Synthesis and Hydration Characteristic of Geopolymer Based on Lead Smelting Slag
Abstract
1. Introduction
2. Materials and Methods
2.1. Materials
2.2. Experimental Procedure
2.3. Tests
2.3.1. UCS Test
2.3.2. Leaching Test
2.3.3. Other Tests
3. Results and Discussion
3.1. Strength Optimization of LSS-Based Geopolymer
3.1.1. Effect of Modulus of Water Glass
3.1.2. Effect of Dosage of Water Glass
3.1.3. Effect of Water-To-Binder Ratio
3.2. Hydration Characteristics Analysis
3.2.1. Hydration Products Analysis
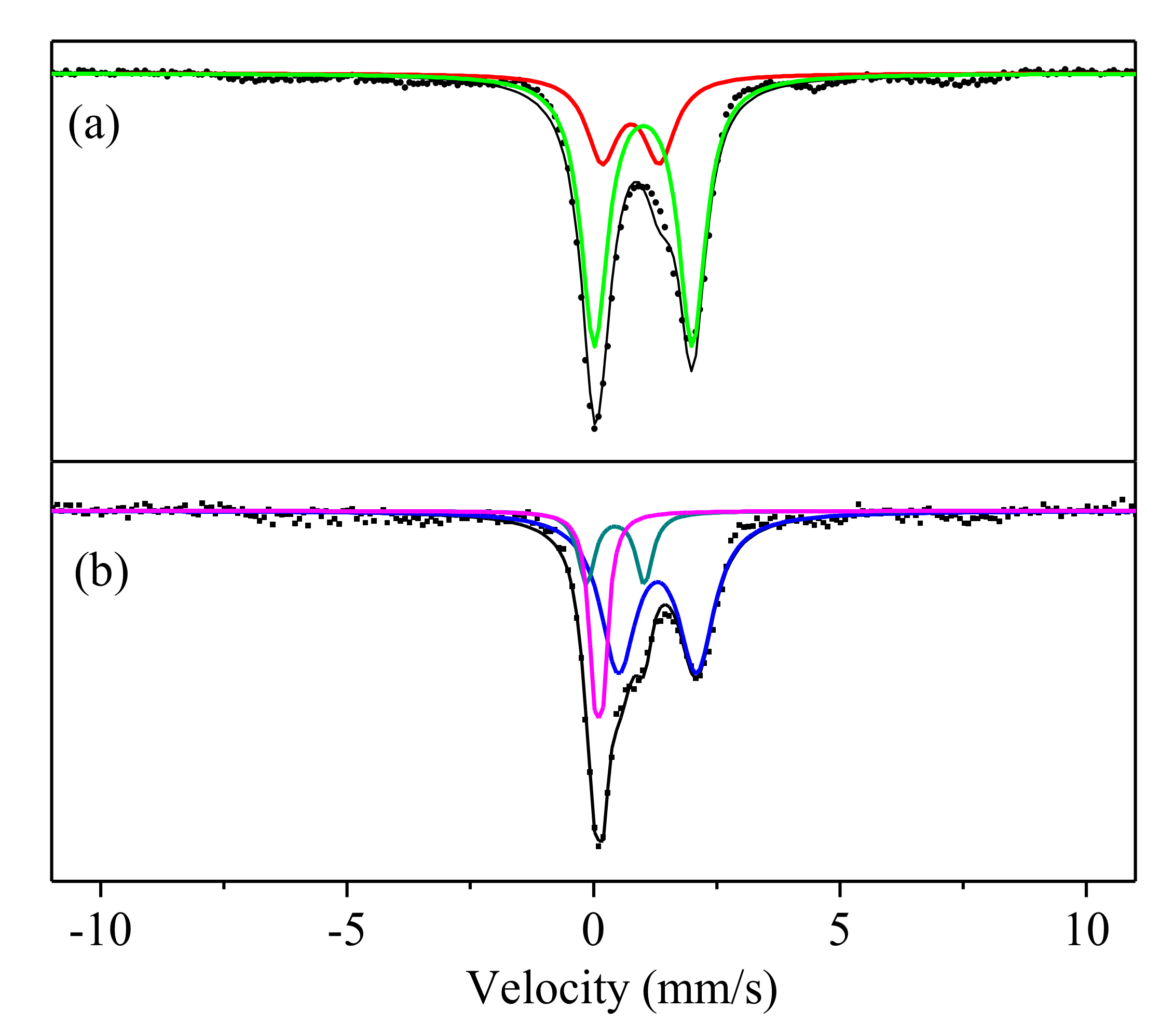
3.2.2. Iron Behavior Analysis
3.3. Heavy Metals Solidification
4. Conclusions
Author Contributions
Funding
Conflicts of Interest
References
- Gao, W.; Wang, C.Y.; Yin, F.; Chen, Y.Q.; Yang, W.J. Situation and technology progress of lead smelting in China. Adv. Mater. Res. 2012, 581–582. [Google Scholar] [CrossRef]
- Ke, Y.; Peng, N.; Xue, K.; Min, X.; Chai, L.; Pan, Q.; Liang, Y.; Xiao, R.; Wang, Y.; Tang, C.; et al. Sulfidation behavior and mechanism of zinc silicate roasted with pyrite. Appl. Surf. Sci. 2018, 435, 1011–1019. [Google Scholar] [CrossRef]
- Norgate, T.; Jahanshahi, S.; Rankin, W. Assessing the environmental impact of metal production processes. J. Clean. Prod. 2007, 15, 838–848. [Google Scholar] [CrossRef]
- Min, X.; Zhou, B.; Ke, Y.; Chai, L.; Xue, K.; Zhang, C.; Zhao, Z.; Shen, C. Sulfidation behavior of ZnFe2O4 roasted with pyrite: Sulfur inducing and sulfur-oxygen interface exchange mechanism. Appl. Surf. Sci. 2016, 371, 67–73. [Google Scholar] [CrossRef]
- Chai, L.Y.; Shi, M.Q.; Liang, Y.J.; Tang, J.W.; Li, Q.Z. Behavior, distribution and environmental influence of arsenic in a typical lead smelter. J. Cent. South Univ. 2015, 22, 1276–1286. [Google Scholar] [CrossRef]
- Li, Y.C.; Min, X.B.; Chai, L.Y.; Shi, M.Q.; Tang, C.J.; Wang, Q.W.; Liang, Y.J.; Lei, J.; Liyang, W.J. Co-treatment of gypsum sludge and Pb/Zn smelting slag for the solidification of sludge containing arsenic and heavy metals. J. Environ. Manag. 2016, 181, 756–761. [Google Scholar] [CrossRef] [PubMed]
- De Andrade Lima, L.; Bernardez, L. Characterization of the lead smelter slag in Santo Amaro, Bahia, Brazil. J. Hazard. Mater. 2011, 189, 692–699. [Google Scholar] [CrossRef]
- Kreusch, M.; Ponte, M.; Ponte, H.; Kaminari, N.; Marino, C.; Mymrin, V. Technological improvements in automotive battery recycling. Resour. Conserv. Recycl. 2007, 52, 368–380. [Google Scholar] [CrossRef]
- Ettler, V.; Komárková, M.; Jehlička, J.; Coufal, P.; Hradil, D.; Machovič, V.; Delorme, F. Leaching of lead metallurgical slag in citric solutions—implications for disposal and weathering in soil environments. Chemosphere 2004, 57, 567–577. [Google Scholar] [CrossRef]
- Saikia, N.; Cornelis, G.; Mertens, G.; Elsen, J.; Van Balen, K.; Van Gerven, T.; Vandecasteele, C. Assessment of Pb-slag, MSWI bottom ash and boiler and fly ash for using as a fine aggregate in cement mortar. J. Hazard. Mater. 2008, 154, 766–777. [Google Scholar] [CrossRef]
- Xie, X.D.; Min, X.B.; Chai, L.Y.; Tang, C.J.; Liang, Y.J.; Li, M.; Ke, Y.; Chen, J.; Wang, Y. Quantitative evaluation of environmental risks of flotation tailings from hydrothermal sulfidation-flotation process. Environ. Sci. Pollut. Res. 2013, 20, 6050–6058. [Google Scholar] [CrossRef]
- Wang, Z.X.; Chai, L.Y.; Wang, Y.Y.; Yang, Z.H.; Wang, H.Y.; Wu, X. Potential health risk of arsenic and cadmium in groundwater near Xiangjiang River, China: A case study for risk assessment and management of toxic substances. Environ. Monit. Assess. 2011, 175, 167–173. [Google Scholar] [CrossRef]
- Wang, Z.; Chai, L.; Yang, Z.; Wang, Y.; Wang, H. Identifying sources and assessing potential risk of heavy metals in soils from direct exposure to children in a mine-impacted city, Changsha, China. J. Environ. Qual. 2010, 39, 1616–1623. [Google Scholar] [CrossRef] [PubMed]
- Fei, J.C.; Min, X.B.; Wang, Z.X.; Pang, Z.H.; Liang, Y.J.; Ke, Y. Health and ecological risk assessment of heavy metals pollution in an antimony mining region: A case study from South China. Environ. Sci. Pollut. Res. 2017, 24, 27573–27586. [Google Scholar] [CrossRef] [PubMed]
- Ke, Y.; Chai, L.Y.; Min, X.B.; Tang, C.J.; Chen, J.; Wang, Y.; Liang, Y.J. Sulfidation of heavy-metal-containing neutralization sludge using zinc leaching residue as the sulfur source for metal recovery and stabilization. Miner. Eng. 2014, 61, 105–112. [Google Scholar] [CrossRef]
- Shi, C.; Meyer, C.; Behnood, A. Utilization of copper slag in cement and concrete. Resou. Conserv. Recycl. 2008, 52, 1115–1120. [Google Scholar] [CrossRef]
- Duxson, P.; Fernández-Jiménez, A.; Provis, J.L.; Lukey, G.C.; Palomo, A.; Van Deventer, J. Geopolymer technology: The current state of the art. J. Mater. Sci. 2007, 42, 2917–2933. [Google Scholar] [CrossRef]
- Van Deventer, J.S.J.; Provis, J.L.; Duxson, P.; Brice, D.G. Chemical research and climate change as drivers in the commercial adoption of alkali activated materials. Waste Biomass Valoriz. 2010, 1, 145–155. [Google Scholar] [CrossRef]
- Criado, M.; Fernández-Jiménez, A.; Palomo, A. Alkali activation of fly ash. Part III: Effect of curing conditions on reaction and its graphical description. Fuel 2010, 89, 3185–3192. [Google Scholar] [CrossRef]
- Albitar, M.; Mohamed Ali, M.S.; Visintin, P.; Drechsler, M. Effect of granulated lead smelter slag on strength of fly ash-based geopolymer concrete. Constr. Build. Mater. 2015, 83, 128–135. [Google Scholar] [CrossRef]
- Ogundiran, M.B.; Nugteren, H.W.; Witkamp, G.J. Immobilisation of lead smelting slag within spent aluminate-fly ash based geopolymers. J. Hazard. Mater. 2013, 248, 29–36. [Google Scholar] [CrossRef] [PubMed]
- Onisei, S.; Pontikes, Y.; Van Gerven, T.; Angelopoulos, G.N.; Velea, T.; Predica, V.; Moldovan, P. Synthesis of inorganic polymers using fly ash and primary lead slag. J. Hazard. Mater. 2012, 205, 101–110. [Google Scholar] [CrossRef] [PubMed]
- Fernando, P.; João, C.; Said, J. Durability and Environmental Performance of Alkali-Activated Tungsten Mine Waste Mud Mortars. J. Mater. Civil Eng. 2010, 22, 897–904. [Google Scholar] [CrossRef]
- Danutė, V.; Janavičius, E.; Kielė, A.; Parthiban, S.; Aras, K. The influence of aluminum hydroxide (Al(OH)3) additive on the physical and mechanical properties of alkali-activated slag. J. Sustain. Archit. Civil Eng. 2016, 17, 77–83. [Google Scholar] [CrossRef]
- Van Deventer, J.S.J.; Provis, J.L.; Duxson, P. Technical and commercial progress in the adoption of geopolymer cement. Miner. Eng. 2012, 29, 89–104. [Google Scholar] [CrossRef]
- Gharzouni, A.; Ouamara, L.; Sobrados, I.; Rossignol, S. Alkali-activated materials from different aluminosilicate sources: Effect of aluminum and calcium availability. J. Non-Cryst. Solids 2018, 484, 14–25. [Google Scholar] [CrossRef]
- Pan, Z.H.; Zhang, J.; Liu, W.Q. Solidification/stabilization of zinc-lead tailings by alkali activated slag cement. J. Wuhan Univ. Technol. 2015, 30, 105–108. [Google Scholar] [CrossRef]
- Koplík, J.; Kalina, L.; Másilko, J.; Šoukal, F. The characterization of fixation of Ba, Pb, and Cu in alkali-activated fly ash/blast furnace slag matrix. Materials 2016, 9, 533. [Google Scholar] [CrossRef]
- Fan, G.; Zhang, D.; Wang, X. Reduction and utilization of coal mine waste rock in China: A case study in Tiefa coalfield. Resour. Conserv. Recycl. 2014, 83, 24–33. [Google Scholar] [CrossRef]
- Chen, X.; Zhu, G.R.; Wang, J.; Chen, Q. Effect of polyacrylic resin on mechanical properties of granulated blast furnace slag based geopolymer. J. Non-Cryst. Solids 2018, 481, 4–9. [Google Scholar] [CrossRef]
- Rovnaník, P. Effect of curing temperature on the development of hard structure of metakaolin-based geopolymer. Constr. Build. Mater. 2010, 24, 1176–1183. [Google Scholar] [CrossRef]
- Temuujin, J.; van Riessen, A.; MacKenzie, K.J.D. Preparation and characterisation of fly ash based geopolymer mortars. Constr. Build. Mater. 2010, 24, 1906–1910. [Google Scholar] [CrossRef]
- Cioffi, R.; Maffucci, L.; Santoro, L. Optimization of geopolymer synthesis by calcination and polycondensation of a kaolinitic residue. Resour. Conserv. Recycl. 2003, 40, 27–38. [Google Scholar] [CrossRef]
- Akyıldız, A.; Köse, E.T.; Yıldız, A. Compressive strength and heavy metal leaching of concrete containing medical waste incineration ash. Constr. Build. Mater. 2017, 138, 326–332. [Google Scholar] [CrossRef]
- Garcia-Lodeiro, I.; Carcelen-Taboada, V.; Fernández-Jiménez, A.; Palomo, A. Manufacture of hybrid cements with fly ash and bottom ash from a municipal solid waste incinerator. Constr. Build. Mater. 2016, 105, 218–226. [Google Scholar] [CrossRef]
- Li, Y.C.; Min, X.B.; Ke, Y.; Chai, L.Y.; Shi, M.Q.; Tang, C.J.; Wang, Q.W.; Liang, Y.J.; Lei, J.; Liu, D.G. Utilization of red mud and Pb/Zn smelter waste for the synthesis of a red mud-based cementitious material. J. Hazard. Mater. 2018, 344, 343–349. [Google Scholar] [CrossRef]
- Palomo, A.; dela Fuente, J.I.L. Alkali-activated cementitous materials_ Alternative matrices for the immobilisation of hazardous wastes_ Part I. Stabilisation of boron. Cem. Concr. Res. 2003, 33, 281–288. [Google Scholar] [CrossRef]
- Soro, N.; Aldon, L.; Olivier-Fourcade, J.; Jumas, J.C.; Laval, J.P.; Blanchart, P. Role of Iron in Mullite Formation from Kaolins by Mössbauer Spectroscopy and Rietveld Refinement. J. Eur. Ceram. Soc. 2003, 86, 129–134. [Google Scholar] [CrossRef]
- Casteleina, O.; Aldon, L.; Olivier-Fourcade, J.; Jumas, J.C.; Bonnet, J.P.; Blanchart, P. 57Fe Mössbauer study of iron distribution in a kaolin raw material: Influence of the temperature and the heating rate. J. Eur. Ceram. Soc. 2002, 22, 1767–1773. [Google Scholar] [CrossRef]
- Liu, D.G.; Ke, Y.; Min, X.B.; Liang, Y.J.; Wang, Z.B.; Li, Y.C.; Fei, J.C.; Yao, L.W.; Xu, H.; Jiang, G.H. Cotreatment of MSWI fly ash and granulated lead smelting slag using a geopolymer system. Int. J. Environ. Res. Public Health 2019, 16, 156. [Google Scholar] [CrossRef]
- Aydın, S.; Baradan, B. The effect of fiber properties on high performance alkali-activated slag/silica fume mortars. Compos. Part B-Eng. 2013, 45, 63–69. [Google Scholar] [CrossRef]
- Lei, J.; Peng, B.; Min, X.; Liang, Y.; You, Y.; Chai, L. Modeling and optimization of lime-based stabilization in high alkaline arsenic-bearing sludges with a central composite design. J. Environ. Sci. Health Part A 2017, 52, 1–10. [Google Scholar] [CrossRef] [PubMed]
- Panias, D.; Giannopoulou, I.P.; Perraki, T. Effect of synthesis parameters on the mechanical properties of fly ash-based geopolymers. Colloid. Surf. A 2007, 301, 246–254. [Google Scholar] [CrossRef]
- Mardani-Aghabaglou, A.; Kalıpcılar, İ.; İnan Sezer, G.; Sezer, A.; Altun, S. Freeze–thaw resistance and chloride-ion penetration of cement-stabilized clay exposed to sulfate attack. Appl. Clay Sci. 2015, 115, 179–188. [Google Scholar] [CrossRef]
- Deja, J. Immobilization of Cr6+, Cd2+, Zn2+ and Pb2+ in alkali-activated slag binders. Cem. Concr. Res. 2002, 32, 1971–1979. [Google Scholar] [CrossRef]
- Li, C.; Sun, H.; Li, L. A review: The comparison between alkali-activated slag (Si+Ca) and metakaolin (Si+Al) cements. Cem. Concr. Res. 2010, 40, 1341–1349. [Google Scholar] [CrossRef]
- Wang, S.D.; Scrivener, K.L. 29Si and 27Al NMR study of alkali-activated slag. Cem. Concr. Res. 2003, 33, 769–774. [Google Scholar] [CrossRef]
- Mozgawa, W.; Deja, J. Spectroscopic studies of alkaline activated slag geopolymers. J. Mol. Struct. 2009, 924, 434–441. [Google Scholar] [CrossRef]
- Puertas, F.; Palacios, M.; Manzano, H.; Dolado, J.S.; Rico, A.; Rodríguez, J. A model for the C-A-S-H gel formed in alkali-activated slag cements. J. Eur. Ceram. Soc. 2011, 31, 2043–2056. [Google Scholar] [CrossRef]
- Cui, X.; He, Y.; Liu, L.; Chen, J. NaA zeolite synthesis from geopolymer precursor. MRS Commun. 2011, 1, 49–51. [Google Scholar] [CrossRef]
- Puertas, F.; Martinez-Ramirez, S.; Alonso, S.; Vázquez, T. Alkali-activated fly ash_slag cements_ Strength behaviour and hydration products. Cem. Concr. Res. 2000, 30, 1625–1632. [Google Scholar] [CrossRef]
- Homonnay, Z.; Music, S.; Nishida, T.; Kopelev, N.S.; Vertes, A. Mössbauer Spectroscopy of Sophisticated Oxides. Akadémiai Kiadó Bp. 1997, 305, 159–193. [Google Scholar]
- Nishida, T.; Tokunaga, M.; Sugata, Y.; Kubuki, S. Mössbauer study of semiconducting and ferrimagnetic fly ash-recycled glass. J. Radioanal. Nucl. Chem. 2005, 266, 171–177. [Google Scholar] [CrossRef]
- Stumm, A.; Garbev, K.; Beuchle, G.; Black, L.; Stemmermann, P.; Nüesch, R. Incorporation of zinc into calcium silicate hydrates, Part I: Formation of C-S-H(I) with C/S=2/3 and its isochemical counterpart gyrolite. Cem. Concr. Res. 2005, 35, 1665–1675. [Google Scholar] [CrossRef]
- Kara, İ.; Yilmazer, D.; TunaliAkar, S. Metakaolin based geopolymer as an effective adsorbent for adsorption of zinc(II) and nickel(II) ions from aqueous solutions. Appl. Clay Sci. 2017, 139, 54–63. [Google Scholar] [CrossRef]
- Liu, D.G.; Min, X.B.; Chai, L.Y.; Ke, Y.; Liang, Y.J.; Li, Y.C.; Yao, L.W.; Wang, Z.B. Co-treatment of flotation waste, neutralization sludge and arsenic-containing gypsum sludge from copper smelting: Solidification/stabilization of arsenic and heavy metals with minimal cement clinker. Environ. Sci. Pollut. Res. 2018, 25, 7600–7607. [Google Scholar] [CrossRef]
- Min, X.; Li, Y.; Ke, Y.; Shi, M.; Chai, L.; Xue, K. Fe-FeS2 adsorbent prepared with iron powder and pyrite by facile ball milling and its application for arsenic removal. Water Sci. Technol. 2017, 76, 192–200. [Google Scholar] [CrossRef]
- Zhang, Q.L.; Gao, N.Y.; Lin, Y.C.; Xu, B.; Le, L.S. Removal of arsenic(V) from aqueous solutions using iron-oxide-coated modified activated carbon. Water Environ. Res. 2007, 79, 931–936. [Google Scholar] [CrossRef]
- Liang, Y.J.; Min, X.B.; Chai, L.Y.; Wang, M.; Liyang, W.J.; Pan, Q.; Okido, M. Stabilization of arsenic sludge with mechanochemically modified zero valent iron. Chemosphere 2017, 168, 1142–1151. [Google Scholar] [CrossRef]
- Liu, J.; Wang, X.; Wang, L.; Kao, H. Effect of absorption and binding of Cd2+, Zn2+ and Cu2+ with C-S-H gel. Cement 2012, 49, 151–185. (In Chinesse) [Google Scholar] [CrossRef]







| Element | Fe2O3 | SiO2 | Al2O3 | CaO | MgO | ZnO | MnO2 | Na2O | Cr2O3 | CuO | PbO | As2O3 | NiO2 |
|---|---|---|---|---|---|---|---|---|---|---|---|---|---|
| LSS | 23.01 | 32.23 | 5.51 | 24.58 | 4.54 | 5.19 | 2.06 | 1.62 | 0.29 | 0.32 | 0.08 | 0.02 | 0.17 |
| Item | LSS /wt.% | W(SiO2+Na2O) /wt.% | Ms (SiO2/Na2O) | Water-To-Binder (g/g) |
|---|---|---|---|---|
| R1 | 95 | 5 | 0.5 | 0.2 |
| R2 | 95 | 5 | 1 | 0.2 |
| R3 | 95 | 5 | 1.5 | 0.2 |
| R4 | 95 | 5 | 2 | 0.2 |
| R5 | 95 | 5 | 2.5 | 0.2 |
| W1 | 98 | 2 | 1 | 0.2 |
| W2 | 92 | 8 | 1 | 0.2 |
| W3 | 89 | 11 | 1 | 0.2 |
| W4 | 86 | 14 | 1 | 0.2 |
| M1 | 95 | 5 | 1 | 0.175 |
| M2 | 95 | 5 | 1 | 0.225 |
| M3 | 95 | 5 | 1 | 0.25 |
| M4 | 95 | 5 | 1 | 0.275 |
| Sample | IS(mm/s) | QS(mm/s) | <H>(kOe) | RA(%) | Linewidth(mm/s) | Specie |
|---|---|---|---|---|---|---|
| Initial LSS (a) | 0.78 | 1.21 | - | 32 | 0.90 | Fe3+ |
| 1.02 | 1.99 | - | 68 | 0.64 | Fe2+ | |
| LSS based geopolymer (R2) (b) | 0.11 | 0.17 | - | 19.7 | 0.28 | Fe3+ |
| 0.44 | 1.17 | - | 14.5 | 0.28 | Fe3+ | |
| 1.30 | 1.59 | - | 65.8 | 0.28 | Fe2+ |
| Element | Zn | Cd | Ni | Cu | As | Ba | Be | Cr | Pb | Ag | Se | Hg |
|---|---|---|---|---|---|---|---|---|---|---|---|---|
| Limits | 100 | 1 | 5 | 100 | 5 | 100 | 0.02 | 5 | 5 | 5 | 1 | 0.1 |
| LSS | 167.16 | 0.22 | 0.45 | 0.07 | 0.05 | 12.53 | 0.01 | 0.01 | 0.15 | ND | ND | ND |
| geopolymer (R2) | 93.99 | 0.07 | 0.11 | 0.02 | 0.09 | 4.72 | 0.01 | 0.01 | 0.15 | ND | ND | ND |
© 2020 by the authors. Licensee MDPI, Basel, Switzerland. This article is an open access article distributed under the terms and conditions of the Creative Commons Attribution (CC BY) license (http://creativecommons.org/licenses/by/4.0/).
Share and Cite
Yao, L.; Liu, D.; Ke, Y.; Li, Y.; Wang, Z.; Fei, J.; Xu, H.; Min, X. Synthesis and Hydration Characteristic of Geopolymer Based on Lead Smelting Slag. Int. J. Environ. Res. Public Health 2020, 17, 2762. https://doi.org/10.3390/ijerph17082762
Yao L, Liu D, Ke Y, Li Y, Wang Z, Fei J, Xu H, Min X. Synthesis and Hydration Characteristic of Geopolymer Based on Lead Smelting Slag. International Journal of Environmental Research and Public Health. 2020; 17(8):2762. https://doi.org/10.3390/ijerph17082762
Chicago/Turabian StyleYao, Liwei, Degang Liu, Yong Ke, Yuancheng Li, Zhongbing Wang, Jiangchi Fei, Hui Xu, and Xiaobo Min. 2020. "Synthesis and Hydration Characteristic of Geopolymer Based on Lead Smelting Slag" International Journal of Environmental Research and Public Health 17, no. 8: 2762. https://doi.org/10.3390/ijerph17082762
APA StyleYao, L., Liu, D., Ke, Y., Li, Y., Wang, Z., Fei, J., Xu, H., & Min, X. (2020). Synthesis and Hydration Characteristic of Geopolymer Based on Lead Smelting Slag. International Journal of Environmental Research and Public Health, 17(8), 2762. https://doi.org/10.3390/ijerph17082762
