Implicit Theories about Athletic Ability Modulate the Effects of If-Then Planning on Performance in a Standardized Endurance Task
Abstract
1. Introduction
2. Materials and Methods
2.1. Participants and Design
2.2. Static Muscular Endurance Task
2.3. Ratings of Perceived Exertion (RPE) and Pain (RPP)
2.4. Questionnaires
2.5. Procedure
3. Results
3.1. Data Analysis
3.2. Preliminary Analyses
3.2.1. Task Experience and Beliefs
3.2.2. Baseline Performance
3.3. Performance in the Main Task
3.3.1. Time-to-Failure
Conditions and Limit
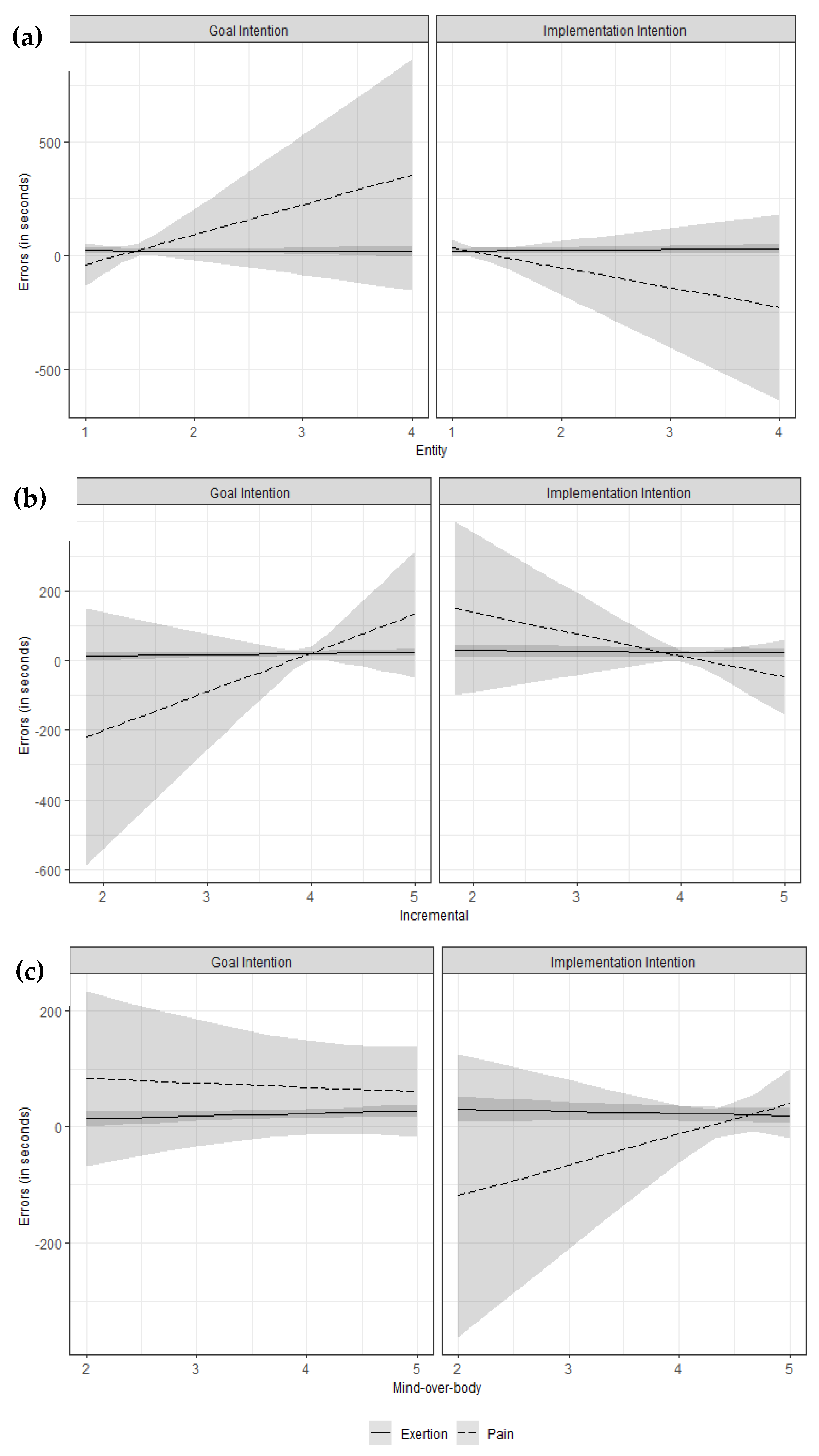
Entity Beliefs
Incremental Beliefs
Mind-over-body Beliefs
Joint Analysis of Beliefs
3.3.2. Errors
Condition and Limit
Moderation by Entity, Incremental and Mind-over-body Beliefs
Joint Analysis of Beliefs
4. Discussion
5. Conclusions
Author Contributions
Funding
Acknowledgments
Conflicts of Interest
Appendix A

| Variable | Model 1 | Model 2 | Model 3 | Model 4 | Model 5 | Model 6 | Model 7 | |
|---|---|---|---|---|---|---|---|---|
| Intercept | 11.08 | 2.14 | 0.42 | 1.70 | −15.13 | −16.97 ° | −18.94 | |
| (8.19) | (4.26) | (5.39) | (17.60) | (10.64) | (9.57) | (17.64) | ||
| Condition = II | −16.19 | 3.19 | −6.23 | 27.14 ° | 32.76 ° | 24.12 | ||
| (13.76) | (5.29) | (16.10) | (14.89) | (17.90) | (20.04) | |||
| Errors Baseline Task | 1.29 * | 1.27 * | 1.31* | 1.38 ** | 1.28 ** | 1.38 ** | 1.26 *** | |
| (0.57) | (0.57) | (0.51) | (0.45) | (0.44) | (0.51) | (0.31) | ||
| Limit = Pain | 7.22 | 47.25 | −194.70 | −426.78 | 93.25 | −818.63 | ||
| (11.42) | (40.60) | (143.41) | (341.01) | (119.08) | (502.54) | |||
| II × Pain | −83.491 | 297.44 | 657.46 | −355.29 | 1017.63 ° | |||
| (60.025) | (185.30) | (475.46) | (280.37) | (569.84) | ||||
| Entity | −0.90 (6.07) | −1.00 (4.54) | ||||||
| II × Entity | 4.42 (6.18) | 3.58 (4.84) | ||||||
| Pain × Entity | 132.57 (98.07) | 140.07 (88.52) | ||||||
| II × Pain × Entity | −223.02 (137.78) | −188.58 ° (101.99) | ||||||
| Incremental | 3.85 (2.34) | 1.36 (2.33) | ||||||
| II × Incremental | −5.94 ° (3.38) | −0.87 (4.49) | ||||||
| Pain × Incremental | 106.96 (85.97) | 217.79 ° (128.09) | ||||||
| II × Pain × Incremental | −167.02 (119.70) | −285.29 * (145.04) | ||||||
| Mind-over-body | 4.56 (3.25) | 4.49 (3.21) | ||||||
| II × Mind-over-body | −8.16 ° | −7.16 | ||||||
| (4.72) | (5.42) | |||||||
| Pain × Mind-over-body | −12.18 | −86.27 | ||||||
| (25.06) | (55.84) | |||||||
| II × Pain × Mind-over-body | 68.80 | 122.40 ° | ||||||
| (58.14) | (72.59) | |||||||
| Num. obs. | 60 | 60 | 60 | 60 | 60 | 60 | 60 | |
| R2 | 0.62 | 0.61 | 0.66 | 0.72 | 0.70 | 0.68 | 0.80 | |
| Adj. R2 | 0.60 | 0.60 | 0.63 | 0.68 | 0.65 | 0.62 | 0.73 | |
| L.R. | 57.68 | 56.52 | 64.55 | 77.00 | 72.22 | 67.57 | 97.69 |

References
- Ruiz, J.R.; Castro-Piñero, J.; Artero, E.G.; Ortega, F.B.; Sjöström, M.; Suni, J.; Castillo, M.J. Predictive validity of health-related fitness in youth: A systematic review. Br. J. Sports Med. 2009, 43, 909–923. [Google Scholar] [CrossRef]
- Ortega, F.B.; Ruiz, J.R.; Castillo, M.J.; Sjöström, M. Physical fitness in childhood and adolescence: A powerful marker of health. Int. J. Obesity 2008, 32, 1–11. [Google Scholar] [CrossRef]
- Smith, J.J.; Eather, N.; Morgan, P.J.; Plotnikoff, R.C.; Faigenbaum, A.D.; Lubans, D.R. The health benefits of muscular fitness for children and adolescents: A systematic review and meta-analysis. Sports Med. 2014, 44, 1209–1223. [Google Scholar] [CrossRef]
- Ruiz, J.R.; Sui, X.; Lobelo, F.; Lee, D.-C.; Morrow, J.R.; Jackson, A.W.; Hébert, J.R.; Matthews, C.E.; Sjöström, M.; Blair, S.N. Muscular strength and adiposity as predictors of adulthood cancer mortality in men. Cancer Epidemiol. Biomark. Prev. 2009, 18, 1468–1476. [Google Scholar] [CrossRef]
- García-Hermoso, A.; Cavero-Redondo, I.; Ramírez-Vélez, R.; Ruiz, J.R.; Ortega, F.B.; Lee, D.-C.; Martínez-Vizcaíno, V. Muscular strength as a predictor of all-cause mortality in an apparently healthy population: A systematic review and meta-analysis of data from approximately 2 million men and women. Arch. Phys. Med. Rehabilit. 2018, 99, 2100–2113.e5. [Google Scholar] [CrossRef] [PubMed]
- Artero, E.G.; Lee, D.-C.; Lavie, C.J.; España-Romero, V.; Sui, X.; Church, T.S.; Blair, S.N. Effects of muscular strength on cardiovascular risk factors and prognosis. J. Cardiopulm. Rehabilit. Prev. 2012, 32, 351–358. [Google Scholar] [CrossRef]
- Ortega, F.B.; Artero, E.G.; Jiménez-Pavón, D.; Ruiz, J.R. Role of physical activity and fitness in the promotion of metabolic and overall health. Eur. J. Hum. Mov. 2018, 41, 6–16. [Google Scholar]
- Piercy, K.L.; Troiano, R.P.; Ballard, R.M.; Carlson, S.A.; Fulton, J.E.; Galuska, D.A.; George, S.M.; Olson, R.D. The physical activity guidelines for Americans. JAMA 2018, 320, 2020–2028. [Google Scholar] [CrossRef]
- Ozemek, C.; Lavie, C.J.; Rognmo, Ø. Global physical activity levels—Need for intervention. Prog. Cardiovasc. Dis. 2019, 62, 102–107. [Google Scholar] [CrossRef]
- Allen, D.G.; Lamb, G.D.; Westerblad, H. Skeletal muscle fatigue: Cellular mechanisms. Physiol. Rev. 2008, 88, 287–332. [Google Scholar] [CrossRef]
- Amann, M.; Calbet, J.A.L. Convective oxygen transport and fatigue. J. Appl. Physiol. 2008, 104, 861–870. [Google Scholar] [CrossRef] [PubMed]
- Burnley, M.; Jones, A.M. Oxygen uptake kinetics as a determinant of sports performance. Eur. J. Sport Sci. 2007, 7, 63–79. [Google Scholar] [CrossRef]
- Secher, N.H.; Seifert, T.; Van Lieshout, J.J. Cerebral blood flow and metabolism during exercise: Implications for fatigue. J. Appl. Physiol. 2008, 104, 306–314. [Google Scholar] [CrossRef] [PubMed]
- Marcora, S.M.; Staiano, W. The limit to exercise tolerance in humans: Mind over muscle? Eur. J. Appl. Physiol. 2010, 109, 763–770. [Google Scholar] [CrossRef]
- Marcora, S.M.; Staiano, W.; Manning, V. Mental fatigue impairs physical performance in humans. J. Appl. Physiol. 2009, 106, 857–864. [Google Scholar] [CrossRef]
- Marcora, S.M. Do we really need a central governor to explain brain regulation of exercise performance? Eur. J. Appl. Physiol. 2008, 104, 929. [Google Scholar] [CrossRef]
- Marcora, S.M.; Bosio, A.; de Morree, H.M. Locomotor muscle fatigue increases cardiorespiratory responses and reduces performance during intense cycling exercise independently from metabolic stress. Am. J. Physiol. Regul. Integr. Comp. Physiol. 2008, 294, R874–R883. [Google Scholar] [CrossRef]
- Wolff, W.; Bieleke, M.; Hirsch, A.; Wienbruch, C.; Gollwitzer, P.M.; Schüler, J. Increase in prefrontal cortex oxygenation during static muscular endurance performance is modulated by self-regulation strategies. Sci. Rep. 2018, 8, 15756. [Google Scholar] [CrossRef]
- Gollwitzer, P.M.; Sheeran, P. Implementation intentions and goal achievement: A meta-analysis of effects and processes. Adv. Exp. Soc. Psychol. 2006, 38, 69–119. [Google Scholar] [CrossRef]
- Martiny-Huenger, T.; Bieleke, M.; Oettingen, G.; Gollwitzer, P.M. From thought to automatic action: Strategic and incidental action control by if-then planning. In Reflective and Impulsive Determinants of Human Behavior; Deutsch, R., Gawronski, B., Hofmann, W., Eds.; Psychology Press: New York, NY, USA, 2017; pp. 69–84. [Google Scholar]
- Bélanger-Gravel, A.; Godin, G.; Amireault, S. A meta-analytic review of the effect of implementation intentions on physical activity. Health Psychol. Rev. 2013, 7, 23–54. [Google Scholar] [CrossRef]
- Adriaanse, M.A.; Vinkers, C.D.W.; de Ridder, D.T.D.; Hox, J.J.; de Wit, J.B.F. Do implementation intentions help to eat a healthy diet? A systematic review and meta-analysis of the empirical evidence. Appetite 2011, 56, 183–193. [Google Scholar] [CrossRef] [PubMed]
- Orbell, S.; Sheeran, P. Motivational and volitional processes in action initiation: A field study of the role of implementation intentions. J. Appl. Soc. Psychol. 2000, 30, 780–797. [Google Scholar] [CrossRef]
- Gollwitzer, P.M. Weakness of the will: Is a quick fix possible? Motiv. Emot. 2014, 38, 305–322. [Google Scholar] [CrossRef]
- Gollwitzer, P.M. Implementation intentions: Strong effects of simple plans. Am. Psychol. 1999, 54, 493–503. [Google Scholar] [CrossRef]
- Janczyk, M.; Dambacher, M.; Bieleke, M.; Gollwitzer, P.M. The benefit of no choice: Goal-directed plans enhance perceptual processing. Psychol. Res. 2015, 79, 206–220. [Google Scholar] [CrossRef] [PubMed]
- Triandis, H.C. Interpersonal Behavior; Brooks/Cole Publ: Monterey, CA, USA, 1977. [Google Scholar]
- Hagger, M.S.; Montasem, A. Implementing intentions to drink a carbohydrate-electrolyte solution during exercise. J. Sports Sci. 2009, 27, 963–974. [Google Scholar] [CrossRef]
- Achtziger, A.; Gollwitzer, P.M.; Sheeran, P. Implementation intentions and shielding goal striving from unwanted thoughts and feelings. Pers. Soc. Psychol. Bull. 2008, 34, 381–393. [Google Scholar] [CrossRef]
- Thürmer, J.L.; Wieber, F.; Gollwitzer, P.M. Planning and performance in small groups: Collective implementation intentions enhance group goal striving. Front. Psychol. 2017, 8, 183. [Google Scholar] [CrossRef]
- Bieleke, M.; Wolff, W. That escalated quickly—Planning to ignore RPE can backfire. Front. Physiol. 2017, 8, 736. [Google Scholar] [CrossRef]
- Marcora, S.M. Effort: Perception of. In Encyclopedia of Perception; Goldstein, E.B., Ed.; Sage Publications: Thousand Oaks, CA, USA, 2010; pp. 380–383. [Google Scholar]
- Pageaux, B. Perception of effort in exercise science: Definition, measurement and perspectives. Eur. J. Sport Sci. 2016, 16, 885–894. [Google Scholar] [CrossRef]
- Dweck, C.S. Self-Theories. Their Role in Motivation, Personality, and Development; Essays in Social Psychology; Psychology Press: Philadelphia, PA, USA, 1999. [Google Scholar]
- Dweck, C.S.; Leggett, E.L. A social-cognitive approach to motivation and personality. Psychol. Rev. 1988, 95, 256–273. [Google Scholar] [CrossRef]
- Dweck, C.S. Implicit theories as organizers of goals and behavior. In The Psychology of Action: Linking Cognition and Motivation to Behavior; Gollwitzer, P., Bargh, J.A., Eds.; Guilford Press: New York, NY, USA, 1996; pp. 69–90. [Google Scholar]
- Dweck, C.S.; Chiu, C.-Y.; Hong, Y.-Y. Implicit theories and their role in judgments and reactions: A word from two perspectives. Psychol. Inq. 1995, 6, 267–285. [Google Scholar] [CrossRef]
- Ross, M. Relation of implicit theories to the construction of personal histories. Psychol. Rev. 1989, 96, 341–357. [Google Scholar] [CrossRef]
- Job, V.; Walton, G.M.; Bernecker, K.; Dweck, C.S. Beliefs about willpower determine the impact of glucose on self-control. Proc. Natl. Acad. Sci. USA 2013, 110, 14837–14842. [Google Scholar] [CrossRef] [PubMed]
- Napolitano, C.M.; Job, V. Assessing the implicit theory of willpower for Strenuous Mental Activities Scale: Multigroup, across-gender, and cross-cultural measurement invariance and convergent and divergent validity. Psychol. Assess. 2018, 30, 1049–1064. [Google Scholar] [CrossRef] [PubMed]
- Li, W.; Lee, A. A review of conceptions of ability and related motivational constructs in achievement motivation. Quest 2004, 56, 439–461. [Google Scholar] [CrossRef]
- Biddle, S.J.H.; Wang, C.K.J.; Chatzisarantis, N.L.D.; Spray, C.M. Motivation for physical activity in young people: Entity and incremental beliefs about athletic ability. J. Sports Sci. 2003, 21, 973–989. [Google Scholar] [CrossRef]
- Spray, C.M.; Wang, C.J.; Biddle, S.J.H.; Chatzisarantis, N.L.D.; Warburton, V.E. An experimental test of self-theories of ability in youth sport. Psychol. Sport Exerc. 2006, 7, 255–267. [Google Scholar] [CrossRef]
- Wang, C.K.J.; Biddle, S.J.H. Intrinsic motivation towards sports in Singaporean students: The role of sport ability beliefs. J. Health Psychol. 2003, 8, 515–523. [Google Scholar] [CrossRef]
- Burnette, J.L.; O’Boyle, E.H.; VanEpps, E.M.; Pollack, J.M.; Finkel, E.J. Mind-sets matter: A meta-analytic review of implicit theories and self-regulation. Psychol. Bull. 2013, 139, 655. [Google Scholar] [CrossRef]
- Burnette, J.L. Implicit theories of body weight: Entity beliefs can weigh you down. Pers. Soc. Psychol. Bull. 2010, 36, 410–422. [Google Scholar] [CrossRef] [PubMed]
- Kasimatis, M.; Miller, M.; Marcussen, L. The effects of implicit theories on exercise motivation. J. Res. Pers. 1996, 30, 510–516. [Google Scholar] [CrossRef]
- Gardner, L.A.; Vella, S.A.; Magee, C.A. Continued participation in youth sports: The role of achievement motivation. J. Appl. Sport Psychol. 2017, 29, 17–31. [Google Scholar] [CrossRef]
- Schüler, J.; Wolff, W.; Dettmers, C. Exercise in multiple sclerosis: Knowing is not enough—The crucial role of intention formation and intention realization. Neurol. Ther. 2019, 8, 5–11. [Google Scholar] [CrossRef]
- Giboin, L.-S.; Gruber, M.; Schüler, J.; Wolff, W. Investigating performance in a strenuous physical task from the perspective of self-control. Brain Sci. 2019, 9, 317. [Google Scholar] [CrossRef]
- Borg, G. Borg’s Perceived Exertion and Pain Scales; Human Kinetics: Champaign, IL, USA, 1998. [Google Scholar]
- Borg, G. The Borg CR10 Scale Folder; Borg Perception: Hasselby, Sweden, 2004. [Google Scholar]
- R Core Team. R: A Language and Environment for Statistical Computing; R Foundation for Statistical Computing: Vienna, Austria, 2018. [Google Scholar]
- Wickham, H. ggplot2; Springer: New York, NY, USA, 2009. [Google Scholar]
- Lüdecke, D. sjPlot: Data Visualization for Statistics in Social Science. 2019. Available online: https://cran.r-project.org/web/packages/sjPlot/index.html (accessed on 1 October 2019). [CrossRef]
- Neth, H.; Gradwohl, N. unikn: Graphical elements of the University of Konstanz’s corporate design; Social Psychology and Decision Sciences: University of Konstanz, Konstanz, Germany, 2019. [Google Scholar]
- Harrell, F.E. Regression Modeling Strategies. With Applications to Linear Models, Logistic and Ordinal Regression, and Survival Analysis, 2nd ed.; Springer series in statistics; Springer: Cham, Switzerland; Heidelberg, Germany; New York, NY, USA, 2015. [Google Scholar]
- Leifeld, P. texreg: Conversion of statistical model output in R to HTML tables. J. Stat. Softw. 2013, 55, 1–24. [Google Scholar] [CrossRef]
- Borg, G. Psychophysical bases of perceived exertion. Med. Sci. Sports Exerc. 1982, 14, 377–381. [Google Scholar]
- Hong, Y.-Y.; Chiu, C.-Y.; Dweck, C.S.; Lin, D.M.-S.; Wan, W. Implicit theories, attributions, and coping: A meaning system approach. J. Pers. Soc. Psychol. 1999, 77, 588–599. [Google Scholar] [CrossRef]
- Blackwell, L.S.; Trzesniewski, K.H.; Dweck, C.S. Implicit theories of intelligence predict achievement across an adolescent transition: A longitudinal study and an intervention. Child Dev. 2007, 78, 246–263. [Google Scholar] [CrossRef]
- Aronson, J.; Fried, C.B.; Good, C. Reducing the effects of stereotype threat on African American college students by shaping theories of intelligence. J. Exp. Soc. Psychol. 2002, 38, 113–125. [Google Scholar] [CrossRef]
- Chiu, C.-Y.; Hong, Y.-Y.; Dweck, C.S. Lay dispositionism and implicit theories of personality. J. Pers. Soc. Psychol. 1997, 73, 19–30. [Google Scholar] [CrossRef] [PubMed]
- Prestwich, A.; Kellar, I. How can the impact of implementation intentions as a behaviour change intervention be improved? Eur. Rev. Appl. Psychol. 2014, 64, 35–41. [Google Scholar] [CrossRef]
- Webb, T.L.; Ononaiye, M.S.P.; Sheeran, P.; Reidy, J.G.; Lavda, A. Using implementation intentions to overcome the effects of social anxiety on attention and appraisals of performance. Pers. Soc. Psychol. Bull. 2010, 36, 612–627. [Google Scholar] [CrossRef] [PubMed]
- Webb, T.L.; Christian, J.; Armitage, C.J. Helping students turn up for class: Does personality moderate the effectiveness of an implementation intention intervention? Learn. Individ. Differ. 2007, 17, 316–327. [Google Scholar] [CrossRef]
- Powers, T.A.; Koestner, R.; Topciu, R.A. Implementation intentions, perfectionism, and goal progress: Perhaps the road to hell is paved with good intentions. Pers. Soc. Psychol. Bull. 2005, 31, 902–912. [Google Scholar] [CrossRef]
- Wieber, F.; Sezer, L.A.; Gollwitzer, P.M. Asking “why” helps action control by goals but not plans. Motiv. Emot. 2014, 38, 65–78. [Google Scholar] [CrossRef]
- Rhodes, R.E.; de Bruijn, G.-J. How big is the physical activity intention-behaviour gap? A meta-analysis using the action control framework. Br. J. Health Psychol. 2013, 18, 296–309. [Google Scholar] [CrossRef]
- McCormick, A.; Meijen, C.; Marcora, S.M. Psychological demands experienced by recreational endurance athletes. Int. J. Sport Exerc. Psychol. 2016, 6, 1–16. [Google Scholar] [CrossRef]
- Calder, A. Fatigue is no foe with recovery strategies. In Sports Official Newsletter; Australian Sports Commission: Bruce, Australia, 2009; Volume 8. [Google Scholar]
- Gregoire, C. Why Runners ‘Hit the Wall,’ and What to Do about It. Available online: https://www.huffpost.com/entry/runners-psychological-mental-obstacles_n_58484917e4b08c82e8893393 (accessed on 29 August 2019).
- Brick, N.E.; MacIntyre, T.E.; Campbell, M.J. Thinking and action: A cognitive perspective on self-regulation during endurance performance. Front. Physiol. 2016, 7, 159. [Google Scholar] [CrossRef]
- Wolff, W.; Martarelli, C. Bored into depletion? Towards a tentative integration of perceived self-control exertion and boredom as guiding signals for goal-directed behavior. Perspect. Psychol. Sci. 2020. accepted. [Google Scholar] [CrossRef]


| First-Order Variable | Item |
|---|---|
| Entity | 1. You have a certain level of ability in sport and you cannot really do much to change that level. |
| 2. Even if you try, the level you reach in sport will change very little. | |
| 3. It is difficult to change how good you are at sport. | |
| 4. You need to have certain ‘gifts’ to be good at sport. | |
| 5. To be good at sport, you need to be born with the basic qualities which allow you success. | |
| 6. To be good at sport you need to be naturally gifted. | |
| Incremental | 7. To be successful in sport you need to learn techniques and skills and practice them regularly. |
| 8. You need to learn and to work hard to be good at sport. | |
| 9. To reach a high level of performance in sport, you must go through periods of learning and training. | |
| 10. In sport, if you work hard at it, you will always get better. | |
| 11. How good you are at sport will always improve if you work at it. | |
| 12. If you put enough effort into it, you will always get better at sport. | |
| Mind-over-body | 13. The body sets limits to athletic performance that cannot be overcome. |
| 14. Mental attitude does not play a role in sports, if the physical preconditions are not met. | |
| 15. One can always enhance one’s athletic performance through mental processes. |
| Variable | Model 1 | Model 2 | Model 3 | Model 4 | Model 5 | Model 6 | Model 7 |
|---|---|---|---|---|---|---|---|
| Intercept | 1.59 | 1.60 | 1.68 | 4.59 | 2.01 | 1.97 | 5.42 |
| (1.81) | (1.52) | (1.88) | (2.03) * | (3.44) | (2.26) | (3.86) | |
| Time-to-failure Baseline Task | 0.57 *** | 0.57 *** | 0.57 *** | 0.51 *** | 0.48 *** | 0.52 *** | 0.45 *** |
| (0.17) | (0.17) | (0.17) | (0.11) | (0.10) | (0.12) | (0.08) | |
| Condition = II | 0.07 | −0.14 | −10.57 * | 15.33 | 9.97 | 4.54 | |
| (1.03) | (1.11) | (4.23) | (10.34) | (8.03) | (7.67) | ||
| Limit = Pain | 0.14 | −0.30 | −13.30 | −2.33 | 3.37 | −20.44 | |
| (1.44) | (1.94) | (8.30) | (15.84) | (4.15) | (14.66) | ||
| II × Pain | 0.90 | 28.47 * | −23.67 | −38.45 ** | −14.97 | ||
| (2.94) | (11.16) | (24.33) | (12.18) | (19.49) | |||
| Entity | −1.06 (0.65) | −1.08 ° (0.64) | |||||
| II × Entity | 4.67 * (2.04) | 3.43 ** (1.21) | |||||
| Pain × Entity | 7.00 (4.71) | 7.04 ° (4.13) | |||||
| II × Pain × Entity | −14.69 * (6.12) | −9.01 ° (4.84) | |||||
| Incremental | 0.15 (0.78) | −0.00 (0.78) | |||||
| II × Incremental | 3.89 (2.46) | −2.15 (1.91) | |||||
| Pain × Incremental | 0.46 (3.89) | 2.89 (4.87) | |||||
| II × Pain × Incremental | 5.98 (5.99) | −0.26 (5.46) | |||||
| Mind-over-body | 0.06 (0.51) | −0.04 (0.54) | |||||
| II × Mind-over-body | −2.93 (2.20) | −1.09 (1.42) | |||||
| Pain × Mind-over-body | −0.89 (1.03) | −1.38 (1.84) | |||||
| II × Pain × Mind-over-body | 10.32 ** (3.23) | 9.20 ** (3.19) | |||||
| Num. obs. | 60 | 60 | 60 | 60 | 60 | 60 | 60 |
| R2 | 0.42 | 0.42 | 0.42 | 0.54 | 0.50 | 0.54 | 0.64 |
| Adj. R2 | 0.40 | 0.40 | 0.38 | 0.47 | 0.42 | 0.47 | 0.50 |
| L.R. | 32.38 | 32.39 | 32.54 | 47.04 | 41.10 | 46.48 | 60.92 |
© 2020 by the authors. Licensee MDPI, Basel, Switzerland. This article is an open access article distributed under the terms and conditions of the Creative Commons Attribution (CC BY) license (http://creativecommons.org/licenses/by/4.0/).
Share and Cite
Hirsch, A.; Bieleke, M.; Schüler, J.; Wolff, W. Implicit Theories about Athletic Ability Modulate the Effects of If-Then Planning on Performance in a Standardized Endurance Task. Int. J. Environ. Res. Public Health 2020, 17, 2576. https://doi.org/10.3390/ijerph17072576
Hirsch A, Bieleke M, Schüler J, Wolff W. Implicit Theories about Athletic Ability Modulate the Effects of If-Then Planning on Performance in a Standardized Endurance Task. International Journal of Environmental Research and Public Health. 2020; 17(7):2576. https://doi.org/10.3390/ijerph17072576
Chicago/Turabian StyleHirsch, Anna, Maik Bieleke, Julia Schüler, and Wanja Wolff. 2020. "Implicit Theories about Athletic Ability Modulate the Effects of If-Then Planning on Performance in a Standardized Endurance Task" International Journal of Environmental Research and Public Health 17, no. 7: 2576. https://doi.org/10.3390/ijerph17072576
APA StyleHirsch, A., Bieleke, M., Schüler, J., & Wolff, W. (2020). Implicit Theories about Athletic Ability Modulate the Effects of If-Then Planning on Performance in a Standardized Endurance Task. International Journal of Environmental Research and Public Health, 17(7), 2576. https://doi.org/10.3390/ijerph17072576

