The MATES Case Management Model: Presenting Problems and Referral Pathways for a Novel Peer-Led Approach to Addressing Suicide in the Construction Industry
Abstract
:1. Introduction
2. Materials and Methods
2.1. Routinely Collected Administrative Data
2.2. Exit Survey
2.3. Analysis
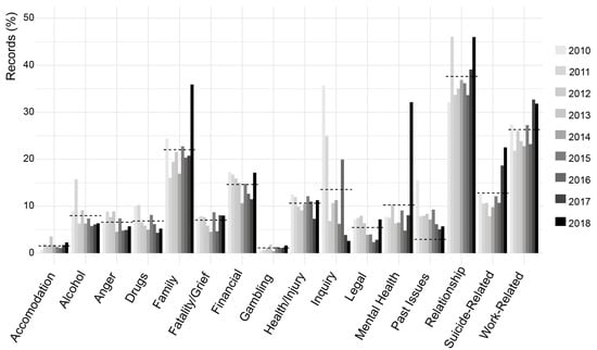
3. Results
3.1. Demographic Characteristics
3.2. Occupation
3.3. Presenting Concerns
3.4. Pathways to MATES Case Management Services
3.5. Services Clients Were Referred to by MATES
3.6. Number of Case Notes
3.7. Exit Surveys
“Mates was great at keeping in contact and checking in with me to make sure I was ok, while I was going up and down with my emotions and situation and making sure I stayed positive and could see a way forward.”“Great support and engagement by mates, keeping me honest, checking in weekly around mental wellbeing due to my separation. Connected me into counselling and separation support services that really helped lower my mental strain and suicidal thoughts.”“So thankful for the support …. as well as contacting me lots to check in and make sure that I was going ok.”“Mates was really easy to engage and supported me to move through separation as well as checking in with me consistently to make sure I was ok.”
4. Discussion
5. Limitations
6. Conclusions
Supplementary Materials
Author Contributions
Funding
Institutional Review Board Statement
Informed Consent Statement
Data Availability Statement
Acknowledgments
Conflicts of Interest
References
- Martin, G.; Swannell, S.; Milner, A.; Gullestrup, J. Mates in construction suicide prevention program: A five year review. J. Community Med. Health Educ. 2016, 6, 1–8. [Google Scholar] [CrossRef] [Green Version]
- Milner, A.; Maheen, H.; Currier, D. Male suicide among construction workers in Australia: A qualitative analysis of the major stressors precipitating death. BMC Public Health 2017, 17. [Google Scholar] [CrossRef] [PubMed] [Green Version]
- Milner, A.; Niven, H.; LaMontagne, A. Suicide by occupational skill level in the Australian construction industry: Data from 2001 to 2010. ANZJPH 2014, 38, 281–285. [Google Scholar] [CrossRef] [PubMed]
- Milner, A.; Spittal, M.J.; Pirkis, J.; LaMontagne, A. Suicide by occupation: Systematic review and meta-analysis. Br. J. Psychiatry 2013, 203, 409–416. [Google Scholar] [CrossRef] [PubMed]
- Slade, T.; Johnston, A.; Teesson, M.; Whiteford, H.; Burgess, P.; Pirkis, J.; Saw, S. The Mental Health of Australians 2; Report on the 2007 National Survey of Mental Health and Wellbeing; Department of Health and Ageing: Canberra, Australia, 2009. [Google Scholar]
- Addis, M.E.; Mahalik, J.R. Men, masculinity, and the contexts of help seeking. Am. Psychol. 2003, 58, 5–14. [Google Scholar] [CrossRef] [PubMed] [Green Version]
- Berger, J.M.; Levant, R.; McMillan, K.K.; Kelleher, W.; Sellers, A. Impact of gender role conflict, traditional masculinity ideology, alexithymia, and age on men’s attitudes toward psychological help seeking. Psychol. Men Masc. 2005, 6, 73–78. [Google Scholar] [CrossRef]
- Shannon, G. Mates Helping Mates: A History of MATES in Construction Queensland (2008–2018); MATES in Construction: Brisbane, Australia, 2018; Available online: https://mates.org.au/media/documents/MATES-Helping-Mates.pdf (accessed on 27 November 2020).
- Department of Health and Ageing. Living Is for Everyone (LIFE) Framework; Commonwealth of Australia: Canberra, Australia, 2007; Available online: https://apo.org.au/sites/default/files/resource-files/2007-12/apo-nid256.pdf (accessed on 27 November 2020).
- Mrazek, P.J.; Hagerty, R.J. Reducing the Risks for Mental Health Disorders: Frontiers for Preventive Intervention Research; National Academy Press Institute of Medicine: Washington, DC, USA, 1994. [Google Scholar]
- King, T.; Gullestrup, J.; Batterham, P.; Kelly, B.; Lockwood, C.; Lingard, H.; Harvey, S.B.; LaMontagne, A.D.; Milner, A. Shifting beliefs about suicide: Pre-post evaluation of the effectiveness of a program for workers in the construction industry. Int. J. Environ. Res. Public Health 2018, 15, 2106. [Google Scholar] [CrossRef] [Green Version]
- King, T.; Batterham, P.; Lingard, H.; Gullestrup, J.; Kelly, B.; Lockwood, C.; Harvey, S.B.; LaMontagne, A.D.; Milner, A. Are young men getting the message? Age differences in suicide prevention literacy among male construction workers. Int. J. Environ. Res. Public Health 2019, 16, 475. [Google Scholar] [CrossRef] [Green Version]
- Ross, V.; Caton, N.; Gullestrup, J.; Kõlves, K. Understanding the barriers and pathways to male help-seeking and help-offering: A mixed methods study of the impact of the Mates in Construction program. Int. J. Environ. Res. Public Health 2019, 16, 2979. [Google Scholar] [CrossRef] [Green Version]
- Ross, V.; Caton, N.; Gullestrup, J.; Kõlves, K. A longitudinal assessment of two suicide prevention training programs for the construction industry. Int. J. Environ. Res. Public Health 2020, 17, 803. [Google Scholar] [CrossRef] [PubMed] [Green Version]
- Ross, V.L. A Qualitative Evaluation of the Effectiveness of the Mates in Construction Program; Australian Institute for Suicide Research and Prevention: Brisbane, Australia, 2017; Available online: https://mates.org.au/media/documents/MIC-evaluation-report_AISRAP_23-July-2018-1.pdf (accessed on 1 May 2021).
- Doran, C.; Ling, R.; Gullestrup, J.; Swannell, S.; Milner, A. The impact of a suicide prevention strategy on reducing the economic cost of suicide in the New South Wales construction industry. Crisis 2016, 37, 121–129. [Google Scholar] [CrossRef]
- Doran, C.M.; Ling, R.; Milner, A.; Kinchin, I. The economic cost of suicide and non-fatal suicidal behaviour in the Australian construction industry. Int. J. Ment. Health Psychiatry 2016, 2. [Google Scholar] [CrossRef]
- Kinchin, I.; Doran, C.M. The economic cost of suicide and non-fatal suicide behavior in the Australian workforce and the potential impact of a workplace suicide prevention strategy. Int. J. Environ. Res. Public Health 2017, 14, 347. [Google Scholar] [CrossRef] [PubMed] [Green Version]
- De Leo, D.; Heller, T. Intensive case management in suicide attempters following discharge from inpatient psychiatric care. Aust. J. Prim. Health 2007, 13, 49–58. [Google Scholar] [CrossRef]
- Kim, H.; Park, J.; Kweon, K.; Ahn, J. Short-And long-term effects of case management on suicide prevention among individuals with previous suicide attempts: A survival analysis. J. Korean Med. Sci. 2018, 33, e203. [Google Scholar] [CrossRef]
- Petersen, J.J.; Hartig, J.; Paulitsch, M.A.; Pagitz, M.; Mergenthal, K.; Rauck, S.; Reif, A.; Gerlach, F.M.; Gensichen, J. Classes of depression symptom trajectories in patients with major depression receiving a collaborative care intervention. PLoS ONE 2018, 13, e0202245. [Google Scholar] [CrossRef]
- Shin, H.; Park, G.; In, Y.; Kim, S.; Kim, H.; Lee, S. The effects of case management program completion on suicide risk among suicide attempters: A 5-year observational study. Am. J. Emerg. Med. 2019, 37, 1811–1817. [Google Scholar] [CrossRef]
- Wang, L.-J.; Wu, Y.-W.; Chen, C.-K. Is case management effective for long-lasting suicide prevention? A community cohort study in Northern Taiwan. Crisis 2015, 36, 194–201. [Google Scholar] [CrossRef]
- Miller, I.; Carmargo, C.; Arlas, S.; Sullivan, A.; Allen, M.; Goldstein, A.; Manton, A.P.; Espinola, J.A.; Jones, R.; Hasegawa, K.; et al. Suicide prevention in an emergency department population: The ED-SAFE study. JAMA Psychiatry 2017, 74, 563–570. [Google Scholar] [CrossRef] [Green Version]
- Fernandez-Artamendi, S.; Al-Halabi, S.; Buron, P.; Rodriguez-Revuelta, J.; Garrido, M.; Gonzalez-Blanco, L.; García-Álvarez, L.; García-Portilla, P.; Sáiz, P.; Bobes, J. Prevention of recurrent suicidal behavior: Case management psychoeducation. Psicothema 2019, 31, 107–113. [Google Scholar] [CrossRef] [PubMed]
- Furuno, T.; Nakagawa, M.; Hino, K.; Yamada, T.; Kawashima, Y.; Matsuoka, Y.; Shirakawa, O.; Ishizuka, N.; Yonemoto, N.; Kawanishi, C.; et al. Effectiveness of assertive case management on repeat self-harm in patients admitted for suicide attmept: Findings from ACTION-J study. J. Affect. Disord. 2018, 225, 460–465. [Google Scholar] [CrossRef] [PubMed]
- MATES in Construction. MATES in Construction Case Management Handbook V2; MATES in Construction: Brisbane, Australia, 2019. [Google Scholar]
- Australian Bureau of Statistics. Australian and New Zealand Standard Classification of Occupations; Cat. No. 1220.0; Australian Bureau of Statistics: Canberra, Australia, 2018.
- Kassambara, A. Rstatix: Pipe-Friendly Framework for Basic Statistical Tests; R Package Version 0.6.0; R Foundation for Statistical Computing: Vienna, Austria, 2020. [Google Scholar]
- R Core Team. R: A Language and Environment for Statistical Computing; R Foundation for Statistical Computing: Vienna, Austria, 2019. [Google Scholar]
- Gullestrup, J.; Lequertier, B.; Martin, G. MATES in construction: Impact of a multimodal, community-based program for suicide prevention in the construction industry. Int. J. Environ. Res. Public Health 2011, 8, 4180–4196. [Google Scholar] [CrossRef] [PubMed]
- Australasian College for Emergency Medicine. Waiting Times in the Emergency Department for People with Acute Mental and Behavioural Conditions; Australasian College for Emergency Medicine: Melbourne, Australia, 2018; Available online: https://acem.org.au/getmedia/0857d22e-af03-40bb-8e9f-f01a2a2bf607/ACEM_Mental-Health-Access-Block.aspx (accessed on 1 May 2021).
- Duggan, M.; Harris, B.; Chislett, W.K.; Calder, R. Nowhere Else to Go: Why Australia’s Health System Results in People with Mental Illness Getting Stuck in Emergency Departments; A Commissioned Report to the Australian College of Emergency Medicine; Victoria University: Melbourne, Australia, 2020. [Google Scholar]
- Queensland Forensic Mental Health Service; Metro North Hopsital and Health Service; Queensland Centre for Mental Health Research. Partners in Prevention: Understanding and Enhancing First Responses to Suicide Crisis Situations—Summary Report; Queensland Health: Brisbane, Australia, 2020. Available online: https://qcmhr.uq.edu.au/wp-content/uploads/2020/07/PiP_Summary_online.pdf (accessed on 1 May 2021).
- Queensland Forensic Mental Health Service; Metro North Hopsital and Health Service; Queensland Centre for Mental Health Research. Partners in Prevention: Understanding and Enhancing First Responses to Suicide Crisis Situations—Perspectives from Lived Experience; Queensland Health: Brisbane, Australia, 2020. Available online: https://qcmhr.uq.edu.au/wp-content/uploads/2020/07/PiP_LivedExp_online.pdf (accessed on 1 May 2021).
- Queensland Forensic Mental Health Service; Metro North Hopsital and Health Service; Queensland Centre for Mental Health Research. Partners in Prevention: Understanding and Enhancing First Responses to Suicide Crisis Situations—Data Linkage Study; Queensland Health: Brisbane, Australia, 2020. Available online: https://qcmhr.uq.edu.au/wp-content/uploads/2020/07/PiP_DataLinkage_online.pdf (accessed on 1 May 2021).
- Queensland Forensic Mental Health Service; Metro North Hopsital and Health Service; Queensland Centre for Mental Health Research. Partners in Prevention: Understanding and Enhancing First Responses to Suicide Crisis Situations—Optimal Care Pathways for People in Suicidal Crisis Who Interact with Police or Paramedics; Queensland Health: Brisbane, Australia, 2020.




| Year | Change ** Clients | N Clients | Change ** Records | N Records | Male | Female | Age Median |
|---|---|---|---|---|---|---|---|
| 2010–2018 * | ↑260% | 3759 | ↑265% | 4220 | 92% | 8% | 39 |
| 2018 | ↓10% | 591 | ↓09% | 613 | 92% | 8% | 40 |
| 2017 | ↓06% | 654 | ↓08% | 670 | 93% | 7% | 38 |
| 2016 | ↑36% | 694 | ↑38% | 728 | 90% | 10% | 39 |
| 2015 | ↑15% | 511 | ↑15% | 528 | 94% | 6% | 38 |
| 2014 | ↑16% | 446 | ↑17% | 461 | 90% | 10% | 37 |
| 2013 | ↑06% | 384 | ↑08% | 394 | 92% | 8% | 38 |
| 2012 | ↑28% | 362 | ↑25% | 365 | 93% | 7% | 38 |
| 2011 | ↑72% | 282 | ↑74% | 293 | 94% | 6% | 37 |
| 2010 | 164 | 168 | 97% | 3% | 40 |
Publisher’s Note: MDPI stays neutral with regard to jurisdictional claims in published maps and institutional affiliations. |
© 2021 by the authors. Licensee MDPI, Basel, Switzerland. This article is an open access article distributed under the terms and conditions of the Creative Commons Attribution (CC BY) license (https://creativecommons.org/licenses/by/4.0/).
Share and Cite
Doran, C.M.; Wittenhagen, L.; Heffernan, E.; Meurk, C. The MATES Case Management Model: Presenting Problems and Referral Pathways for a Novel Peer-Led Approach to Addressing Suicide in the Construction Industry. Int. J. Environ. Res. Public Health 2021, 18, 6740. https://doi.org/10.3390/ijerph18136740
Doran CM, Wittenhagen L, Heffernan E, Meurk C. The MATES Case Management Model: Presenting Problems and Referral Pathways for a Novel Peer-Led Approach to Addressing Suicide in the Construction Industry. International Journal of Environmental Research and Public Health. 2021; 18(13):6740. https://doi.org/10.3390/ijerph18136740
Chicago/Turabian StyleDoran, Christopher M., Lisa Wittenhagen, Edward Heffernan, and Carla Meurk. 2021. "The MATES Case Management Model: Presenting Problems and Referral Pathways for a Novel Peer-Led Approach to Addressing Suicide in the Construction Industry" International Journal of Environmental Research and Public Health 18, no. 13: 6740. https://doi.org/10.3390/ijerph18136740
APA StyleDoran, C. M., Wittenhagen, L., Heffernan, E., & Meurk, C. (2021). The MATES Case Management Model: Presenting Problems and Referral Pathways for a Novel Peer-Led Approach to Addressing Suicide in the Construction Industry. International Journal of Environmental Research and Public Health, 18(13), 6740. https://doi.org/10.3390/ijerph18136740

