Associations of Genetic Variation in Glyceraldehyde 3-Phosphate Dehydrogenase Gene with Noise-Induced Hearing Loss in a Chinese Population: A Case-Control Study
Abstract
1. Introduction
2. Subjects and Methods
2.1. Subjects
2.2. Methods
2.2.1. Questionnaire and Physical Examination
2.2.2. Audiological Status Assessment and Definition of NIHL
2.2.3. Single-Nucleotide Polymorphism (SNP) Selection and Genotype
2.2.4. Statistical Analysis
3. Results
3.1. Case and Control Groups
3.2. Selected SNPs
3.3. Relationship between GAPDH Gene Polymorphisms and NIHL Susceptibility Under Different Gene Models
3.4. Stratified Analyses of rs1136666, rs1803621, rs1060620, and rs6489721 Polymorphisms
3.5. Associations between Haplotypes of GAPDH SNPs and NIHL Risk
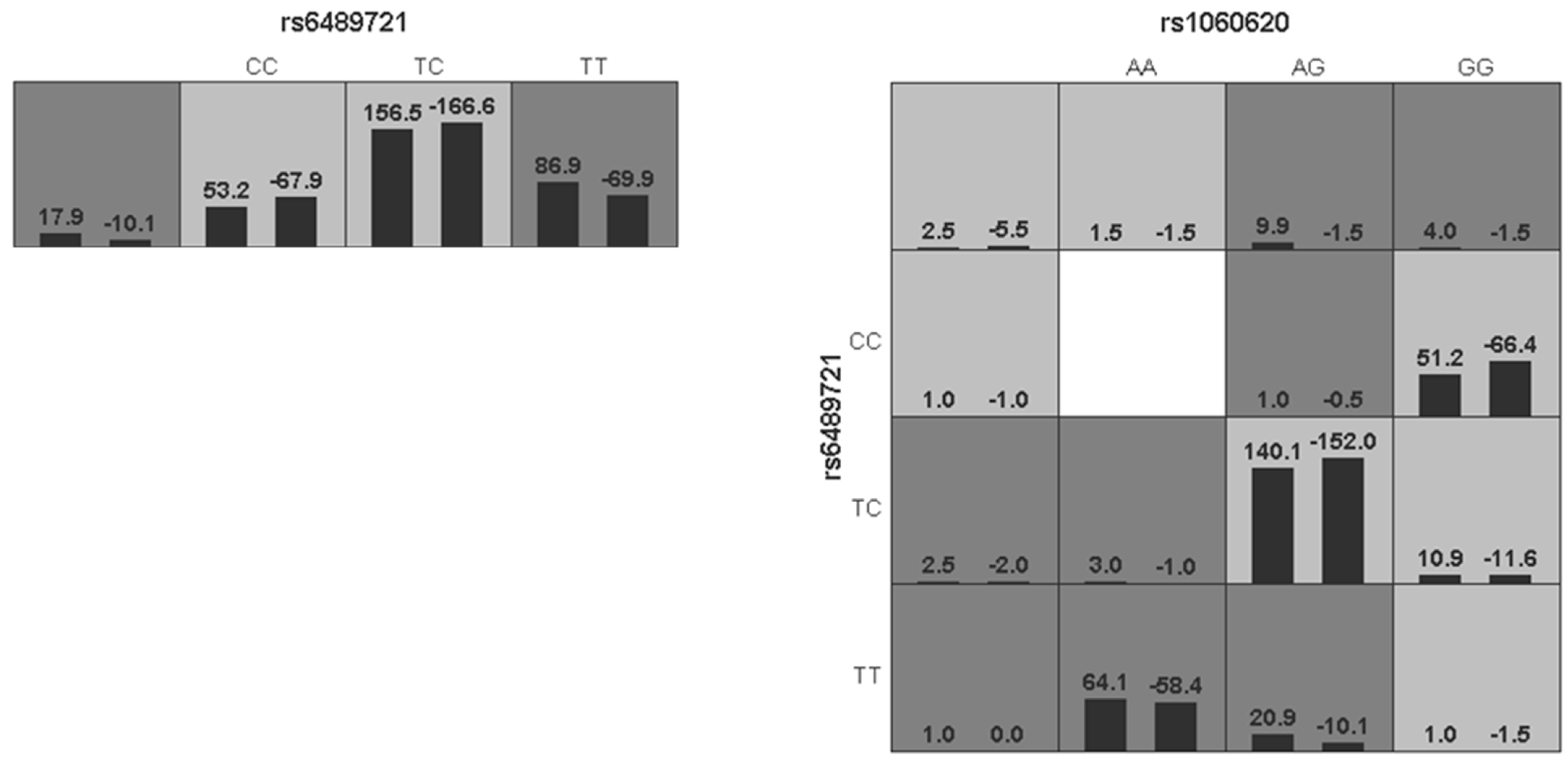
3.6. Average Hearing Thresholds in Relation to the Genotypes of Four SNPs
3.7. MDR Analysis of Interactions among the Four SNPs
3.8. GAPDH Gene Expression in Relation to rs6489721 Genotype and Presence of NIHL
4. Discussion
5. Conclusions
Author Contributions
Funding
Acknowledgments
Conflicts of Interest
References
- The National Institute for Occupational Safety and Health. Available online: https://www.cdc.gov/niosh/topics/ohl/ (accessed on 19 November 2019).
- Dobie, R.A. The burdens of age-related and occupational noise-induced hearing loss in the United States. Ear Hear. 2008, 29, 565. [Google Scholar] [CrossRef]
- Ling, Z.; Chuanwei, D.; Yuqiang, L.; Yimin, L. Research on hyperglycemia aggravating hearing loss caused by industrial noise. Occup. Health Emerg. Rescue 2018, 36, 37–40. [Google Scholar]
- WHO. Prevention of Blindness and Deafness and Grades of Hearing Impairment. Available online: https://www.who.int/en/news-room/fact-sheets/detail/deafness-and-hearing-loss (accessed on 19 November 2019).
- Mathers, C.; Smith, A.; Concha, M. Global burden of hearing loss in the year 2000. Glob. Burd. Dis. 2001, 18, 1–30. [Google Scholar]
- Annelies, K.; Lut, V.L.; Guy, V.C. Genetic studies on noise-induced hearing loss: A review. Ear Hear. 2009, 30, 151–159. [Google Scholar]
- Lim, D.J. Effects of noise and ototoxic drugs at the cellular level in the cochlea: A review. Am. J. Otolaryngol. 1986, 7, 73–99. [Google Scholar] [CrossRef]
- Sliwinska-Kowalska, M.; Pawelczyk, M. Contribution of genetic factors to noise-induced hearing loss: A human studies review. Mutat. Res./Rev. Mutat. Res. 2013, 752, 61–65. [Google Scholar] [CrossRef] [PubMed]
- Ward, W.D. Endogenous factors related to susceptibility to damage from noise. Occup. Med. 1995, 10, 561. [Google Scholar] [PubMed]
- Mariola, S.K. Organic solvent exposure and hearing loss. Occup. Environ. Med. 2008, 65, 222–223. [Google Scholar]
- Sliwińska-Kowalska, M.; Dudarewicz, A.; Kotyło, P.; Zamysłowska-Szmytke, E.; Pawlaczyk-Łuszczyńska, M.; Gajda-Szadkowska, A. Individual susceptibility to noise-induced hearing loss: Choosing an optimal method of retrospective classification of workers into noise-susceptible and noise-resistant groups. Int. J. Occup. Med. Environ. Health 2006, 19, 235–245. [Google Scholar] [CrossRef]
- Henderson, D.; Subramaniam, M.; Boettcher, F.A. Individual susceptibility to noise-induced hearing loss: An old topic revisited. Ear Hear. 1993, 14, 152–168. [Google Scholar] [CrossRef]
- Ohlemiller, K.K.; Mcfadden, S.L.; Ding, D.L.; Lear, P.M.; Ho, Y.S. Targeted mutation of the gene for cellular glutathione peroxidase (Gpx1) increases noise-induced hearing loss in mice. J. Assoc. Res. Otolaryngol. 2000, 1, 243–254. [Google Scholar] [CrossRef] [PubMed]
- Fairfield, D.A.; Lomax, M.I.; Dootz, G.A.; Shu, C.; Galecki, A.T.; Benjamin, I.J.; Dolan, D.F.; Altschuler, R.A. Heat shock factor 1-deficient mice exhibit decreased recovery of hearing following noise overstimulation. J. Neurosci. Res. 2010, 81, 589–596. [Google Scholar] [CrossRef]
- Holme, R.H.; Steel, K.P. Progressive hearing loss and increased susceptibility to noise-induced hearing loss in mice carrying a Cdh23 but not a Myo7a mutation. J. Assoc. Res. Otolaryngol. Jaro 2004, 5, 66–79. [Google Scholar] [CrossRef] [PubMed][Green Version]
- Ohlemiller, K.K.; Mcfadden, S.L.; Ding, D.L.; Flood, D.G.; Reaume, A.G.; Hoffman, E.K.; Scott, R.W.; Wright, J.S.; Putcha, G.V.; Salvi, R.J. Targeted deletion of the cytosolic Cu/Zn-superoxide dismutase gene (Sod1) increases susceptibility to noise-induced hearing loss. Audiol. Neurootol. 1999, 4, 237–246. [Google Scholar] [CrossRef]
- Kozel, P.J.; Davis, R.R.; Krieg, E.F.; Shull, G.E.; Erway, L.C. Deficiency in plasma membrane calcium ATPase isoform 2 increases susceptibility to noise-induced hearing loss in mice. Hear. Res. 2002, 164, 231–239. [Google Scholar] [CrossRef]
- Konings, A.; Van Laer, L.; Pawelczyk, M.; Carlsson, P.-I.; Bondeson, M.-L.; Rajkowska, E.; Dudarewicz, A.; Vandevelde, A.; Fransen, E.; Huyghe, J. Association between variations in CAT and noise-induced hearing loss in two independent noise-exposed populations. Hum. Mol. Genet. 2007, 16, 1872–1883. [Google Scholar] [CrossRef]
- Shen, H.; Huo, X.; Liu, K.; Li, X.; Gong, W.; Zhang, H.; Xu, Y.; Wang, M.; Li, X.; Zhang, J. Genetic variation in GSTM1 is associated with susceptibility to noise-induced hearing loss in a Chinese population. J. Occup. Environ. Med. 2012, 54, 1157–1162. [Google Scholar] [CrossRef]
- Kowalski, T.J.; Pawelczyk, M.; Rajkowska, E.; Dudarewicz, A.; Sliwinskakowalska, M. Genetic variants of CDH23 associated with noise-induced hearing loss. Otol. Neurotol. 2014, 35, 358–365. [Google Scholar] [CrossRef]
- Shen, H.; Jinglian, C.; Zhiqiang, H.; Kai, L.; Jian, S.; Lu, D.; Hengdong, Z.; Cheng, D.; Qian, L.; Zhengdong, Z. A Functional Ser326Cys Polymorphism in hOGG1 Is Associated with Noise-Induced Hearing Loss in a Chinese Population. PLoS ONE 2014, 9, e89662. [Google Scholar] [CrossRef]
- Annelies, K.; Lut, V.L.; Sophie, M.; Malgorzata, P.; Per-Inge, C.; Marie-Louise, B.; Elzbieta, R.; Adam, D.; Ann, V.; Erik, F. Variations in HSP70 genes associated with noise-induced hearing loss in two independent populations. Eur. J. Hum. Genet. Ejhg 2009, 17, 329. [Google Scholar]
- Pawelczyk, M.; Laer, L.V.; Fransen, E.; Rajkowska, E.; Konings, A.; Carlsson, P.I.; Borg, E.; Camp, G.V.; Sliwinska-Kowalska, M. Analysis of gene polymorphisms associated with K+ Ion circulation in the inner ear of patients susceptible and resistant to noise-induced hearing loss. Ann. Hum. Genet. 2012, 73, 411–421. [Google Scholar] [CrossRef] [PubMed]
- Tristan, C.; Shahani, N.; Sedlak, T.W.; Sawa, A. The diverse functions of GAPDH: Views from different subcellular compartments. Cell. Signal. 2011, 23, 317–323. [Google Scholar] [CrossRef] [PubMed]
- Colell, A.; Green, D.R.; Ricci, J.-E. Novel roles for GAPDH in cell death and carcinogenesis. Cell Death Differ. 2009, 16, 1573–1581. [Google Scholar] [CrossRef]
- Mazurek, B.; Amarjargal, N.; Haupt, H.; Fuchs, J.; Olze, H. Expression of genes implicated in oxidative stress in the cochlea of newborn rats. Hear. Res. 2011, 277, 54–60. [Google Scholar] [CrossRef]
- Hidemitsu, N.; Wataru, A.; Akikazu, F.; Ayano, F.; Yasu-Taka, A.; Fumiaki, H.; Takashi, I.; Tadayoshi, T. The active site cysteine of the proapoptotic protein glyceraldehyde-3-phosphate dehydrogenase is essential in oxidative stress-induced aggregation and cell death. J. Biol. Chem. 2007, 282, 26562. [Google Scholar]
- Chuang, D.M.; Hough, C.; Senatorov, V.V. Glyceraldehyde-3-phosphate dehydrogenase, apoptosis, and neurodegenerative diseases. Annu. Rev. Pharmacol. Toxicol. 2004, 45, 269. [Google Scholar] [CrossRef]
- Donald, H.; Bielefeld, E.C.; Kelly Carney, H.; Hua, H.B. The role of oxidative stress in noise-induced hearing loss. Ear Hear. 2006, 27, 1–19. [Google Scholar]
- Chen, K.; Zhou, Y.-x.; Li, K.; Qi, L.-x.; Zhang, Q.-f.; Wang, M.-c.; Xiao, J.-h. A novel three-round multiplex PCR for SNP genotyping with next generation sequencing. Anal. Bioanal. Chem. 2016, 408, 4371–4377. [Google Scholar] [CrossRef]
- Shi, Y.; HE, L. SHEsis, a powerful software platform for analyses of linkage disequilibrium, haplotype construction, and genetic association at polymorphism loci. Cell Res. 2005, 15, 97–98. [Google Scholar] [CrossRef]
- Cohen, J. Statistical Power Analysis for the Behavioral Sciences, 2nd ed.; Lawrence Erlbaum Associates: Hillsdale, NJ, USA, 1988. [Google Scholar]
- Miao, L.; Ji, J.; Wan, L.; Zhang, J.; Yin, L.; Pu, Y. An overview of research trends and genetic polymorphisms for noise-induced hearing loss from 2009 to 2018. Environ. Sci. Pollut. Res. 2019. [Google Scholar] [CrossRef]
- Han, W.; Chen, X. Mechanisms of Noise Induced Cochlea Injury. Chin. J. Otol. 2013, 11, 357–362. [Google Scholar]
- Wei, P.Y.; Henderson, D.; Hu, B.H.; Nicotera, T.M. Quantitative analysis of apoptotic and necrotic outer hair cells after exposure to different levels of continuous noise. Hear. Res. 2004, 196, 69–76. [Google Scholar]
- Yamashita, D.; Miller, J.M.; Jiang, H.Y.; Minami, S.B.; Schacht, J. AIF and EndoG in noise-induced hearing loss. Neureport 2004, 15, 2719–2722. [Google Scholar]
- Nicotera, T.; Hu, B.H.; Henderson, D. The caspase pathway in noise-induced apoptosis of the chinchilla cochlea. J. Assoc. Res. Otolaryngol. 2003, 4, 466–477. [Google Scholar] [CrossRef] [PubMed]
- Singh, R.; Green, M. Sequence-specific binding of transfer RNA by glyceraldehyde-3-phosphate dehydrogenase. Science 1993, 259, 365–368. [Google Scholar] [CrossRef] [PubMed]
- Baxi, M.D.; Vishwanatha, J.K. Uracil DNA-glycosylase/glyceraldehyde-3-phosphate dehydrogenase is an Ap4A binding protein. Biochemistry 1995, 34, 9700–9707. [Google Scholar] [CrossRef] [PubMed]
- Morero, R.D.; Lopez Vinals, A.; Bloj, B.; Farias, R.N. Fusion of phospholipid vesicles induced by muscle glyceraldehyde-3-phosphate dehydrogenase in the absence of calcium. Biochemistry 1985, 24, 1904–1909. [Google Scholar] [CrossRef]
- Tajima, H.; Tsuchiya, K.; Yamada, M.; Kondo, K.; Katsube, N.; Ishitani, R. Over-expression of GAPDH induces apoptosis in COS-7 cells transfected with cloned GAPDH cDNAs. Neuroreport 1999, 10, 2029–2033. [Google Scholar] [CrossRef]
- Hara, M.R.; Thomas, B.; Cascio, M.B.; Bae, B.I.; Snyder, S.H. Neuroprotection by pharmacologic blockade of the GAPDH death cascade. Proc. Natl. Acad. Sci. USA 2006, 103, 3887–3889. [Google Scholar] [CrossRef]
- Tarze, A.; Deniaud, A.; Bras, M.L.; Maillier, E.; Brenner, C. GAPDH, a novel regulator of the pro-apoptotic mitochondrial membrane permeabilization. Oncogene 2007, 26, 2606–2620. [Google Scholar] [CrossRef]
- Sen, N.; Hara, M.R.; Kornberg, M.D.; Cascio, M.B.; Bae, B.-I.; Shahani, N.; Thomas, B.; Dawson, T.M.; Dawson, V.L.; Snyder, S.H. Nitric oxide-induced nuclear GAPDH activates p300/CBP and mediates apoptosis. Nat. Cell Biol. 2008, 10, 866–873. [Google Scholar] [CrossRef] [PubMed]







| SNP ID | Forward Primer (5′~3′) | Reverse Primer (5′~3′) |
|---|---|---|
| rs1136666 | CTAGGCGCTCACTGTTCTC | CTGACCTTGAGCTCTCCTTG |
| rs1803621 | GAAAAACCTGCCAAATATGATGAC | GCACTTTTTAAGAGCCAGTCTC |
| rs1060620 | TTTATGGAGGTCCTCTTGTGTC | CATTTACAGCCTGGCCTTTG |
| rs6489721 | TCTCAGCCTTTGAAAGAAAGAAAG | GAAGGGACTGAGATTGGCC |
| Variables | Case (n = 633) | Control (n = 625) | p | ||
|---|---|---|---|---|---|
| n | % | n | % | ||
| Age (years) (Mean ± SD) | 40.2 ± 7.4 | 40.2 ± 7.9 | 0.989 * | ||
| Sex | |||||
| Male | 593 | 93.7 | 587 | 93.9 | 0.860 ** |
| Female | 40 | 6.3 | 38 | 6.1 | |
| Exposure level [dB(A)] | 87.4 ± 7.7 | 88.2 ± 7.8 | 0.101 * | ||
| Exposure time (years) | 18.3 ± 8.4 | 17.6 ± 8.8 | 0.109 * | ||
| Threshold [dB(A)] | 37.5 ± 12.1 | 15.3 ± 4.7 | <0.001 * | ||
| Smoking | |||||
| Now | 371 | 58.6 | 351 | 56.2 | 0.675 ** |
| Ever | 13 | 2.1 | 13 | 2.1 | |
| Never | 249 | 39.3 | 261 | 41.8 | |
| Drinking | |||||
| Now | 272 | 43.0 | 272 | 43.5 | 0.967 ** |
| Ever | 11 | 1.7 | 10 | 1.6 | |
| Never | 350 | 55.3 | 343 | 54.9 | |
| SNP | Alleles | Chromosome | TagSNPs | MAF | p for HWE b |
|---|---|---|---|---|---|
| HapMap a | |||||
| rs1136666 | C/G | 12:6534825 | rs1136666 | 0.25 (G) | 0.305 |
| rs1803621 | C/T | 12:6537943 | rs1060620 | 0.41 (C) | 0.159 |
| rs1060620 | G/A | 12:6535556 | rs1060620; rs1803621; rs1065691; rs2886093; rs1060619; rs1803622 | 0.41 (G) | 0.165 |
| rs6489721 | T/C | 12:6534150 | rs3741918 | 0.34 (C) | 0.068 |
| Genetic Model | Genotypes | Case | Control | pa | Adjusted OR 95% (CI) a | ||
|---|---|---|---|---|---|---|---|
| n = 633 | n = 625 | ||||||
| rs1136666 | n = 606 | % | n = 615 | % | |||
| Codominant | CC | 371 | 61.2 | 343 | 55.7 | 0.343 | 1.305 (0.752,2.266) |
| CG | 210 | 34.6 | 242 | 39.3 | 0.886 | 1.042 (0.594,1.829) | |
| GG | 25 | 4.1 | 30 | 4.8 | 1.000 (Reference) | ||
| Dominant | CC | 371 | 61.2 | 343 | 55.7 | 0.048 | 1.259 (1.002,1.583) |
| CG/GG | 235 | 38.7 | 272 | 44.1 | 1.000 (Reference) | ||
| Recessive | CG/CC | 581 | 95.8 | 585 | 95 | 0.517 | 1.197 (0.695,2.062) |
| GG | 25 | 4.1 | 30 | 4.8 | 1.000 (Reference) | ||
| Alleles | C | 952 | 78.5 | 928 | 75.4 | 1.000 (Reference) | |
| G | 260 | 21.5 | 302 | 24.6 | 0.059 | 0.830 (0.684,1.007) | |
| rs1803621 | n = 593 | % | n = 606 | % | |||
| Codominant | CC | 150 | 25.2 | 178 | 29.3 | 1.000 (Reference) | |
| TC | 321 | 54.1 | 322 | 53.1 | 0.222 | 1.181 (0.904,1.543) | |
| TT | 122 | 20.5 | 106 | 17.4 | 0.080 | 1.354 (0.964,1.902) | |
| Dominant | CC | 150 | 25.2 | 178 | 29.3 | 1.000 (Reference) | |
| TC/TT | 443 | 74.6 | 428 | 70.5 | 0.120 | 1.224 (0.949,1.580) | |
| Recessive | TC/CC | 471 | 79.3 | 500 | 82.4 | 1.000 (Reference) | |
| TT | 122 | 20.5 | 106 | 17.4 | 0.192 | 1.213 (0.908,1.621) | |
| Alleles | C | 621 | 52.4 | 678 | 55.9 | 1.000 (Reference) | |
| T | 565 | 47.6 | 534 | 44.1 | 0.073 | 1.166 (0.986,1.380) | |
| rs1060620 | n = 619 | % | n = 608 | % | |||
| Codominant | GG | 135 | 21.8 | 161 | 26.4 | 1.000 (Reference) | |
| AG | 346 | 55.8 | 326 | 53.6 | 0.093 | 1.265 (0.961,1.664) | |
| AA | 138 | 22.2 | 121 | 19.9 | 0.076 | 1.355 (0.969,1.894) | |
| Dominant | GG | 135 | 21.8 | 161 | 26.4 | 1.000 (Reference) | |
| AG/AA | 484 | 78.0 | 447 | 73.5 | 0.058 | 1.289 (0.991,1.676) | |
| Recessive | AG/GG | 481 | 77.6 | 487 | 80.0 | 1.000 (Reference) | |
| AA | 138 | 22.2 | 121 | 19.9 | 0.318 | 1.150 (0.874,1.515) | |
| Alleles | G | 616 | 49.8 | 648 | 53.3 | 1.000 (Reference) | |
| A | 622 | 50.2 | 568 | 46.7 | 0.070 | 1.167 (0.987,1.379) | |
| rs6489721 | n = 597 | % | n = 605 | % | |||
| Codominant | TT | 175 | 29.3 | 139 | 22.9 | 0.008 | 1.586 (1.131,2.225) |
| TC | 315 | 52.7 | 331 | 54.7 | 0.234 | 1.198 (0.890,1.612) | |
| CC | 107 | 17.9 | 135 | 22.3 | 1.000 (Reference) | ||
| Dominant | TT | 175 | 29.3 | 139 | 22.9 | 0.013 | 1.391 (1.073,1.804) |
| TC/CC | 422 | 70.6 | 466 | 77.0 | 1.000 (Reference) | ||
| Recessive | TC/TT | 490 | 82.0 | 470 | 77.6 | 0.061 | 1.312 (0.988,1.743) |
| CC | 107 | 17.9 | 135 | 22.3 | 1.000 (Reference) | ||
| Alleles | T | 665 | 55.7 | 609 | 50.3 | 0.006 | 1.262 (1.066,1.493) |
| C | 529 | 44.3 | 601 | 49.7 | 1.000 (Reference) | ||
| rs1136666 | ||||||
| Variables | CC (case/control) | CG/GG (case/control) | pa | OR (95% CI) a | ||
| n | % | n | % | |||
| Age (years) | ||||||
| <40 | 161/142 | 30.1/26.5 | 108/124 | 20.2/23.2 | 0.131 | 1.302 (0.924,1.834) |
| ≥40 | 210/201 | 30.6/29.3 | 127/148 | 18.5/21.6 | 0.207 | 1.218 (0.897,1.653) |
| Sex | ||||||
| Male | 344/322 | 30.1/28.1 | 223/255 | 19.5/22.3 | 0.095 | 1.222 (0.965,1.546) |
| Female | 27/21 | 35.1/27.3 | 12/17 | 15.6/22.1 | 0.206 | 1.821 (0.716,4.632) |
| Exposure level [dB(A)] | ||||||
| ≤85 | 142/94 | 35.5/23.5 | 82/82 | 20.5/20.5 | 0.044 | 1.511 (1.011,2.258) |
| 85–92 | 65/54 | 31.9/26.5 | 43/42 | 21.1/20.6 | 0.569 | 1.176 (0.673,2.054) |
| >92 | 112/119 | 28.6/30.4 | 75/85 | 19.2/21.7 | 0.754 | 1.067 (0.712,1.597) |
| Exposure time (years) | ||||||
| ≤20 | 219/211 | 29.6/28.5 | 138/173 | 18.6/23.3 | 0.078 | 1.301 (0.971,1.744) |
| >20 | 152/132 | 31.7/27.5 | 97/99 | 20.2/20.6 | 0.385 | 1.175 (0.816,1.692) |
| Smoking | ||||||
| Now | 215/186 | 30.6/26.5 | 142/160 | 20.2/22.8 | 0.083 | 1.302 (0.966,1.757) |
| Ever | 5/8 | 20.8/33.3 | 6/5 | 25.0/20.8 | 0.431 | 0.521 (0.102,2.658) |
| Never | 151/149 | 30.6/30.2 | 87/107 | 17.6/21.7 | 0.233 | 1.246 (0.868,1.791) |
| Drinking | ||||||
| Now | 152/148 | 28.9/28.1 | 106/120 | 20.2/22.8 | 0.393 | 1.163 (0.823,1.643) |
| Ever | 8/3 | 38.1/14.3 | 3/7 | 14.3/33.3 | 0.086 | 6.222 (0.936,41.382) |
| Never | 211/192 | 31.3/28.5 | 126/145 | 18.7/21.5 | 0.136 | 1.265 (0.929,1.722) |
| rs1803621 | ||||||
| Variables | CC (case/control) | TC/TT (case/control) | pa | OR (95% CI) a | ||
| n | % | n | % | |||
| Age (years) | ||||||
| <40 | 62/72 | 11.9/13.8 | 200/189 | 38.2/36.1 | 0.304 | 0.814 (0.549,1.206) |
| ≥40 | 88/106 | 13.0/15.7 | 243/239 | 35.9/35.4 | 0.234 | 0.817 (0.584,1.141) |
| Sex | ||||||
| Male | 139/171 | 12.4/15.2 | 414/398 | 36.9/35.5 | 0.066 | 0.781 (0.601,1.016) |
| Female | 11/7 | 14.3/9.1 | 29/30 | 37.7/39.0 | 0.374 | 1.626 (0.554,4.769) |
| Exposure level [dB(A)] | ||||||
| ≤85 | 50/52 | 12.7/13.2 | 171/122 | 43.3/30.9 | 0.102 | 0.686 (0.436,1.078) |
| 85–92 | 33/29 | 16.5/14.5 | 74/64 | 37.0/32.0 | 0.958 | 0.984 (0.540,1.794) |
| >92 | 43/48 | 11.3/12.7 | 136/152 | 35.9/40.1 | 0.996 | 1.001 (0.624,1.605) |
| Exposure time (years) | ||||||
| ≤20 | 91/105 | 12.5/14.4 | 260/273 | 35.7/37.4 | 0.573 | 0.910 (0.655,1.263) |
| >20 | 59/73 | 12.6/15.5 | 183/155 | 38.9/33.0 | 0.066 | 0.685 (0.457,1.026) |
| Smoking | ||||||
| Now | 90/100 | 13.1/14.6 | 256/240 | 37.3/35.0 | 0.320 | 0.844 (0.604,1.179) |
| Ever | 3/2 | 12.0/8.0 | 9/11 | 36.0/44.0 | 0.645 | 1.833 (0.250,13.470) |
| Never | 57/76 | 11.7/15.6 | 178/177 | 36.5/36.3 | 0.152 | 0.746 (0.499,1.114) |
| Drinking | ||||||
| Now | 66/79 | 12.9/15.4 | 187/180 | 36.5/35.2 | 0.268 | 0.804 (0.547,1.183) |
| Ever | 4/3 | 20.0/15.0 | 6/7 | 30.0/35.0 | 1.000 | 1.556 (0.244,9.913) |
| Never | 80/96 | 12.0/14.4 | 250/241 | 37.5/36.1 | 0.214 | 0.803 (0.569,1.135) |
| rs1060620 | ||||||
| Variables | GG (case/control) | AG/AA (case/control) | Pa | OR (95% CI) a | ||
| n | % | n | % | |||
| Age (years) | ||||||
| <40 | 58/71 | 10.7/13.1 | 217/194 | 40.2/35.9 | 0.120 | 0.730 (0.491,1.087) |
| ≥40 | 77/90 | 11.2/13.1 | 267/253 | 38.9/36.8 | 0.239 | 0.811 (0.572,1.150) |
| Sex | ||||||
| Male | 125/155 | 10.9/13.5 | 455/416 | 39.5/36.1 | 0.027 | 1.356 (1.035,1.778) |
| Female | 10/6 | 13.2/7.9 | 29/31 | 38.2/40.8 | 0.314 | 1.782 (0.575,5.525) |
| Exposure level [dB(A)] | ||||||
| ≤85 | 44/47 | 11.1/11.8 | 181/125 | 45.6/31.5 | 0.068 | 0.647 (0.404,1.035) |
| 85–92 | 27/25 | 13.2/12.2 | 83/70 | 40.5/34.1 | 0.771 | 0.911 (0.485,1.710) |
| >92 | 44/43 | 11.0/10.8 | 154/159 | 38.5/39.8 | 0.821 | 1.056 (0.657,1.699) |
| Exposure time (years) | ||||||
| ≤20 | 82/99 | 11.0/13.2 | 284/283 | 38.0/37.8 | 0.262 | 0.825 (0.590,1.155) |
| >20 | 53/62 | 11.1/12.9 | 200/164 | 41.8/34.2 | 0.097 | 0.701 (0.460,1.068) |
| Smoking | ||||||
| Now | 80/91 | 11.4/12.9 | 283/249 | 40.3/35.4 | 0.144 | 0.774 (0.548,1.093) |
| Ever | 1/1 | 4.0/4.0 | 12/11 | 48.0/44.0 | 1.000 | 0.917 (0.051,16.494) |
| Never | 54/69 | 10.8/13.8 | 189/187 | 37.9/37.5 | 0.220 | 0.774 (0.514,1.166) |
| Drinking | ||||||
| Now | 61/72 | 11.6/13.6 | 206/189 | 39.0/35.8 | 0.210 | 0.777 (0.524,1.153) |
| Ever | 1/3 | 4.8/14.3 | 10/7 | 47.6/33.3 | 0.311 | 0.233 (0.020,2.733) |
| Never | 73/86 | 10.8/12.7 | 268/251 | 39.5/37.0 | 0.206 | 0.795 (0.557,1.135) |
| rs6489721 | ||||||
| Variables | TT (case/control) | TC/CC (case/control) | pa | OR (95% CI) a | ||
| n | % | n | % | |||
| Age (years) | ||||||
| <40 | 76/58 | 14.4/11.0 | 188/206 | 35.6/39.0 | 0.072 | 1.436 (0.967,2.131) |
| ≥40 | 99/81 | 14.7/12.0 | 234/260 | 34.7/38.6 | 0.080 | 1.358 (0.964,1.913) |
| Sex | ||||||
| Male | 163/128 | 14.5/11.4 | 395/440 | 35.1/39.1 | 0.011 | 1.419 (1.085,1.855) |
| Female | 12/11 | 15.8/14.5 | 27/26 | 35.5/34.2 | 0.921 | 1.051 (0.394,2.798) |
| Exposure level [dB(A)] | ||||||
| ≤85 | 64/40 | 16.5/10.3 | 154/129 | 19.8/33.3 | 0.211 | 1.340 (0.847,2.121) |
| 85–92 | 35/22 | 17.4/10.9 | 73/71 | 36.3/35.3 | 0.170 | 1.547 (0.828,2.892) |
| >92 | 55/48 | 14.1/12.3 | 130/156 | 33.4/40.1 | 0.166 | 1.375 (0.875,2.160) |
| Exposure time (years) | ||||||
| ≤20 | 108/86 | 14.7/11.7 | 246/294 | 33.5/40.1 | 0.016 | 1.501 (1.079,2.088) |
| >20 | 67/53 | 14.3/11.3 | 176/172 | 37.6/36.8 | 0.320 | 1.235 (0.814,1.875) |
| Smoking | ||||||
| Now | 98/82 | 14.2/11.9 | 252/256 | 36.6/37.2 | 0.265 | 1.214 (0.863,1.707) |
| Ever | 3/3 | 12.5/12.5 | 9/9 | 37.5/37.5 | 1.000 | 1.000 (0.158,6.346) |
| Never | 74/54 | 15.1/11.0 | 161/201 | 32.9/41.0 | 0.009 | 1.711 (1.138,2.571) |
| Drinking | ||||||
| Now | 61/59 | 11.8/11.4 | 195/202 | 37.7/39.1 | 0.742 | 1.071 (0.712,1.611) |
| Ever | 4/2 | 19.0/9.5 | 7/8 | 33.3/38.1 | 0.635 | 2.286 (0.316,16.512) |
| Never | 110/78 | 16.6/11.7 | 220/256 | 33.1/38.6 | 0.004 | 1.641 (1.166,2.309) |
| Factors | Genotype | Case (N) | % | Control (N) | % | pa | OR (CI95%) a |
|---|---|---|---|---|---|---|---|
| Age | |||||||
| <40 | TT | 76 | 12.7 | 58 | 9.6 | 1.0 | |
| <40 | TC + CC | 188 | 31.5 | 206 | 34.0 | 0.077 | 0.700 (0.472–1.040) |
| ≥40 | TT | 99 | 16.6 | 81 | 13.4 | 0.728 | 0.923 (0.588–1.450) |
| ≥40 | TC + CC | 234 | 39.2 | 260 | 43.0 | 0.050 | 0.679 (0.462–1.000) |
| Exposure level [dB(A)] | |||||||
| ≤85 | TT | 64 | 12.5 | 40 | 8.6 | 1.0 | |
| ≤85 | TC + CC | 154 | 30.1 | 129 | 27.7 | 0.205 | 0.742 (0.469–1.177) |
| 85–92 | TT | 35 | 6.8 | 22 | 4.7 | 0.939 | 0.974 (0.501–1.896) |
| 85–92 | TC + CC | 73 | 14.3 | 71 | 15.2 | 0.075 | 0.627 (0.374–1.049) |
| >92 | TT | 55 | 10.8 | 48 | 10.3 | 0.171 | 0.676 (0.386–1.184) |
| >92 | TC + CC | 130 | 25.4 | 156 | 33.5 | 0.003 | 0.495 (0.311–0.790) |
| Haplotypes a | Case (n = 566) | Control (n = 566) | pb | Adjusted OR (95% CI) c | Global p d | Holm | SidakSS | SidakSD | ||
|---|---|---|---|---|---|---|---|---|---|---|
| N | % | N | % | 0.058 | ||||||
| CCGC | 266 | 23.2 | 291 | 24.7 | 0.170 | 0.876 [0.726–1.058] | 0.511 | 0.893 | 0.429 | |
| CTAT | 535 | 46.8 | 516 | 43.9 | 0.618 | 1.041 [0.888–1.219] | 0.618 | 0.999 | 0.618 | |
| GCGC | 232 | 20.3 | 283 | 24.1 | 0.007 | 0.766 [0.631–0.931] | 0.029 | 0.084 | 0.028 | |
| CCGT | 53 | 4.6 | 40 | 3.4 | 0.189 | 1.321 [0.870–2.007] | 0.511 | 0.919 | 0.429 | |
| Model | Training Bal.ACC | Testing Bal.Acc | CV Consistency | Sign Test (p) |
|---|---|---|---|---|
| rs6489721 | 0.5395 | 0.5394 | 10/10 | 9 (0.0107) |
| rs1060620-rs6489721 | 0.5512 | 0.5155 | 8/10 | 7 (0.1719) |
| rs1803621-rs1060620-rs6489721 | 0.5611 | 0.5198 | 10/10 | 7 (0.1719) |
| rs1136666-1803621-rs1060620-rs6489721 | 0.5690 | 0.5143 | 10/10 | 7 (0.1719) |
© 2020 by the authors. Licensee MDPI, Basel, Switzerland. This article is an open access article distributed under the terms and conditions of the Creative Commons Attribution (CC BY) license (http://creativecommons.org/licenses/by/4.0/).
Share and Cite
Wan, L.; Wang, B.; Zhang, J.; Zhu, B.; Pu, Y. Associations of Genetic Variation in Glyceraldehyde 3-Phosphate Dehydrogenase Gene with Noise-Induced Hearing Loss in a Chinese Population: A Case-Control Study. Int. J. Environ. Res. Public Health 2020, 17, 2899. https://doi.org/10.3390/ijerph17082899
Wan L, Wang B, Zhang J, Zhu B, Pu Y. Associations of Genetic Variation in Glyceraldehyde 3-Phosphate Dehydrogenase Gene with Noise-Induced Hearing Loss in a Chinese Population: A Case-Control Study. International Journal of Environmental Research and Public Health. 2020; 17(8):2899. https://doi.org/10.3390/ijerph17082899
Chicago/Turabian StyleWan, Liu, Boshen Wang, Juan Zhang, Baoli Zhu, and Yuepu Pu. 2020. "Associations of Genetic Variation in Glyceraldehyde 3-Phosphate Dehydrogenase Gene with Noise-Induced Hearing Loss in a Chinese Population: A Case-Control Study" International Journal of Environmental Research and Public Health 17, no. 8: 2899. https://doi.org/10.3390/ijerph17082899
APA StyleWan, L., Wang, B., Zhang, J., Zhu, B., & Pu, Y. (2020). Associations of Genetic Variation in Glyceraldehyde 3-Phosphate Dehydrogenase Gene with Noise-Induced Hearing Loss in a Chinese Population: A Case-Control Study. International Journal of Environmental Research and Public Health, 17(8), 2899. https://doi.org/10.3390/ijerph17082899

