Carvalho, H.M. Using Multilevel Regression and Poststratification to Estimate Physical Activity Levels from Health Surveys. Int. J. Environ. Res. Public Health 2021, 18, 7477. https://doi.org/10.3390/ijerph18147477
Christofoletti M, Benedetti TRB, Mendes FG, Carvalho HM. Using Multilevel Regression and Poststratification to Estimate Physical Activity Levels from Health Surveys. International Journal of Environmental Research and Public Health. 2021; 18(14):7477. https://doi.org/10.3390/ijerph18147477
Chicago/Turabian StyleChristofoletti, Marina, Tânia R. B. Benedetti, Felipe G. Mendes, and Humberto M. Carvalho. 2021. "Using Multilevel Regression and Poststratification to Estimate Physical Activity Levels from Health Surveys" International Journal of Environmental Research and Public Health 18, no. 14: 7477. https://doi.org/10.3390/ijerph18147477
APA StyleChristofoletti, M., Benedetti, T. R. B., Mendes, F. G., & Carvalho, H. M. (2021). Using Multilevel Regression and Poststratification to Estimate Physical Activity Levels from Health Surveys. International Journal of Environmental Research and Public Health, 18(14), 7477. https://doi.org/10.3390/ijerph18147477

