Suicide among Older Adults with Dementia: Effects of Korea’s Long-Term Care Insurance System
Abstract
1. Introduction
2. Materials and Methods
2.1. Research Design and Participants
2.2. Measures
2.2.1. Dependent Variable: Suicide
2.2.2. Independent Variable: Long-Term Care Services
2.2.3. Control Variables: Demographic Characteristics and Health Status
2.3. Analysis Strategy
3. Results
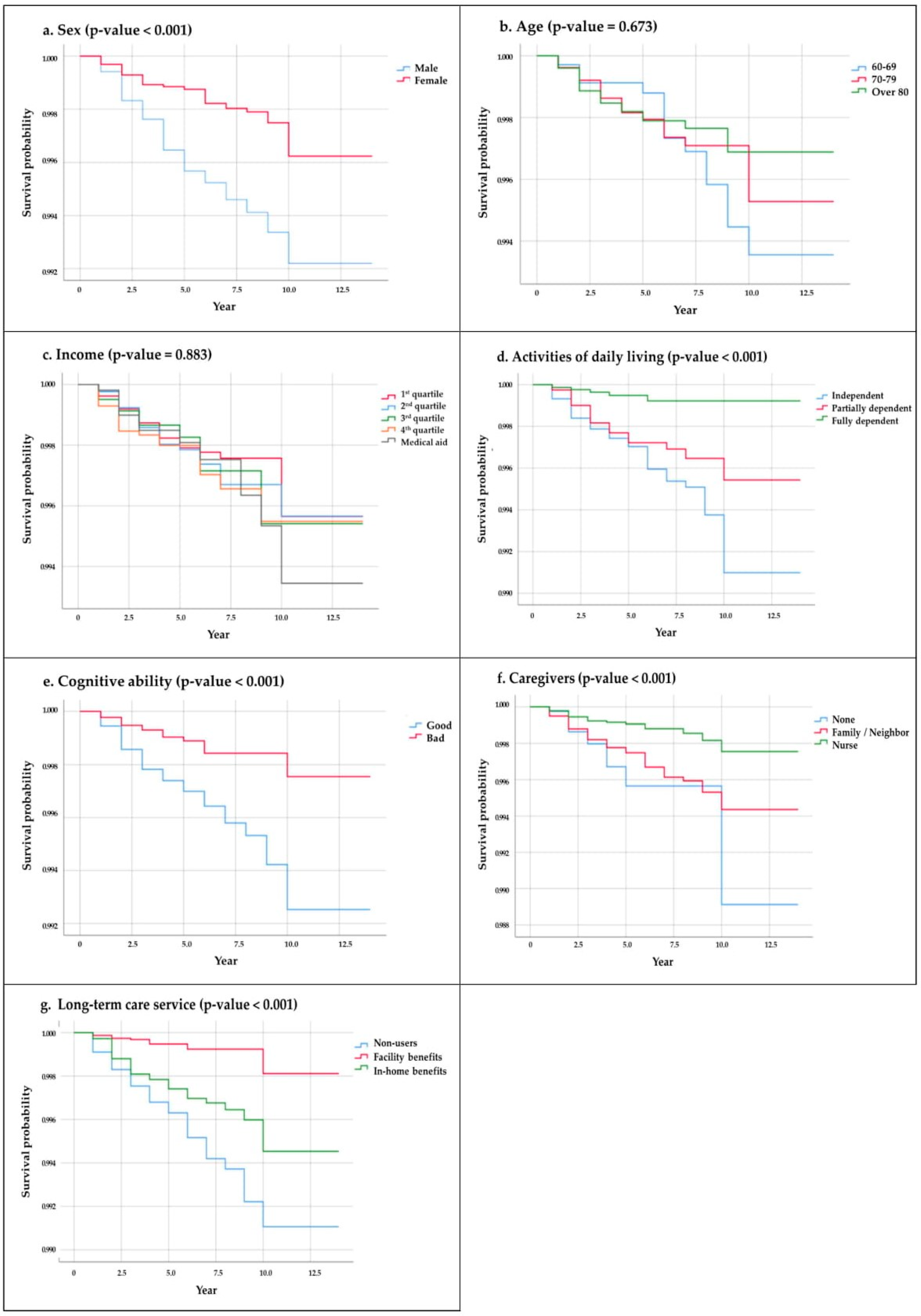
3.1. Differences in Suicide Frequency by General Characteristics among the Older Adults with Dementia
3.2. Factors Affecting Suicide among Older Adults with Dementia
3.3. Policy Effects of Long-Term Care Services on Suicide among Older Adults with Dementia
4. Discussion
5. Conclusions
Author Contributions
Funding
Institutional Review Board Statement
Informed Consent Statement
Data Availability Statement
Conflicts of Interest
Appendix A

References
- National Institute of Dementia. Korean Dementia Status 2019; National Institute of Dementia: Seoul, Korea, 2019. [Google Scholar]
- World Health Organization (WHO). Towards a Dementia Plan: A WHO Guide; WHO: Geneva, Switzerland, 2018. [Google Scholar]
- Prince, M.; Wimo, A.; Guerchet, M.; Ali, G.; Wu, Y.; Prina, M. World Alzheimer Report 2015: The Global Impact of Dementia; Alzheimer’s Disease International: London, UK, 2016. [Google Scholar]
- Seyfried, L.S.; Kales, H.C.; Ignacio, R.V.; Conwell, Y.; Valenstein, M. Predictors of suicide in patients with dementia. Alzheimer’s Dement. 2011, 7, 567–573. [Google Scholar] [CrossRef]
- GBD 2016 Disease and Injury Incidence and Prevalence Collaborators. Global, regional, and national incidence, prevalence, and years lived with disability for 328 diseases and injuries for 195 countries, 1990–2016: A systematic analysis for the Global Burden of Disease Study 2016. Lancet 2017, 390, 1211–1259. [Google Scholar] [CrossRef]
- Joling, K.J.; O’Dwyer, S.T.; Hertogh, C.M.; Van Hout, H.P. The occurrence and persistence of thoughts of suicide, self-harm and death in family caregivers of people with dementia: A longitudinal data analysis over 2 years. Int. J. Geriatr. Psychiatry 2017, 33, 263–270. [Google Scholar] [CrossRef] [PubMed]
- O’Dwyer, S.T.; Moyle, W.; Zimmer-Gembeck, M.; De Leo, D. Suicidal ideation in family carers of people with dementia. Aging Ment. Heal. 2016, 20, 222–230. [Google Scholar] [CrossRef]
- Organization for Economic Cooperation and Development (OECD). Health at a Glance 2019; OECD publishing: Paris, France, 2019. [Google Scholar]
- Organization for Economic Cooperation and Development (OECD). Society at a Glance 2019; OECD publishing: Paris, France, 2019. [Google Scholar]
- Kanwal, S.; Perveen, S.; Sumbla, Y. Causes and severity of suicide in developed nations of East Asia. JPMA J. Pak. Med Assoc. 2017, 67, 1588–1592. [Google Scholar] [PubMed]
- Muñoz, F.J.Á.; Rubio-Aparicio, M.; Muñoz, P.G.; Herrero, A.M.G.; Sánchez-Meca, J.; Navarro-Mateu, F. Suicidio y demencia: Revisión sistemática y metaanálisis. Rev. Psiquiatr. Salud Ment. 2020, 13, 213–227. [Google Scholar] [CrossRef] [PubMed]
- Erlangsen, A.; Zarit, S.H.; Conwell, Y. Hospital-diagnosed dementia and suicide: A longitudinal study using prospective, nationwide register data. Am. J. Geriatr. Psychiatry 2008, 16, 220–228. [Google Scholar] [CrossRef]
- Mitchell, R.; Draper, B.; Harvey, L.; Brodaty, H.; Close, J. The survival and characteristics of older people with and without dementia who are hospitalised following intentional self-harm. Int. J. Geriatr. Psychiatry 2016, 32, 892–900. [Google Scholar] [CrossRef]
- Van Orden, K.A.; Witte, T.K.; Cukrowicz, K.C.; Braithwaite, S.R.; Selby, E.A.; Joiner, T.E. The interpersonal theory of suicide. Psychol. Rev. 2010, 117, 575–600. [Google Scholar] [CrossRef]
- Chen, M.-C.; Lin, H.-R. The lived experiences of elderly dementia patients in Taiwan. Int. J. Ment. Heal. Nurs. 2019, 28, 784–792. [Google Scholar] [CrossRef] [PubMed]
- Purandare, N.; Voshaar, R.C.O.; Rodway, C.; Bickley, H.; Burns, A.; Kapur, N. Suicide in dementia: 9-year national clinical survey in England and Wales. Br. J. Psychiatry 2009, 194, 175–180. [Google Scholar] [CrossRef]
- Schmutte, T.; Olfson, M.; Maust, D.T.; Xie, M.; Marcus, S.C. Suicide risk in first year after dementia diagnosis in older adults. Alzheimer’s Dement. 2021. [Google Scholar] [CrossRef]
- Choi, J.W.; Lee, K.S.; Han, E. Suicide risk within 1 year of dementia diagnosis in older adults: A nationwide retrospective cohort study. J. Psychiatry Neurosci. 2020, 46, E119–E127. [Google Scholar] [CrossRef] [PubMed]
- Borges, G.; Acosta, I.; Sosa, A.L. Suicide ideation, dementia and mental disorders among a community sample of older people in Mexico. Int. J. Geriatr. Psychiatry 2014, 30, 247–255. [Google Scholar] [CrossRef] [PubMed]
- Mok, E.; Lai, C.K.; Wong, F.L.; Wan, P. Living with early-stage dementia: The perspective of older Chinese people. J. Adv. Nurs. 2007, 59, 591–600. [Google Scholar] [CrossRef]
- Osvath, P.; Kovacs, A.; Vörös, V.; Fekete, S. Risk factors of attempted suicide in the elderly: The role of cognitive impairment. Int. J. Psychiatry Clin. Pract. 2005, 9, 221–225. [Google Scholar] [CrossRef] [PubMed]
- World Health Organization (WHO). Preventing Suicide: A Global Imperative; WHO: Geneva, Switzerland, 2014. [Google Scholar]
- National Health Insurance Service (NHIS); Long-Term Care Insurance (LTCI). 2019 Long Term Care Insurance Statistical Yearbook. Available online: http://www.longtermcare.or.kr/npbs/d/m/000/moveBoardView?menuId=npe0000000780&bKey=B0010&prevPath=/npbs/d/m/000/moveBoardView (accessed on 19 June 2020).
- Moon, S.; Park, H.J.; Sohn, M. The impact of long-term care service on total lifetime medical expenditure among older adults with dementia. Soc. Sci. Med. 2021, 280, 114072. [Google Scholar] [CrossRef] [PubMed]
- Kim, J. Development and Evaluation of a Suicide Prevention Program for Elderly with Early Stage Dementia. Ph.D. Thesis, Inje University, Kimhae, Korea, 2015. [Google Scholar]
- Koyama, A.; Fujise, N.; Matsushita, M.; Ishikawa, T.; Hashimoto, M.; Ikeda, M. Suicidal ideation and related factors among dementia patients. J. Affect. Disord. 2015, 178, 66–70. [Google Scholar] [CrossRef] [PubMed]
- Anderson, J.G.; Eppes, A.; O’Dwyer, S.T. “Like Death is Near”: Expressions of Suicidal and Homicidal Ideation in the Blog Posts of Family Caregivers of People with Dementia. Behav. Sci. 2019, 9, 22. [Google Scholar] [CrossRef] [PubMed]
- Cations, M.; May, N.; Crotty, M.; Low, L.-F.; Clemson, L.; Whitehead, C.; McLoughlin, J.; Swaffer, K.; Laver, K.E. Health Professional Perspectives on Rehabilitation for People with Dementia. Gerontologist 2019, 60, 503–512. [Google Scholar] [CrossRef]
- Borges-Machado, F.; Silva, N.; Farinatti, P.; Poton, R.; Ribeiro, Ó.; Carvalho, J. Effectiveness of Multicomponent Exercise Interventions in Older Adults with Dementia: A Meta-Analysis. Gerontologist 2020, gnaa091. [Google Scholar] [CrossRef]
- DongA-Ilbo. Continure Suicide of Older Adults with Dementia. 2012. Available online: https://wwwchosuncom/site/data/html_dir/2012/11/09/2012110900100html (accessed on 20 March 2020).
- Waligora, K.J.; Bahouth, M.N.; Han, H.-R. The Self-Care Needs and Behaviors of Dementia Informal Caregivers: A Systematic Review. Gerontologist 2018, 59, e565–e583. [Google Scholar] [CrossRef]
- Watson, B.; Tatangelo, G.; McCabe, M. Depression and Anxiety Among Partner and Offspring Carers of People with Dementia: A Systematic Review. Gerontologist 2018, 59, e597–e610. [Google Scholar] [CrossRef] [PubMed]
- Lee, H.K.; Kim, S.Y. Factors Influencing the Caring Burden of Families with Dementia in a Community. J. Korean Appl. Sci. Technol. 2019, 36, 1373–1384. [Google Scholar]
- Neufeld, E.; Hirdes, J.P.; Perlman, C.M.; Rabinowitz, T. Risk and protective factors associated with intentional self-harm among older community-residing home care clients in Ontario, Canada. Int. J. Geriatr. Psychiatry 2015, 30, 1032–1040. [Google Scholar] [CrossRef] [PubMed]
- Ikegami, N.; Ishibashi, T.; Amano, T. Japan’s Long-Term Care Regulations Focused on Structure—Rationale and Future Prospects. In Regulating Long-Term Care Quality: An International Comparison; Cambridge University Press: Cambridge, UK, 2014; p. 121. [Google Scholar]
- Sohn, M.; O’Campo, P.; Muntaner, C.; Chung, H.; Choi, M. Has the long-term care insurance resolved disparities in mortality for older Koreans? examination of service type and income level. Soc. Sci. Med. 2020, 247, 112812. [Google Scholar] [CrossRef]
- Mansfield, E.; Noble, N.; Sanson-Fisher, R.; Mazza, D.; Bryant, J. Primary Care Physicians’ Perceived Barriers to Optimal Dementia Care: A Systematic Review. Gerontologist 2018, 59, e697–e708. [Google Scholar] [CrossRef]
- Telenius, E.W.; Engedal, K.; Bergland, A. Effect of a High-Intensity Exercise Program on Physical Function and Mental Health in Nursing Home Residents with Dementia: An Assessor Blinded Randomized Controlled Trial. PLoS ONE 2015, 10, e0126102. [Google Scholar] [CrossRef] [PubMed]
- Pan, Y.; Chen, R. The Effect of a Nurse-Led Cognitive Behavioral Protocol on Depressive Symptoms and Coping Strategies of Dementia Caregivers. J. Nurs. Res. 2019, 27, e55. [Google Scholar] [CrossRef] [PubMed]
- Kim, S.; Kwon, S. Has the National Health Insurance improved the inequality in the use of tertiary-care hospitals in Korea? Heal. Policy 2014, 118, 377–385. [Google Scholar] [CrossRef] [PubMed]

| Suicide | Yes 1 | No | Chi-Square | |||
|---|---|---|---|---|---|---|
| N | % | N | % | |||
| Sex | Male | 56 | 0.33 | 17,083 | 99.67 | 22.82 *** |
| Female | 63 | 0.14 | 45,080 | 99.86 | ||
| Age | 60–69 | 14 | 0.41 | 3442 | 99.59 | 11.16 ** |
| 70–79 | 55 | 0.21 | 26,220 | 99.79 | ||
| Over 80 | 50 | 0.15 | 32,501 | 99.85 | ||
| Income 2 | Fifth quintile (Highest) | 37 | 0.18 | 21,096 | 99.82 | 0.68 |
| Fourth quintile | 25 | 0.19 | 12,860 | 99.81 | ||
| Third quintile | 11 | 0.18 | 6114 | 99.82 | ||
| Second quintile | 24 | 0.21 | 11,278 | 99.79 | ||
| First quintile (Lowest) | 22 | 0.20 | 10,815 | 99.80 | ||
| ADL 3 | Independent | 75 | 0.30 | 24,975 | 99.70 | 38.27 *** |
| Partially dependent | 33 | 0.21 | 15,471 | 99.79 | ||
| Fully dependent | 11 | 0.05 | 21,717 | 99.95 | ||
| Cognitive ability 4 | Good | 86 | 0.27 | 31,371 | 99.73 | 22.59 *** |
| Bad | 33 | 0.11 | 30,792 | 99.89 | ||
| Caregivers | None | 14 | 0.35 | 4001 | 99.65 | 17.99 *** |
| Family/Neighbor | 82 | 0.23 | 35,367 | 99.77 | ||
| Nurse | 23 | 0.10 | 22,795 | 99.90 | ||
| LTCS 5 | Non-user | 55 | 0.33 | 16,603 | 99.67 | 39.99 *** |
| Facility | 14 | 0.06 | 23,630 | 99.94 | ||
| In-home | 50 | 0.23 | 21,930 | 99.77 | ||
| Total | 119 | 0.19 | 62,163 | 99.81 | ||
| Model 1 | Model 2 | ||||||
|---|---|---|---|---|---|---|---|
| HR | 95% CI | p-Value | HR | 95% CI | p-Value | ||
| LTCS 1 | Non-user | 1 | 1 | ||||
| Facility | 0.151 | 0.084–0.271 | <0.001 | 0.256 | 0.136–0.482 | <0.001 | |
| In-home | 0.628 | 0.428–0.921 | 0.017 | 0.732 | 0.487–1.100 | 0.133 | |
| Sex | Male | 1 | |||||
| Female | 0.397 | 0.275–0.574 | <0.001 | ||||
| Age | 60–69 | 1 | |||||
| 70–79 | 0.833 | 0.458–1.516 | 0.550 | ||||
| Over 80 | 0.991 | 0.533–1.843 | 0.978 | ||||
| Income 2 | Fifth quintile (Highest) | 1 | |||||
| Fourth quintile | 1.146 | 0.689–1.905 | 0.600 | ||||
| Third quintile | 1.147 | 0.584–2.250 | 0.691 | ||||
| Second quintile | 1.447 | 0.864–2.426 | 0.161 | ||||
| First quintile (Lowest) | 1.167 | 0.675–2.015 | 0.581 | ||||
| ADL 3 | Independent | 1 | |||||
| Partially dependent | 0.981 | 0.630–1.528 | 0.933 | ||||
| Fully dependent | 0.290 | 0.145–0.579 | <0.001 | ||||
| Cognitive ability 4 | Good | 1 | |||||
| Bad | 0.737 | 0.474–1.145 | 0.174 | ||||
| Caregivers | None | 1 | |||||
| Family/Neighbor | 0.634 | 0.348–1.158 | 0.138 | ||||
| Nurse | 0.554 | 0.276–1.111 | 0.096 | ||||
| OR | 95% CI | p-Value | ||
|---|---|---|---|---|
| Expansion of dementia special rates | Before (–2013) | 1 | ||
| After (2014–) | 2.131 | 1.061–4.280 | 0.034 | |
| LTCS 1 | Non-user | 1 | ||
| User | 0.296 | 0.183–0.478 | <0.001 | |
| Interaction term | After expansion × Use | 1.589 | 0.667–3.788 | 0.296 |
| Sex | Male | 1 | ||
| Female | 0.418 | 0.290–0.603 | <0.001 | |
| Age | 60–69 | 1 | ||
| 70–79 | 0.488 | 0.271–0.880 | 0.017 | |
| Over 80 | 0.430 | 0.237–0.781 | 0.006 | |
| Income 2 | Fifth quintile (Highest) | 1 | ||
| Fourth quintile | 1.122 | 0.675–1.866 | 0.657 | |
| Third quintile | 1.041 | 0.530–2.042 | 0.908 | |
| Second quintile | 1.283 | 0.766–2.150 | 0.343 | |
| First quintile (Lowest) | 1.095 | 0.635–1.889 | 0.744 | |
| ADL 3 | Independent | 1 | ||
| Partially dependent | 1.252 | 0.785–1.999 | 0.346 | |
| Fully dependent | 0.380 | 0.187–0.774 | 0.008 | |
| Cognitive ability 4 | Good | 1 | ||
| Bad | 0.824 | 0.527–1.288 | 0.396 | |
| Caregivers | None | 1 | ||
| Family/Neighbor | 0.812 | 0.451–1.462 | 0.488 | |
| Nurse | 0.604 | 0.301–1.212 | 0.156 | |
Publisher’s Note: MDPI stays neutral with regard to jurisdictional claims in published maps and institutional affiliations. |
© 2021 by the authors. Licensee MDPI, Basel, Switzerland. This article is an open access article distributed under the terms and conditions of the Creative Commons Attribution (CC BY) license (https://creativecommons.org/licenses/by/4.0/).
Share and Cite
Moon, S.; Choi, M.; Sohn, M. Suicide among Older Adults with Dementia: Effects of Korea’s Long-Term Care Insurance System. Int. J. Environ. Res. Public Health 2021, 18, 6582. https://doi.org/10.3390/ijerph18126582
Moon S, Choi M, Sohn M. Suicide among Older Adults with Dementia: Effects of Korea’s Long-Term Care Insurance System. International Journal of Environmental Research and Public Health. 2021; 18(12):6582. https://doi.org/10.3390/ijerph18126582
Chicago/Turabian StyleMoon, Sungje, Mankyu Choi, and Minsung Sohn. 2021. "Suicide among Older Adults with Dementia: Effects of Korea’s Long-Term Care Insurance System" International Journal of Environmental Research and Public Health 18, no. 12: 6582. https://doi.org/10.3390/ijerph18126582
APA StyleMoon, S., Choi, M., & Sohn, M. (2021). Suicide among Older Adults with Dementia: Effects of Korea’s Long-Term Care Insurance System. International Journal of Environmental Research and Public Health, 18(12), 6582. https://doi.org/10.3390/ijerph18126582

