Impact of Titanium Dioxide Nanoparticles on Cd Phytotoxicity and Bioaccumulation in Rice (Oryza sativa L.)
Abstract
1. Introduction
2. Materials and Methods
2.1. Soil and Nanoparticles Characteristics
2.2. Experimental Design
2.3. Analysis of Cd Bioavailability
2.4. Analysis of Plant Biochemical Properties
2.5. Data Analysis
3. Results
3.1. Changes in Plant Morphological Characteristics
3.1.1. Plant Height
3.1.2. Rice Tillering
3.1.3. Plant Biomass
3.2. Changes in Plant Biochemical Characteristics
3.2.1. Chlorophyll Content in the Leaves of Oryza saliva L.
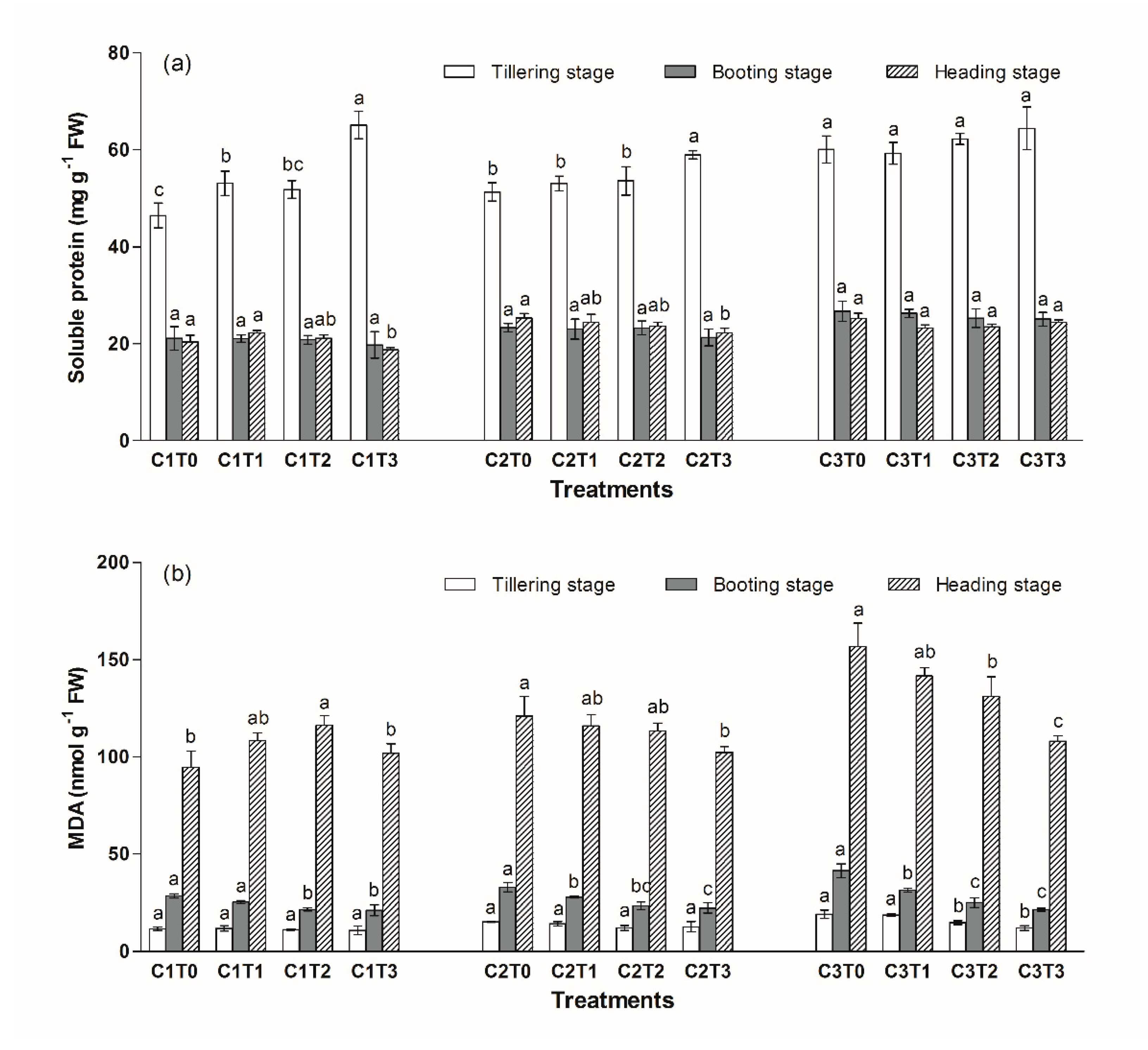
3.2.2. Soluble Protein and MDA Content in the Leaves of Oryza saliva L.
3.2.3. Antioxidant Enzyme Activities in the Leaves of Oryza saliva L.
3.3. Changes in Cd Bioavailability
3.3.1. Bioavailable Cd Content in the Soil
3.3.2. Cd Content in Rice Plants
4. Discussion
4.1. Effect of TiO2 NPs on Cd Toxicity
4.1.1. Plant Morphological Characteristics
4.1.2. Plant Biochemical Characteristics
4.2. Effects of TiO2 NPs on Cd Bioaccumulation
5. Conclusions
Supplementary Materials
Author Contributions
Funding
Conflicts of Interest
References
- Fan, X.L.; Wang, P.F.; Wang, C.; Hu, B.; Wang, X. Lead accumulation (adsorption and absorption) by the freshwater bivalve Corbicula fluminea in sediments contaminated by TiO2 nanoparticles. Environ. Pollut. 2017, 231, 712–721. [Google Scholar] [CrossRef] [PubMed]
- Wang, Y.X.; Zhu, X.X.; Lao, Y.M.; Lv, X.H.; Tao, Y.; Huang, B.M.; Wang, J.X.; Zhou, J.; Cai, Z.H. TiO2 nanoparticles in the marine environment: Physical effects responsible for the toxicity on algae Phaeodactylum tricornutum. Sci. Total Environ. 2016, 565, 818–826. [Google Scholar] [CrossRef] [PubMed]
- Li, M.T.; Luo, Z.X.; Yan, Y.M.; Wang, Z.H.; Chi, Q.Q.; Yan, C.Z.; Xing, B.S. Arsenate accumulation, distribution, and toxicity associated with titanium dioxide nanoparticles in daphnia magna. Environ. Sci. Technol. 2016, 50, 9636–9643. [Google Scholar] [CrossRef] [PubMed]
- Gao, Y.; Yang, T.T.; Jin, J. Nanoparticle pollution and associated increasing potential risks on environment and human health: A case study of China. Environ. Sci. Pollut. Res. 2015, 22, 19297–19306. [Google Scholar] [CrossRef]
- Priester, J.H.; Ge, Y.; Mielke, R.E.; Horst, A.M.; Moritz, S.C.; Espinosa, K.; Gelb, J.; Walker, S.L.; Nisbet, R.M.; An, Y.J.; et al. Soybean susceptibility to manufactured nanomaterials with evidence for food quality and soil fertility interruption. Proc. Natl. Acad. Sci. USA 2012, 109, 14734–14735. [Google Scholar] [CrossRef]
- Peng, C.; Xu, C.; Liu, Q.L.; Sun, L.J.; Luo, Y.M.; Shi, J.Y. Fate and transformation of CuO nanoparticles in the soil-rice system during the life cycle of rice plants. Environ. Sci. Technol. 2017, 51, 4907–4917. [Google Scholar] [CrossRef]
- Deng, Y.Q.; Eitzer, B.; White, J.C.; Xing, B.S. Impact of multiwall carbon nanotubes on the accumulation and distribution of carbamazepine in collard greens (Brassica oleracea). Environ. Sci. Nano 2016, 4, 149–159. [Google Scholar] [CrossRef]
- Yang, K.; Xing, B.S. Adsorption of organic compounds by carbon nanomaterials in aqueous stage: Polanyi theory and its application. Chem. Rev. 2010, 110, 5989–6008. [Google Scholar]
- Glomstad, B.; Altin, D.; Sørensen, L.; Liu, J.F.; Jenssen, B.M.; Booth, A.M. Carbon nanotube properties influence adsorption of phenanthrene and subsequent bioavailability and toxicity to Pseudokirchneriella subcapitata. Environ. Sci. Technol. 2016, 50, 2660–2668. [Google Scholar] [CrossRef]
- Yang, W.W.; Li, Y.; Miao, A.J.; Yang, L.Y. Cd2+ toxicity as affected by bare TiO2 nanoparticles and their bulk counterpart. Ecotox. Environ. Safe 2012, 85, 44–51. [Google Scholar] [CrossRef]
- Ma, C.; Liu, H.; Chen, G.C.; Zhao, Q.; Eitzer, B.; Wang, Z.H.; Cai, W.J.; Newman, L.; White, J.C.; Dhankher, O.P.; et al. Effects of titanium oxide nanoparticles on tetracycline accumulation and toxicity in Oryza sativa (L.). Environ. Sci. Nano 2017, 4, 1827–1839. [Google Scholar] [CrossRef]
- Cai, F.; Wu, X.Y.; Zhang, H.Y.; Shen, X.F.; Zhang, M.; Chen, W.X.; Gao, Q.; White, J.C.; Tao, S.; Wang, X.L. Impact of TiO2 nanoparticles on lead uptake and bioaccumulation in rice (Oryza sativa L.). Nanoimpact 2017, 5, 101–108. [Google Scholar] [CrossRef]
- Chai, M.W.; Shi, F.C.; Li, R.L.; Liu, L.M.; Liu, Y.; Liu, F.C. Interactive effects of cadmium and carbon nanotubes on the growth and metal accumulation in a halophyte Spartina alterniflora (Poaceae). Plant Growth Regul. 2013, 71, 171–179. [Google Scholar] [CrossRef]
- Hu, X.G.; Kang, J.; Lu, K.C.; Zhou, R.R.; Mu, L.; Zhou, Q.X. Graphene oxide amplifies the phytotoxicity of arsenic in wheat. Sci. Rep. 2014, 4, 6122. [Google Scholar] [CrossRef] [PubMed]
- Zhang, W.; Long, J.H.; Li, J.; Zhang, M.; Xiao, G.L.; Ye, X.Y.; Chang, W.J.; Zeng, H. Impact of ZnO nanoparticles on Cd toxicity and bioaccumulation in rice (Oryza sativa L.). Environ. Sci. Pollut. Res. 2019, 26, 23119–23128. [Google Scholar] [CrossRef] [PubMed]
- Servin, A.D.; White, J.C. Nanotechnology in agriculture: Next steps for understanding engineered nanoparticle exposure and risk. Nanoimpact 2016, 1, 9–12. [Google Scholar] [CrossRef]
- Li, W.L.; Xu, B.B.; Song, Q.J.; Liu, X.M.; Brookes, P.C. The identification of “hotspots” of heavy metal pollution in soil-rice systems at a regional scale in eastern china. Sci. Total Environ. 2014, 472, 407–420. [Google Scholar] [CrossRef]
- Qin, Q.; Li, X.M.; Wu, H.Y.; Zhang, Y.Q.; Feng, Q.; Tai, P.D. Characterization of cadmium (108Cd) distribution and accumulation in Tagetes erecta, L. seedlings: Effect of split-root and of remove-xylem/phloem. Chemosphere 2013, 93, 2284–2288. [Google Scholar] [CrossRef]
- Lu, H.; Li, S.; Fu, S.; Mendez, A.; Gasco, G.; Paz-Ferreiro, J. Effect of biochar in cadmium availability and soil biological activity in an anthrosol following acid rain deposition and aging. Water Air Soil Pollut. 2015, 226, 164. [Google Scholar] [CrossRef]
- Ye, X.Y.; Zhang, W.; Long, J.H.; Chang, W.J.; Zeng, H. Impact of engineered nanoparticles on Cd chemical speciation and bioavailability in paddy soil. Chin. J. Environ. Eng. 2018, 12, 3426–3432. [Google Scholar]
- Peng, C.; Duan, D.C.; Xu, C.; Chen, Y.S.; Sun, L.J.; Zhang, H.; Yuan, X.F.; Zheng, L.R.; Yang, Y.Q.; Yang, J.J.; et al. Translocation and biotransformation of CuO nanoparticles in rice (Oryza sativa L.) plants. Environ. Pollut. 2015, 197, 99–107. [Google Scholar] [CrossRef] [PubMed]
- Zhang, W.; Alakangas, L.; Wei, Z.Y.; Long, J.H. Geochemical evaluation of heavy metal migration in Pb-Zn tailings covered by different topsoils. J. Geochem. Explor. 2016, 165, 134–142. [Google Scholar] [CrossRef]
- Rauret, G.; López-Sánchez, J.F.; Sahuquillo, A.; Rubio, R.; Davidson, C.M.; Ure, A.M.; Quevauviller, P. Improvement of the BCR three step sequential extraction procedure prior to the certification of new sediment and soil reference materials. J. Environ. Monit. 1999, 1, 57–61. [Google Scholar] [CrossRef] [PubMed]
- Lee, D.H.; Lee, C.B. Chilling stress-induced changes of antioxidant enzymes in the leaves of cucumber: In gel enzyme activity assays. Plant Sci. 2000, 159, 75–85. [Google Scholar] [CrossRef]
- Zhang, X.Z. The measurement and mechanism of lipid peroxidation and SOD, POD and CAT activities in biological system. In Research Methodology of Crop Physiology; Agriculture Press: Beijing, China, 1992; pp. 208–211. [Google Scholar]
- Fan, X.L.; Wang, C.; Wang, P.F.; Hu, B.; Wang, X. TiO2 nanoparticles in sediments: Effect on the bioavailability of heavy metals in the freshwater bivalve Corbicula fluminea. J. Hazard. Mater. 2018, 342, 41–50. [Google Scholar] [CrossRef] [PubMed]
- Ji, Y.; Zhou, Y.; Ma, C.X.; Feng, Y.; Hao, Y.; Rui, Y.K.; Wu, W.H.; Gui, X.; Le, V.N.; Han, Y.N.; et al. Jointed toxicity of TiO2 NPs and Cd to rice seedlings: NPs alleviated Cd toxicity and Cd promoted NPs uptake. Plant Physiol. Biochem. 2017, 110, 82–93. [Google Scholar] [CrossRef]
- Croft, H.; Chen, J.M.; Luo, X.; Bartlett, P.; Chen, B.; Staebler, R.M. Leaf chlorophyll content as a proxy for leaf photosynthetic capacity. Global Chang Biol. 2017, 23, 3513–3524. [Google Scholar] [CrossRef] [PubMed]
- Servin, A.D.; Morales, M.I.; Castillo-Michel, H.; Hernandez-Viezcas, J.A.; Munoz, B.; Zhao, L.; Nunez, J.E.; Peralta-Videa, J.R.; Gardea-Torresdey, J.L. Synchrotron verification of TiO2 accumulation in cucumber fruit: A possible pathway of TiO2 nanoparticle transfer from soil into the food chain. Environ. Sci. Technol. 2013, 47, 11592–11598. [Google Scholar] [CrossRef]
- Draper, H.H.; Hadley, M. Malondialdehyde determination as index of lipid peroxidation. Method Enzymol. 1990, 186, 421–431. [Google Scholar]
- Shah, K.; Dubey, K. Effect of cadmium on RNA level as well as activity and molecular forms of ribonuclease in growing rice seedlings. Plant Physiol. Biochem. 1995, 3, 577–584. [Google Scholar]
- Perfus-Barbeoch, L.; Leonhardt, N.; Vavasseur, A.; Forestier, C. Heavy metal toxicity: Cadmium permeates through calcium channels and disturbs the plant water status. Plant J. 2002, 32, 539–548. [Google Scholar] [CrossRef] [PubMed]
- Zhang, M.; Liu, X.C.; Yuan, L.Y.; Wu, K.Q.; Duan, J.; Wang, X.L.; Yang, L.X. Transcriptional profiling in Cd-treated rice seedling roots using suppressive subtractive hybridization. Plant Physiol. Biochem. 2012, 50, 79–86. [Google Scholar] [CrossRef] [PubMed]
- Singh, J.; Lee, B.K. Influence of nano-TiO2 particles on the bioaccumulation of Cd in soybean plants (Glycine max): A possible mechanism for the removal of Cd from the contaminated soil. J. Environ. Manag. 2016, 170, 88–96. [Google Scholar] [CrossRef] [PubMed]
- Gardea-Torresdey, J.L.; Rico, C.M.; White, J.C. Trophic transfer, transformation, and impact of engineered nanomaterials in terrestrial environments. Environ. Sci. Technol. 2014, 48, 2526–2540. [Google Scholar] [CrossRef] [PubMed]






| Concentrations of Cadmium (Cd) (mg kg−1) | Concentrations of Titanium Dioxide Nanoparticles (TiO2 NPs) (mg kg−1) | |||
|---|---|---|---|---|
| 0 (T0) | 50 (T1) | 100 (T2) | 500 (T3) | |
| 1.0 (C1 group) | C1T0 | C1T1 | C1T2 | C1T3 |
| 2.5 (C2 group) | C2T0 | C2T1 | C2T2 | C2T3 |
| 5.0 (C3 group) | C3T0 | C3T1 | C3T2 | C3T3 |
© 2020 by the authors. Licensee MDPI, Basel, Switzerland. This article is an open access article distributed under the terms and conditions of the Creative Commons Attribution (CC BY) license (http://creativecommons.org/licenses/by/4.0/).
Share and Cite
Zhang, W.; Long, J.; Geng, J.; Li, J.; Wei, Z. Impact of Titanium Dioxide Nanoparticles on Cd Phytotoxicity and Bioaccumulation in Rice (Oryza sativa L.). Int. J. Environ. Res. Public Health 2020, 17, 2979. https://doi.org/10.3390/ijerph17092979
Zhang W, Long J, Geng J, Li J, Wei Z. Impact of Titanium Dioxide Nanoparticles on Cd Phytotoxicity and Bioaccumulation in Rice (Oryza sativa L.). International Journal of Environmental Research and Public Health. 2020; 17(9):2979. https://doi.org/10.3390/ijerph17092979
Chicago/Turabian StyleZhang, Wei, Jinghua Long, Jianmin Geng, Jie Li, and Zhongyi Wei. 2020. "Impact of Titanium Dioxide Nanoparticles on Cd Phytotoxicity and Bioaccumulation in Rice (Oryza sativa L.)" International Journal of Environmental Research and Public Health 17, no. 9: 2979. https://doi.org/10.3390/ijerph17092979
APA StyleZhang, W., Long, J., Geng, J., Li, J., & Wei, Z. (2020). Impact of Titanium Dioxide Nanoparticles on Cd Phytotoxicity and Bioaccumulation in Rice (Oryza sativa L.). International Journal of Environmental Research and Public Health, 17(9), 2979. https://doi.org/10.3390/ijerph17092979
