Reliability and Validity of the ONAPS Physical Activity Questionnaire in Assessing Physical Activity and Sedentary Behavior in French Adults
Abstract
1. Introduction
2. Materials and Methods
2.1. Study Design and Participant Selection
2.2. Instruments
2.3. Scoring of Physical Activity and Data Reduction
2.4. Statistical Analysis
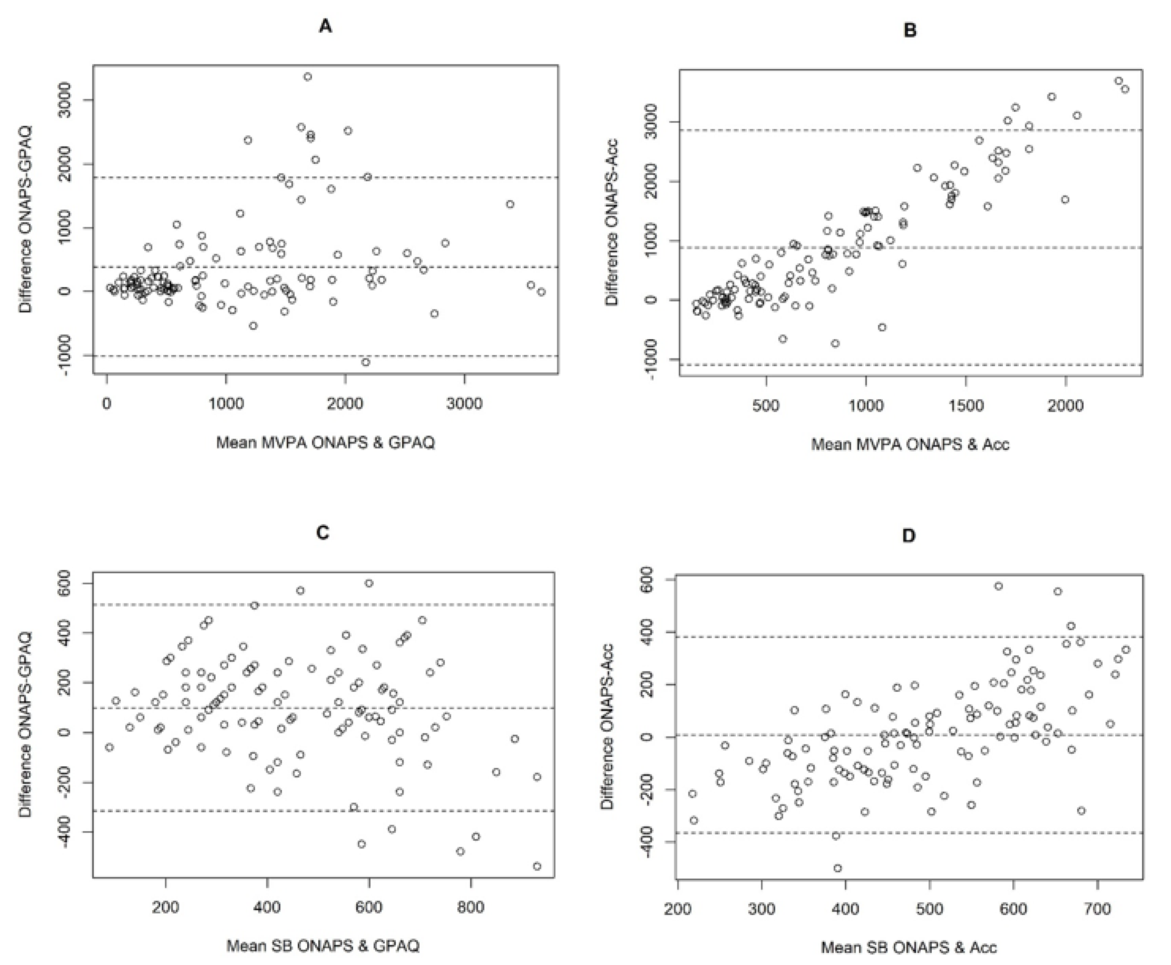
3. Results
4. Discussion
5. Conclusions
Supplementary Materials
Author Contributions
Funding
Institutional Review Board Statement
Informed Consent Statement
Data Availability Statement
Acknowledgments
Conflicts of Interest
References
- Ding, D.; Lawson, K.D.; Kolbe-Alexander, T.L.; Finkelstein, E.A.; Katzmarzyk, P.T.; van Mechelen, W.; Pratt, M. Lancet Physical Activity Series 2 Executive Committee. The Economic Burden of Physical Inactivity: A Global Analysis of Major Non-Communicable Diseases. Lancet 2016, 388, 1311–1324. [Google Scholar] [CrossRef]
- Lee, I.-M.; Shiroma, E.J.; Lobelo, F.; Puska, P.; Blair, S.N.; Katzmarzyk, P.T. Lancet Physical Activity Series Working Group. Effect of Physical Inactivity on Major Non-Communicable Diseases Worldwide: An Analysis of Burden of Disease and Life Expectancy. Lancet 2012, 380, 219–229. [Google Scholar] [CrossRef]
- Stamatakis, E.; Gale, J.; Bauman, A.; Ekelund, U.; Hamer, M.; Ding, D. Sitting Time, Physical Activity, and Risk of Mortality in Adults. J. Am. Coll. Cardiol. 2019, 73, 2062–2072. [Google Scholar] [CrossRef] [PubMed]
- Hamilton, M.T.; Hamilton, D.G.; Zderic, T.W. Role of Low Energy Expenditure and Sitting in Obesity, Metabolic Syndrome, Type 2 Diabetes, and Cardiovascular Disease. Diabetes 2007, 56, 2655–2667. [Google Scholar] [CrossRef] [PubMed]
- Lavie, C.J.; Ozemek, C.; Carbone, S.; Katzmarzyk, P.T.; Blair, S.N. Sedentary Behavior, Exercise, and Cardiovascular Health. Circ. Res. 2019, 124, 799–815. [Google Scholar] [CrossRef] [PubMed]
- Lear, S.A.; Hu, W.; Rangarajan, S.; Gasevic, D.; Leong, D.; Iqbal, R.; Casanova, A.; Swaminathan, S.; Anjana, R.M.; Kumar, R.; et al. The Effect of Physical Activity on Mortality and Cardiovascular Disease in 130 000 People from 17 High-Income, Middle-Income, and Low-Income Countries: The PURE Study. Lancet 2017, 390, 2643–2654. [Google Scholar] [CrossRef]
- Ekelund, U.; Tarp, J.; Steene-Johannessen, J.; Hansen, B.H.; Jefferis, B.; Fagerland, M.W.; Whincup, P.; Diaz, K.M.; Hooker, S.P.; Chernofsky, A.; et al. Dose-Response Associations between Accelerometry Measured Physical Activity and Sedentary Time and All Cause Mortality: Systematic Review and Harmonised Meta-Analysis. BMJ 2019, 366. [Google Scholar] [CrossRef]
- Reiner, M.; Niermann, C.; Jekauc, D.; Woll, A. Long-Term Health Benefits of Physical Activity—A Systematic Review of Longitudinal Studies. BMC Public Health 2013, 13, 813. [Google Scholar] [CrossRef]
- Pedersen, B.K.; Saltin, B. Exercise as Medicine-Evidence for Prescribing Exercise as Therapy in 26 Different Chronic Diseases. Scand. J. Med. Sci. Sports 2015, 25, 1–72. [Google Scholar] [CrossRef]
- Kohl, H.W.; Craig, C.L.; Lambert, E.V.; Inoue, S.; Alkandari, J.R.; Leetongin, G.; Kahlmeier, S. The Pandemic of Physical Inactivity: Global Action for Public Health. Lancet 2012, 380, 294–305. [Google Scholar] [CrossRef]
- Church, T.S.; Thomas, D.M.; Tudor-Locke, C.; Katzmarzyk, P.T.; Earnest, C.P.; Rodarte, R.Q.; Martin, C.K.; Blair, S.N.; Bouchard, C. Trends over 5 Decades in U.S. Occupation-Related Physical Activity and Their Associations with Obesity. PLoS ONE 2011, 6, e19657. [Google Scholar] [CrossRef] [PubMed]
- Guthold, R.; Stevens, G.A.; Riley, L.M.; Bull, F.C. Global Trends in Insufficient Physical Activity among Adolescents: A Pooled Analysis of 298 Population-Based Surveys with 1·6 Million Participants. Lancet Child Adolesc. Health 2020, 4, 23–35. [Google Scholar] [CrossRef]
- Durante, R.; Ainsworth, B. The Recall of Physical Activity: Using a Cognitive Model of the Question-Answering Process. Med. Sci. Sports Exerc. 1996, 28, 1282–1291. [Google Scholar] [CrossRef]
- Bull, F.C.; Maslin, T.S.; Armstrong, T. Global Physical Activity Questionnaire (GPAQ): Nine Country Reliability and Validity Study. J. Phys. Act. Health 2009, 6, 790–804. [Google Scholar] [CrossRef] [PubMed]
- Armstrong, T.; Bull, F. Development of the Global Physical Activity Questionnaire (GPAQ). J. Public Health 2006, 14, 66–70. [Google Scholar] [CrossRef]
- World Health Organization. Noncommunicable Diseases and Their Risk Factors. Global Physical Activity Surveillance. Available online: www.who.int/chp/steps/GPAQ/en/index.html (accessed on 17 May 2021).
- Rivière, F.; Widad, F.Z.; Speyer, E.; Erpelding, M.-L.; Escalon, H.; Vuillemin, A. Reliability and Validity of the French Version of the Global Physical Activity Questionnaire. J. Sport Health Sci. 2018, 7, 339–345. [Google Scholar] [CrossRef] [PubMed]
- World Health Organization. Global Physical Activity Questionnaire (GPAQ). Analysis Guide. Available online: www.who.int/ncds/surveillance/steps/resources/GPAQ_Analysis_Guide.pdf (accessed on 13 May 2021).
- Aguilar-Farias, N.; Leppe Zamora, J. Is a Single Question of the Global Physical Activity Questionnaire (GPAQ) Valid for Measuring Sedentary Behaviour in the Chilean Population? J. Sports Sci. 2017, 35, 1652–1657. [Google Scholar] [CrossRef] [PubMed]
- de la Cámara, M.A.; Higueras-Fresnillo, S.; Cabanas-Sánchez, V.; Sadarangani, K.P.; Martinez-Gomez, D.; Veiga, Ó.L. Criterion Validity of the Sedentary Behavior Question From the Global Physical Activity Questionnaire in Older Adults. J. Phys. Act. Health 2020, 17, 2–12. [Google Scholar] [CrossRef]
- Healy, G.N.; Clark, B.K.; Winkler, E.A.H.; Gardiner, P.A.; Brown, W.J.; Matthews, C.E. Measurement of Adults’ Sedentary Time in Population-Based Studies. Am. J. Prev. Med. 2011, 41, 216–227. [Google Scholar] [CrossRef]
- Troiano, R.P.; Berrigan, D.; Dodd, K.W.; Mâsse, L.C.; Tilert, T.; Mcdowell, M. Physical Activity in the United States Measured by Accelerometer. Med. Sci. Sports Exerc. 2008, 40, 181–188. [Google Scholar] [CrossRef]
- Stamatakis, E.; Hamer, M.; Tilling, K.; Lawlor, D.A. Sedentary Time in Relation to Cardio-Metabolic Risk Factors: Differential Associations for Self-Report vs. Accelerometry in Working Age Adults. Int. J. Epidemiol. 2012, 41, 1328–1337. [Google Scholar] [CrossRef] [PubMed]
- Chastin, S.F.M.; Dontje, M.L.; Skelton, D.A.; Čukić, I.; Shaw, R.J.; Gill, J.M.R.; Greig, C.A.; Gale, C.R.; Deary, I.J.; Der, G.; et al. Systematic Comparative Validation of Self-Report Measures of Sedentary Time against an Objective Measure of Postural Sitting (ActivPAL). Int. J. Behav. Nutr. Phys. Act. 2018, 15. [Google Scholar] [CrossRef] [PubMed]
- Biswas, A.; Oh, P.I.; Faulkner, G.E.; Bajaj, R.R.; Silver, M.A.; Mitchell, M.S.; Alter, D.A. Sedentary Time and Its Association With Risk for Disease Incidence, Mortality, and Hospitalization in Adults. Ann. Intern. Med. 2015, 162, 123–132. [Google Scholar] [CrossRef]
- Pandey, A.; Salahuddin, U.; Garg, S.; Ayers, C.; Kulinski, J.; Anand, V.; Mayo, H.; Kumbhani, D.J.; Lemos, J.d.; Berry, J.D. Continuous Dose-Response Association Between Sedentary Time and Risk for Cardiovascular Disease: A Meta-Analysis. JAMA Cardiol. 2016, 1, 575–583. [Google Scholar] [CrossRef] [PubMed]
- Genin, P.; Dutheil, F.; Larras, B.; Esquirol, Y.; Boirie, Y.; Tremblay, A.; Pereira, B.; Praznoscy, C.; Thivel, D.; Duclos, M. Promoting Physical Activity and Reducing Sedentary Time among Tertiary Workers: Position Stand from the French National Observatory for Physical Activity and Sedentary Behaviors (ONAPS). J. Phys. Act. Health 2019, 16, 677–678. [Google Scholar] [CrossRef] [PubMed]
- Mokkink, L.B.; Prinsen, C.A.; Patrick, D.L.; Alonso, J.; Bouter, L.M.; de Vet, H.C.; Terwee, C.B. COSMIN Study Design Checklist for Patient-Reported Outcome Measurement Instruments. User Manual 2019. Available online: www.cosmin.nl/wp-content/uploads/COSMIN-study-designing-checklist_final.pdf# (accessed on 13 May 2021).
- Craig, C.L.; Marshall, A.L.; Sjöström, M.; Bauman, A.E.; Booth, M.L.; Ainsworth, B.E.; Pratt, M.; Ekelund, U.; Yngve, A.; Sallis, J.F.; et al. International Physical Activity Questionnaire: 12-Country Reliability and Validity. Med. Sci. Sports Exerc. 2003, 35, 1381–1395. [Google Scholar] [CrossRef] [PubMed]
- Vähä-Ypyä, H.; Vasankari, T.; Husu, P.; Suni, J.; Sievänen, H. A Universal, Accurate Intensity-Based Classification of Different Physical Activities Using Raw Data of Accelerometer. Clin. Physiol. Funct. Imaging 2015, 35, 64–70. [Google Scholar] [CrossRef] [PubMed]
- Vähä-Ypyä, H.; Husu, P.; Suni, J.; Vasankari, T.; Sievänen, H. Reliable Recognition of Lying, Sitting, and Standing with a Hip-Worn Accelerometer. Scand. J. Med. Sci. Sports 2018, 28, 1092–1102. [Google Scholar] [CrossRef]
- Leinonen, A.-M.; Ahola, R.; Kulmala, J.; Hakonen, H.; Vähä-Ypyä, H.; Herzig, K.-H.; Auvinen, J.; Keinänen-Kiukaanniemi, S.; Sievänen, H.; Tammelin, T.H.; et al. Measuring Physical Activity in Free-Living Conditions—Comparison of Three Accelerometry-Based Methods. Front. Physiol. 2017, 7. [Google Scholar] [CrossRef]
- Verney, J.; Schwartz, C.; Amiche, S.; Pereira, B.; Thivel, D. Comparisons of a Multi-Frequency Bioelectrical Impedance Analysis to the Dual-Energy X-Ray Absorptiometry Scan in Healthy Young Adults Depending on Their Physical Activity Level. J. Hum. Kinet. 2015, 47, 73–80. [Google Scholar] [CrossRef] [PubMed]
- Global Recommendations on Physical Activity for Health; WHO Guidelines Approved by the Guidelines Review Committee; World Health Organization: Geneva, Switzerland, 2010; ISBN 978-92-4-159997-9.
- Terwee, C.B.; Bot, S.D.M.; de Boer, M.R.; van der Windt, D.A.W.M.; Knol, D.L.; Dekker, J.; Bouter, L.M.; de Vet, H.C.W. Quality Criteria Were Proposed for Measurement Properties of Health Status Questionnaires. J. Clin. Epidemiol. 2007, 60, 34–42. [Google Scholar] [CrossRef]
- Mcgraw, K.; Wong, S.P. Forming Inferences About Some Intraclass Correlation Coefficients. Psychol. Methods 1996, 1, 30–46. [Google Scholar] [CrossRef]
- Landis, J.R.; Koch, G.G. The Measurement of Observer Agreement for Categorical Data. Biometrics 1977, 33, 159–174. [Google Scholar] [CrossRef] [PubMed]
- Bland, J.M.; Altman, D.G. Statistical Methods for Assessing Agreement between Two Methods of Clinical Measurement. Lancet 1986, 1, 307–310. [Google Scholar] [CrossRef]
- World Health Organization. Global Action Plan for the Prevention and Control of Noncommunicable Diseases: 2013–2020; World Health Organization: Geneva, Switzerland, 2013; ISBN 978-92-4-150623-6. [Google Scholar]
- Helmerhorst, H.J.F.; Brage, S.; Warren, J.; Besson, H.; Ekelund, U. A Systematic Review of Reliability and Objective Criterion-Related Validity of Physical Activity Questionnaires. Int. J. Behav. Nutr. Phys. Act. 2012, 9, 103. [Google Scholar] [CrossRef] [PubMed]
- Wanner, M.; Hartmann, C.; Pestoni, G.; Martin, B.W.; Siegrist, M.; Martin-Diener, E. Validation of the Global Physical Activity Questionnaire for Self-Administration in a European Context. BMJ Open Sport Exerc. Med. 2017, 3. [Google Scholar] [CrossRef] [PubMed]
- Keating, X.D.; Zhou, K.; Liu, X.; Hodges, M.; Liu, J.; Guan, J.; Phelps, A.; Castro-Piñero, J. Reliability and Concurrent Validity of Global Physical Activity Questionnaire (GPAQ): A Systematic Review. Int. J. Env. Res. Public Health 2019, 16, 4128. [Google Scholar] [CrossRef] [PubMed]
- Bauman, A.; Ainsworth, B.E.; Sallis, J.F.; Hagströmer, M.; Craig, C.L.; Bull, F.C.; Pratt, M.; Venugopal, K.; Chau, J.; Sjöström, M. The Descriptive Epidemiology of Sitting: A 20-Country Comparison Using the International Physical Activity Questionnaire (IPAQ). Am. J. Prev. Med. 2011, 41, 228–235. [Google Scholar] [CrossRef] [PubMed]
- Bennie, J.A.; Chau, J.Y.; van der Ploeg, H.P.; Stamatakis, E.; Do, A.; Bauman, A. The Prevalence and Correlates of Sitting in European Adults—A Comparison of 32 Eurobarometer-Participating Countries. Int. J. Behav. Nutr. Phys. Act. 2013, 10, 107. [Google Scholar] [CrossRef] [PubMed]
- Grøntved, A.; Hu, F.B. Television Viewing and Risk of Type 2 Diabetes, Cardiovascular Disease, and All-Cause Mortality A Meta-Analysis. JAMA 2011, 305, 2448–2455. [Google Scholar] [CrossRef] [PubMed]
- Pinto Pereira, S.M.; Ki, M.; Power, C. Sedentary Behaviour and Biomarkers for Cardiovascular Disease and Diabetes in Mid-Life: The Role of Television-Viewing and Sitting at Work. PLoS ONE 2012, 7, e31132. [Google Scholar] [CrossRef] [PubMed]
- Rosenberg, D.E.; Norman, G.J.; Wagner, N.; Patrick, K.; Calfas, K.J.; Sallis, J.F. Reliability and Validity of the Sedentary Behavior Questionnaire (SBQ) for Adults. J. Phys. Act. Health 2010, 7, 697–705. [Google Scholar] [CrossRef] [PubMed]
- Hoos, T.; Espinoza, N.; Marshall, S.; Arredondo, E.M. Validity of the Global Physical Activity Questionnaire (GPAQ) in Adult Latinas. J. Phys. Act. Health 2012, 9, 698–705. [Google Scholar] [CrossRef] [PubMed]
- Herrmann, S.; Heumann, K.; Der Ananian, C.; Ainsworth, B. Validity and Reliability of the Global Physical Activity Questionnaire (GPAQ). Meas. Phys. Educ. Exerc. Sci. 2013, 17, 221–235. [Google Scholar] [CrossRef]
- Hukkanen, H.; Husu, P.; Sievänen, H.; Tokola, K.; Vähä-Ypyä, H.; Valkeinen, H.; Mäki-Opas, T.; Suni, J.H.; Vasankari, T. Aerobic Physical Activity Assessed with Accelerometer, Diary, Questionnaire, and Interview in a Finnish Population Sample. Scand. J. Med. Sci. Sports 2018, 28, 2196–2206. [Google Scholar] [CrossRef]
- Wanner, M.; Probst-Hensch, N.; Kriemler, S.; Meier, F.; Autenrieth, C.; Martin, B.W. Validation of the Long International Physical Activity Questionnaire: Influence of Age and Language Region. Prev. Med. Rep. 2016, 3, 250–256. [Google Scholar] [CrossRef] [PubMed]
- Sievänen, H.; Kujala, U.M. Accelerometry—Simple, but Challenging. Scand. J. Med. Sci. Sports 2017, 27, 574–578. [Google Scholar] [CrossRef]
- Skender, S.; Ose, J.; Chang-Claude, J.; Paskow, M.; Brühmann, B.; Siegel, E.M.; Steindorf, K.; Ulrich, C.M. Accelerometry and Physical Activity Questionnaires—A Systematic Review. BMC Public Health 2016, 16, 515. [Google Scholar] [CrossRef]
- Cerin, E.; Cain, K.L.; Oyeyemi, A.L.; Owen, N.; Conway, T.L.; Cochrane, T.; VAN Dyck, D.; Schipperijn, J.; Mitáš, J.; Toftager, M.; et al. Correlates of Agreement between Accelerometry and Self-Reported Physical Activity. Med. Sci. Sports Exerc. 2016, 48, 1075–1084. [Google Scholar] [CrossRef] [PubMed]
- Hallal, P.C.; Gomez, L.F.; Parra, D.C.; Lobelo, F.; Mosquera, J.; Florindo, A.A.; Reis, R.S.; Pratt, M.; Sarmiento, O.L. Lessons Learned after 10 Years of IPAQ Use in Brazil and Colombia. J. Phys. Act. Health 2010, 7 (Suppl. 2), S259–S264. [Google Scholar] [CrossRef]

| Demographic and Anthropometric Characteristics | |||
| Total | Men | Women | |
| N | 124 | 46 | 78 |
| Sex (%) | 37 | 63 | |
| Mean Age(years) | 35.7 ± 13.7 | 35.2 ± 14.0 | 36.1 ± 13.5 |
| Age Category (%) | |||
| 18–39 years | 65 | 64 | 65 |
| 40–59 years | 28 | 29 | 27 |
| ≥60 years | 7 | 7 | 8 |
| BMI (kg m−2) | 23.2 ± 4.1 | 24.0 ± 3.4 | 22.7 ± 4.4 |
| BMI category (%) | |||
| (20–25) | 56 | 61 | 53 |
| (25–30) | 17 | 24 | 13 |
| >30 | 6 | 6 | 6 |
| Fat Mass (%) Fat Free Mass (kg) | 22.7 ± 9.0 49.8 ± 10.9 | 17.1 ± 7.1 61.2 ± 6.1 | 25.6 ± 8.5 43.9 ± 7.8 |
| Physical Activity and Sedentary Behaviors Measurement | |||
| Accelerometer | ONAPS-PAQ | GPAQ | |
| Total PA (MET·min·week−1) | 5846 (4480–6817) | 5171 (2604–10,305) | 3260 (1710–6960) |
| Sitting time (min·day−1) | 481 (432–566) | 480 (360–652) | 360 (240–540) |
| PA by intensity (min·week−1) | |||
| Light | 1708 (1426–2105) | n/a | n/a |
| Moderate | 359 (233–501) | 806 (264–1499) | 400 (120–1030) |
| Vigorous | 5 (1–51) | 150 (0–360) | 150 (0–360) |
| MVPA | 388 (257–526) | 1014 (472–2040) | 630 (310–1345) |
| PA by domain | |||
| Work | |||
| Moderate | n/a | 15 (0–1057) | 0 (0–600) |
| Vigorous | n/a | 0 (0–0) | 0 (0–0) |
| Leisure | |||
| Moderate | n/a | 120 (56–240) | 90 (0–240) |
| Vigorous | n/a | 120 (0–270) | 120 (0–270) |
| Transport | n/a | 86 (0–217) | 80 (0–210) |
| Housework | n/a | 105 (45-208) | n/a |
| PA level (%) | |||
| Low | 5 | 4 | 10 |
| Moderate | 69 | 24 | 33 |
| High | 26 | 72 | 57 |
| 7 Day-Interval Test Repetition (n = 36) | ||||
|---|---|---|---|---|
| Test1 | Test2 | ICC (95% CI) | Cohen Kappa | |
| PA category (min·day−1) | ||||
| Moderate | 87 ± 85 | 75 ± 68 | 0.96 (0.91–0.98) | |
| Vigorous | 34 ± 33 | 35 ± 34 | 0.9 (0.81–0.95) | |
| MVPA | 122 ± 91 | 110 ± 79 | 0.95 (0.91–0.98) | |
| PA domain (min·day−1) | ||||
| Work moderate | 42 ± 73 | 33 ± 56 | 0.98 (0.96–0.99) | 0.93 |
| Work Vigorous | 4 ± 13 | 4 ± 14 | 0.99 (0.97–1) | 0.99 |
| Leisure moderate | 26 ± 29 | 26 ± 31 | 0.92 (0.856–0.96) | 0.61 |
| Leisure Vigorous | 30 ± 31 | 30 ± 28 | 0.87 (0.76–0.93) | 0.78 |
| Transport | 19 ± 23 | 23 ± 30 | 0.77 (0.59–0.88) | 0.92 |
| Housework | 33 ± 52 | 40 ± 43 | 0.91 (0.83–0.95) | 0.9 |
| Sitting time (min·day−1) | ||||
| Work | 255 ± 208 | 293 ± 235 | 0.9 (0.826–0.95) | 0.98 |
| Car travel | 41 ± 32 | 51 ± 38 | 0.71 (0.49–0.84) | 0.85 |
| Home screen | 156 ± 116 | 172 ± 107 | 0.79 (0.63–0.89) | 0.99 |
| Others home sitting | 96 ± 84 | 87 ± 66 | 0.77 (0.59–0.87) | 0.77 |
| Total sedentary time | 548 ± 259 | 603 ± 283 | 0.88 (0.77–0.94) | |
| Rho Acc/ONAPS | Rho Acc/GPAQ | Rho ONAPS/GPAQ | |
|---|---|---|---|
| Total PA (MET·min·week−1) | 0.39 * | 0.35 * | 0.77 * |
| Sitting time (min·day−1) | 0.41 * | 0.26 * | 0.64 * |
| PA by intensity (min·week−1) | |||
| Moderate | 0.26 * | 0.30 * | 0.71 * |
| Vigorous | 0.31 * | 0.38 * | 0.80 * |
| MVPA | 0.34 * | 0.41 * | 0.76 * |
| PA by domain | |||
| Work | |||
| Moderate | 0.66 * | ||
| Vigorous | 0.73 * | ||
| Leisure | |||
| Moderate | 0.56 * | ||
| Vigorous | 0.86 * | ||
| Transport | 0.66 * |
Publisher’s Note: MDPI stays neutral with regard to jurisdictional claims in published maps and institutional affiliations. |
© 2021 by the authors. Licensee MDPI, Basel, Switzerland. This article is an open access article distributed under the terms and conditions of the Creative Commons Attribution (CC BY) license (https://creativecommons.org/licenses/by/4.0/).
Share and Cite
Charles, M.; Thivel, D.; Verney, J.; Isacco, L.; Husu, P.; Vähä-Ypyä, H.; Vasankari, T.; Tardieu, M.; Fillon, A.; Genin, P.; et al. Reliability and Validity of the ONAPS Physical Activity Questionnaire in Assessing Physical Activity and Sedentary Behavior in French Adults. Int. J. Environ. Res. Public Health 2021, 18, 5643. https://doi.org/10.3390/ijerph18115643
Charles M, Thivel D, Verney J, Isacco L, Husu P, Vähä-Ypyä H, Vasankari T, Tardieu M, Fillon A, Genin P, et al. Reliability and Validity of the ONAPS Physical Activity Questionnaire in Assessing Physical Activity and Sedentary Behavior in French Adults. International Journal of Environmental Research and Public Health. 2021; 18(11):5643. https://doi.org/10.3390/ijerph18115643
Chicago/Turabian StyleCharles, Marc, David Thivel, Julien Verney, Laurie Isacco, Pauliina Husu, Henri Vähä-Ypyä, Tommi Vasankari, Michèle Tardieu, Alicia Fillon, Pauline Genin, and et al. 2021. "Reliability and Validity of the ONAPS Physical Activity Questionnaire in Assessing Physical Activity and Sedentary Behavior in French Adults" International Journal of Environmental Research and Public Health 18, no. 11: 5643. https://doi.org/10.3390/ijerph18115643
APA StyleCharles, M., Thivel, D., Verney, J., Isacco, L., Husu, P., Vähä-Ypyä, H., Vasankari, T., Tardieu, M., Fillon, A., Genin, P., Larras, B., Chabanas, B., Pereira, B., & Duclos, M. (2021). Reliability and Validity of the ONAPS Physical Activity Questionnaire in Assessing Physical Activity and Sedentary Behavior in French Adults. International Journal of Environmental Research and Public Health, 18(11), 5643. https://doi.org/10.3390/ijerph18115643

