Effects of Time-Restricted Feeding on Supramaximal Exercise Performance and Body Composition: A Randomized and Counterbalanced Crossover Study in Healthy Men
Abstract
:1. Background
2. Methodology
2.1. Participants
2.2. Experimental Design
2.3. Wingate Anaerobic Test
2.4. Total Work Output
2.5. Body Composition
2.6. Dietary Intake and Protocols
2.7. Statistical Analysis
3. Results
3.1. Impact of TRF after One Week of Intervention
3.2. Impact of TRF after Four Weeks of Intervention
4. Discussion
5. Conclusions
Author Contributions
Funding
Institutional Review Board Statement
Informed Consent Statement
Data Availability Statement
Conflicts of Interest
Abbreviations
| CR | Caloric restriction |
| DXA | Dual-energy X-ray absorptiometry |
| Etot | Total energy demand |
| Ek | Exercise |
| FFM | Fat-free mass |
| FM | Fat mass |
| IF | Intermittent fasting |
| TRF | Time-restricted feeding |
| WnT | Wingate |
| Wtot | Total work output |
References
- Anton, S.D.; Moehl, K.; Donahoo, W.T.; Marosi, K.; Lee, S.A.; Mainous, A.G., III; Leeuwenburgh, C.; Mattson, M.P. Flipping the Metabolic Switch: Understanding and Applying the Health Benefits of Fasting. Obesity (Silver Spring) 2018, 26, 254–268. [Google Scholar] [CrossRef]
- Longo, V.D.; Mattson, M.P. Fasting: Molecular Mechanisms and Clinical Applications. Cell Metab. 2014, 19, 181–192. [Google Scholar] [CrossRef] [Green Version]
- Moro, T.; Tinsley, G.; Bianco, A.; Marcolin, G.; Pacelli, Q.F.; Battaglia, G.; Palma, A.; Gentil, P.; Neri, M.; Paoli, A. Effects of Eight Weeks of Time-Restricted Feeding (16/8) on Basal Metabolism, Maximal Strength, Body Composition, Inflammation, and Cardiovascular Risk Factors in Resistance-Trained Males. J. Trans. Med. 2016, 14, 290. [Google Scholar] [CrossRef] [PubMed]
- Headland, M.L.; Clifton, P.M.; Keogh, J.B. Impact of Intermittent vs. Continuous Energy Restriction on Weight and Cardiometabolic Factors: A 12-month follow-up. Int. J. Obes. 2020, 44, 1236–1242. [Google Scholar] [CrossRef] [PubMed]
- Tinsley, G.; Forsse, J.S.; Butler, N.K.; Paoli, A.; Bane, A.A.; La Bounty, P.M.; Morgan, G.B.; Grandjean, P.W. Time-Restricted Feeding in Young Men Performing Resistance training: A Randomized Controlled Trial. Eur. J. Sport Sci. 2017, 17, 200–207. [Google Scholar] [CrossRef] [PubMed]
- Chaix, A.; Zarrinpar, A.; Miu, P.; Panda, S. Time-Restricted Feeding Is a Preventative and Therapeutic Intervention against Diverse Nutritional Challenges. Cell Metab. 2014, 20, 991–1005. [Google Scholar] [CrossRef] [PubMed] [Green Version]
- Mettler, S.; Mitchell, N.; Tipton, K.D. Increased Protein Intake Reduces Lean Body Mass Loss during Weight Loss in Athletes. Med. Sci. Sports Exerc. 2010, 42, 326–337. [Google Scholar] [CrossRef]
- Zouhal, H.; Saeidi, A.; Salhi, A.; Li, H.; Essop, M.F.; Laher, I.; Rhibi, F.; Amani-Shalamzari, S.; Abderrahman, A.B. Exercise Training and Fasting: Current Insights. Open Access J. Sports Med. 2020, 11, 1–28. [Google Scholar] [CrossRef] [Green Version]
- Granier, P.; Mercier, B.; Mercier, J.; Anselme, F.; Préfaut, C. Aerobic and Anaerobic Contribution to Wingate Test Performance in Sprint and Middle-Distance Runners. Graefe’s Arch. Clin. Exp. Ophthalmol. 1995, 70, 58–65. [Google Scholar] [CrossRef] [PubMed]
- Bar-Or, O. The Wingate Anaerobic Test. An Update on Methodology, Reliability and Validity. Sports Med. 1987, 4, 381–394. [Google Scholar] [CrossRef]
- Souissi, N.; Bessot, N.; Chamari, K.; Gauthier, A.; Sesboüé, B.; Davenne, D. Effect of Time of Day on Aerobic Contribution to the 30-s Wingate Test Performance. Chrono- Int. 2007, 24, 739–748. [Google Scholar] [CrossRef] [PubMed]
- Ferguson, L.M.; Rossi, K.A.; Ward, E.; Jadwin, E.; Miller, T.A.; Miller, W.C. Effects of Caloric Restriction and Overnight Fasting on Cycling Endurance Performance. J. Strength Cond. Res. 2009, 23, 560–570. [Google Scholar] [CrossRef]
- Van Ingen Schenau, G.J.; Jacobs, R.; De Koning, J.J. Can Cycle Power Predict Sprint Running Performance? Eur. J. Appl. Physiol. Occup. Physiol. 1991, 63, 255–260. [Google Scholar] [CrossRef] [PubMed]
- Yoshida, T.; Udo, M.; Iwai, K.; Chida, M.; Ichioka, M.; Nakadomo, F.; Yamaguchi, T. Significance of the contribution of aerobic and anaerobic components to several distance running performances in female athletes. Eur. J. Appl. Physiol. Occup. Physiol. 1990, 60, 249–253. [Google Scholar] [CrossRef] [PubMed]
- Naharudin, M.N.B.; Yusof, A. The Effect of 10 days of Intermittent Fasting on Wingate Anaerobic Power and Prolonged High-Intensity Time-To-Exhaustion Cycling Performance. Eur. J. Sport Sci. 2018, 18, 667–676. [Google Scholar] [CrossRef]
- Chtourou, H.; Hammouda, O.; Chaouachi, A.; Chamari, K.; Souissi, N. The Effect of Time-Of-Day and Ramadan Fasting on Anaerobic Performances. Int. J. Sports Med. 2012, 33, 142–147. [Google Scholar] [CrossRef]
- Mattson, M.P.; Longo, V.D.; Harvie, M. Impact of intermittent Fasting on Health and Disease Processes. Ageing Res. Rev. 2017, 39, 46–58. [Google Scholar] [CrossRef]
- Varady, K. Intermittent Versus Daily Calorie Restriction: Which Diet Regimen Is More Effective For Weight Loss? Obes. Rev. 2011, 12, e593–e601. [Google Scholar] [CrossRef] [PubMed]
- Correia, J.M.; Santos, I.; Pezarat-Correia, P.; Minderico, C.; Mendonca, G.V. Effects of Intermittent Fasting on Specific Exercise Performance Outcomes: A Systematic Review Including Meta-Analysis. Nutrients 2020, 12, 1390. [Google Scholar] [CrossRef]
- Whelton, P.K.; Carey, R.M.; Aronow, W.S.; Casey, D.E.; Collins, K.J., Jr.; Dennison Himmelfarb, C.; DePalma, S.M.; Gidding, S.; Jamerson, K.A.; Jones, D.W.; et al. 2017 ACC/AHA/AAPA/ABC/ACPM/AGS/APhA/ASH/ASPC/NMA/PCNA Guideline for the Prevention, Detection, Evaluation, and Management of High Blood Pressure in Adults: A Report of the American College of Cardiology/American Heart Association Task Force on Clinical Practice Guidelines. J. Am. Coll. Cardiol. 2018, 71, e127–e248. [Google Scholar]
- Scott, N.W.; McPherson, G.C.; Ramsay, C.R.; Campbell, M.K. The Method of Minimization for Allocation to Clinical Trials. Control. Clin. Trials 2002, 23, 662–674. [Google Scholar] [CrossRef]
- Hutchison, A.T.; Regmi, P.; Manoogian, E.N.; Fleischer, J.G.; Wittert, G.A.; Panda, S.; Heilbronn, L.K. Time-Restricted Feeding Improves Glucose Tolerance in Men At Risk for Type 2 diabetes: A randomized crossover trial. Obesity 2019, 27, 724–732. [Google Scholar] [CrossRef]
- Mendonca, G.V.; Heffernan, K.S.; Rossow, L.; Guerra, M.; Pereira, F.M.D.C.D.; Fernhall, B. Sex Differences in Linear and Nonlinear Heart Rate Variability during Early Recovery from Supramaximal Exercise. Appl. Physiol. Nutr. Metab. 2010, 35, 439–446. [Google Scholar] [CrossRef]
- Goulopoulou, S.; Heffernan, K.S.; Fernhall, B.; Yates, G.; Baxter-Jones, A.D.G.; Unnithan, V.B. Heart Rate Variability during Recovery from a Wingate Test in Adolescent Males. Med. Sci. Sports Exerc. 2006, 38, 875–881. [Google Scholar] [CrossRef]
- Inbar, O.; Bar-Or, O.; Skinner, J. The Wingate Anaerobic Test; Hum Kinet: Champaign, IL, USA, 1996. [Google Scholar]
- Ozkaya, O.; Balci, G.A.; As, H.; Vardarli, E. The Test-Retest Reliability of New Generation Power Indices of Wingate All-Out Test. Sports 2018, 6, 31. [Google Scholar] [CrossRef] [Green Version]
- Santos, D.; Dawson, J.A.; Matias, C.N.; Rocha, P.; Minderico, C.S.; Allison, D.; Sardinha, L.; Silva, A.M. Reference Values for Body Composition and Anthropometric Measurements in Athletes. PLoS ONE 2014, 9, e97846. [Google Scholar] [CrossRef] [Green Version]
- Chaouachi, A.; Leiper, J.B.; Souissi, N.; Coutts, A.J.; Chamari, K.; Anis, C.; Nizar, S.; Karim, C. Effects of Ramadan Intermittent Fasting on Sports Performance and Training: A Review. Int. J. Sports Physiol. Perform. 2009, 4, 419–434. [Google Scholar] [CrossRef] [PubMed] [Green Version]
- Van Proeyen, K.; Szlufcik, K.; Nielens, H.; Ramaekers, M.; Hespel, P. Beneficial Metabolic Adaptations Due to Endurance Exercise Training in the Fasted State. J. Appl. Physiol. 2011, 110, 236–245. [Google Scholar] [CrossRef] [Green Version]
- Chaouachi, A.; Leiper, J.B.; Chtourou, H.; Aziz, A.R.; Chamari, K. The Effects of Ramadan Intermittent Fasting on Athletic Performance: Recommendations for the Maintenance of Physical Fitness. J. Sports Sci. 2012, 30 (Suppl. 1), S53–S73. [Google Scholar] [CrossRef] [PubMed]
- Van Proeyen, K.; Szlufcik, K.; Nielens, H.; Pelgrim, K.; Deldicque, L.; Hesselink, M.; Van Veldhoven, P.P.; Hespel, P. Training in the Fasted State Improves Glucose tolerance during Fat-Rich Diet. J. Physiol. 2010, 588, 4289–4302. [Google Scholar] [CrossRef] [PubMed]
- Gaitanos, G.C.; Williams, C.; Boobis, L.H.; Brooks, S. Human muscle metabolism during intermittent maximal exercise. J. Appl. Physiol. 1993, 75, 712–719. [Google Scholar] [CrossRef] [Green Version]
- Bellar, D.; Hatchett, A.; Judge, L.W.; Breaux, M.E.; Marcus, L. The Relationship of Aerobic Capacity, Anaerobic Peak Power and Experience to Performance in CrossFit exercise. Biol. Sport 2015, 32, 315–320. [Google Scholar] [CrossRef]
- Hatchett, A.; Allen, C.; Armstrong, K.; Hughes, B. The Relationship between Anaerobic Power Output and Race Performance during Marathon Canoe and Kayak Competition. Int J Sports Exerc. Med. 2019, 5, 140. [Google Scholar]
- Di Prampero, P.E.; Capelli, C.; Pagliaro, P.; Antonutto, G.; Girardis, M.; Zamparo, P.; Soule, R.G. Energetics of Best Performances in Middle-Distance Running. J. Appl. Physiol. 1993, 74, 2318–2324. [Google Scholar] [CrossRef] [PubMed]
- Thompson, M.A. Physiological and Biomechanical Mechanisms of Distance Specific Human Running Performance. Integr. Comp. Biol. 2017, 57, 293–300. [Google Scholar] [CrossRef] [PubMed]
- Guerra, B.; Guadalupe-Grau, A.; Fuentes, T.; Ponce-González, J.G.; Morales-Alamo, D.; Olmedillas, H.; Guillen, J.; Santana, A.; Calbet, J.A.L. SIRT1, AMP-activated protein kinase phosphorylation and downstream kinases in response to a single bout of sprint exercise: Influence of glucose ingestion. Graefe’s Arch. Clin. Exp. Ophthalmol. 2010, 109, 731–743. [Google Scholar] [CrossRef]
- Heilbronn, L.K.; Smith, S.R.; Martin, C.K.; Anton, S.D.; Ravussin, E. Alternate-Day Fasting in Nonobese Subjects: Effects on Body Weight, Body Composition, and Energy Metabolism. Am. J. Clin. Nutr. 2005, 81, 69–73. [Google Scholar] [CrossRef]
- Stote, K.S.; Baer, D.J.; Spears, K.; Paul, D.R.; Harris, G.K.; Rumpler, W.V.; Strycula, P.; Najjar, S.S.; Ferrucci, L.; Ingram, D.K.; et al. A controlled trial of reduced meal frequency without caloric restriction in healthy, normal-weight, middle-aged adults. Am. J. Clin. Nutr. 2007, 85, 981–988. [Google Scholar] [CrossRef] [PubMed]
- Tinsley, G.M.; Moore, M.; Graybeal, A.; Paoli, A.; Kim, Y.; Gonzales, J.U.; Harry, J.R.; VanDusseldorp, T.A.; Kennedy, D.N.; Cruz, M.R. Time-restricted feeding plus resistance training in active females: A randomized trial. Am. J. Clin. Nutr. 2019, 110, 628–640. [Google Scholar] [CrossRef] [Green Version]
- Anta, R.M.O.; Pérez-Rodrigo, C.; López-Sobaler, A.M. Dietary assessment methods: Dietary records. Nutr. Hosp. 2015, 31. [Google Scholar] [CrossRef]


| Variables | Before TRF | Before Non-TRF | p Value |
|---|---|---|---|
| Energy intake (kcal) | 2655.7 ± 773.5 (2164.3–3147.2) | 2576.7 ± 711.4 (2125.7–3028.7) | 0.75 |
| Carbohydrate (%) | 45.9 ± 6.9 (41.5–50.2) | 45.0 ± 4.5 (42.1–47.8) | 0.73 |
| Fat (%) | 31.9 ± 4.8 (28.8–34.8) | 31.3 ± 5.3 (27.8–34.6) | 0.74 |
| Protein (%) | 20.3 ± 4.1 (17.7–22.8) | 22.7 ± 3.0 (20.8–24.6) | 0.10 |
| Variables | Pre-TRF | Post-1 Week TRF | p Value |
|---|---|---|---|
| Body composition | |||
| Body mass | 73.6 ± 9.5 (67.5–79.5) | 73.5 ± 9.2 (67.6–79.4) | 0.79 |
| Fat mass (kg) | 11.4 ± 4.2 (8.8–14.1) | 11.5 ± 4.3 (8.8–14.2) | 0.57 |
| Fat mass (%) | 15.5 ± 3.9 (12.9–18.0) | 15.6 ± 4.0 (13.0–18.2) | 0.68 |
| Fat-free mass (kg) | 61.0 ± 6.1 (57.1–54.9) | 60.9 ± 6.2 (57.0–64.9) | 0.81 |
| Wingate performance | |||
| P. power (W) | 744.7 ± 154.9 (646.2–843.1) | 734.0 ± 132.4 (649.9–818.1) | 0.55 |
| P. power (W/kg) | 10.1 ± 1.6 (9.1–11.1) | 10.0 ± 0.98 (9.3–10.5) | 0.59 |
| M. power (W) | 563.2 ± 101.9 (498.4–627.9) | 572.3 ± 90.2 (514.9–629.5) | 0.30 |
| M. power (W/kg) | 7.6 ± 0.9 (7.0–8.3) | 7.7 ± 0.7 (7.3–8.2) | 0.27 |
| F. index (%) | 52.8 ± 7.4 (48.1–57.5) | 51.2 ± 6.9 (46.8–55.5) | 0.66 |
| TRF | Non-TRF | |||
|---|---|---|---|---|
| Before | 30 days after | Before | 30 days after | |
| Body composition | ||||
| Body mass | 73.6 ± 9.5 (67.5–79.5) | 73.4 ± 9.3 (67.5–79.3) | 73.5 ± 9.5 (67.5–79.5) | 73.6 ± 9.5 (67.5–79.6) |
| Fat mass (kg) | 11.4 ± 4.2 (8.8–14.1) | 10.9 ± 3.9 (8.4–13.5) | 11.6 ± 3.9 (9.1–14.1) | 11.1 ± 3.9 (8.6–13.6) |
| Fat mass (%) | 15.5 ± 3.9 (12.9–18.0) | 14.8 ± 3.7 (12.4–17.2) | 15.8 ± 3.5 (13.5–17.9) | 15.1 ± 3.6 (12.7–17.4) |
| Fat-free mass (kg) * | 61.0 ± 6.1 (57.1–54.9) | 61.5 ± 6.3 (57.5–65.5) | 60.8 ± 6.5 (56.7–64.9) | 61.4 ± 6.6 (57.2–65.6) |
| Wingate performance | ||||
| P. power (W) | 744.7 ± 154.9 (646.2–843.1) | 742.5 ± 140.1 (653.5–831.5) | 779.2 ± 143.8 (687.8–870.5) | 761.1 ± 139.4 (672.5–849.6) |
| P. power (W/kg) | 10.1 ± 1.6 (9.1–11.1) | 10.1 ± 1.0 (9.4–10.7) | 10.6 ± 1.3 (9.8–11.3) | 10.3 ± 1.0 (9.6–10.9) |
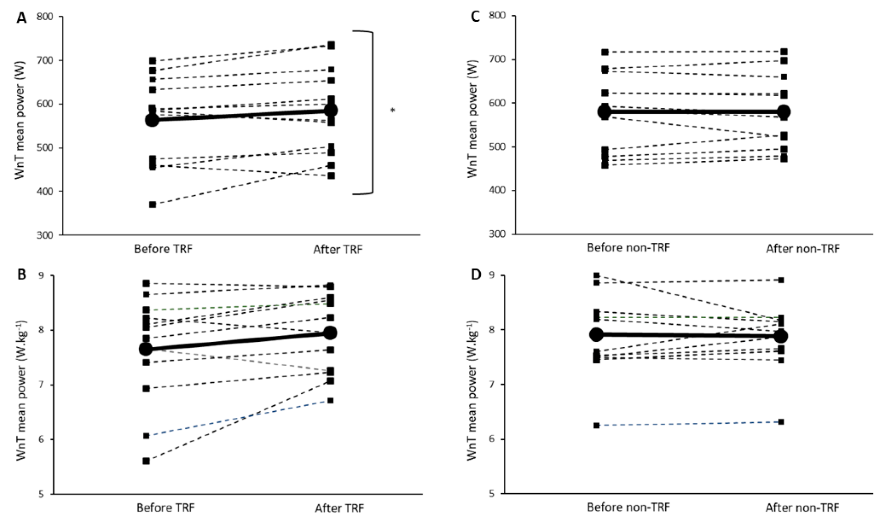
| M. power (W) # | 563.2 ± 101.9 (498.4–627.9) | 584.9 ± 101.8 (520.2–649.6) | 579.5 ± 88.4 (523.3–635.7) | 579.4 ± 83.8 (526.1–632.6) |
| M. power (W/kg) | 7.6 ± 0.9 (7.0–8.3) | 7.9 ± 0.7 (7.5–8.4) | 7.9 ± 0.8 (7.4–8.3) | 7.8 ± 0.6 (7.4–8.2) |
| F. index (%) | 52.8 ± 7.4 (48.1–57.5) | 52.4 ± 12.1 (44.7–60.1) | 54.3 ± 10.5 (47.6–60.9) | 51.4 ± 5.9 (47.5–55.1) |
| T. work (J) # | 16895.7 ± 3058.7 (14952.3–18839.0) | 17547.5 ± 3056.0 (15605.7–19489.2) | 17386.7 ± 2652.2 (15701.6–19071.9) | 17382.1 ± 2513.2 (15785.2–18978.8) |
Publisher’s Note: MDPI stays neutral with regard to jurisdictional claims in published maps and institutional affiliations. |
© 2021 by the authors. Licensee MDPI, Basel, Switzerland. This article is an open access article distributed under the terms and conditions of the Creative Commons Attribution (CC BY) license (https://creativecommons.org/licenses/by/4.0/).
Share and Cite
Correia, J.M.; Santos, I.; Pezarat-Correia, P.; Minderico, C.; Schoenfeld, B.J.; Mendonca, G.V. Effects of Time-Restricted Feeding on Supramaximal Exercise Performance and Body Composition: A Randomized and Counterbalanced Crossover Study in Healthy Men. Int. J. Environ. Res. Public Health 2021, 18, 7227. https://doi.org/10.3390/ijerph18147227
Correia JM, Santos I, Pezarat-Correia P, Minderico C, Schoenfeld BJ, Mendonca GV. Effects of Time-Restricted Feeding on Supramaximal Exercise Performance and Body Composition: A Randomized and Counterbalanced Crossover Study in Healthy Men. International Journal of Environmental Research and Public Health. 2021; 18(14):7227. https://doi.org/10.3390/ijerph18147227
Chicago/Turabian StyleCorreia, Joana M., Inês Santos, Pedro Pezarat-Correia, Cláudia Minderico, Brad J. Schoenfeld, and Goncalo V. Mendonca. 2021. "Effects of Time-Restricted Feeding on Supramaximal Exercise Performance and Body Composition: A Randomized and Counterbalanced Crossover Study in Healthy Men" International Journal of Environmental Research and Public Health 18, no. 14: 7227. https://doi.org/10.3390/ijerph18147227
APA StyleCorreia, J. M., Santos, I., Pezarat-Correia, P., Minderico, C., Schoenfeld, B. J., & Mendonca, G. V. (2021). Effects of Time-Restricted Feeding on Supramaximal Exercise Performance and Body Composition: A Randomized and Counterbalanced Crossover Study in Healthy Men. International Journal of Environmental Research and Public Health, 18(14), 7227. https://doi.org/10.3390/ijerph18147227

