Effect of Metal Oxide Nanoparticles on the Chemical Speciation of Heavy Metals and Micronutrient Bioavailability in Paddy Soil
Abstract
1. Introduction
2. Materials and Methods
2.1. Soil Characteristics
2.2. Nanoparticles Characteristics
2.3. Experimental Design
2.4. Analytical Methods
2.5. Data Analysis
3. Results and Discussion
3.1. Effect of MNPs Addition on Soil Properties
3.2. Effect of MNPs Addition on Heavy Metal Chemical Speciation
3.2.1. TiO2-NPs
3.2.2. ZnO-NPs
3.2.3. CuO-NPs
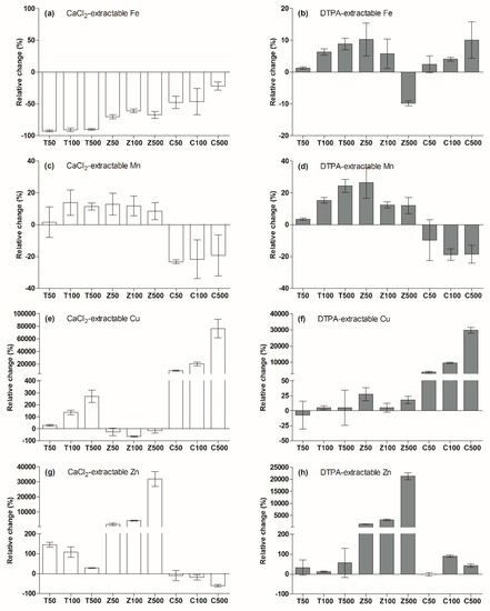
3.3. Effect of MNPs Addition on Soil Cd and Micronutrient Bioavailability
4. Conclusions
Supplementary Materials
Author Contributions
Funding
Conflicts of Interest
References
- Wang, Y.X.; Zhu, X.X.; Lao, Y.M.; Lv, X.H.; Tao, Y.; Huang, B.M.; Wang, J.X.; Zhou, J.; Cai, Z.H. TiO2 nanoparticles in the marine environment: Physical effects responsible for the toxicity on algae Phaeodactylum tricornutum. Sci. Total Environ. 2016, 565, 818–826. [Google Scholar] [CrossRef] [PubMed]
- Zhang, W.; Long, J.H.; Li, J.; Zhang, M.; Xiao, G.L.; Ye, X.Y.; Chang, W.J.; Zeng, H. Impact of ZnO nanoparticles on Cd toxicity and bioaccumulation in rice (Oryza sativa L.). Environ. Sci. Pollut. Res. 2019, 26, 23119–23128. [Google Scholar] [CrossRef] [PubMed]
- Adeleye, A.S.; Conway, J.R.; Garner, K.; Huang, Y.; Su, Y.; Keller, A.A. Engineered nanomaterials for water treatment and remediation: Costs, benefits, and applicability. Chem. Eng. J. 2016, 286, 640–662. [Google Scholar] [CrossRef]
- Gao, Y.; Yang, T.T.; Jin, J. Nanoparticle pollution and associated increasing potential risks on environment and human health: A case study of China. Environ. Sci. Pollut. Res. 2015, 22, 19297–19306. [Google Scholar] [CrossRef] [PubMed]
- Shaw, A.K.; Hossain, Z. Impact of nano-CuO stress on rice (Oryza sativa L.) seedlings. Chemosphere 2013, 93, 906–915. [Google Scholar] [CrossRef] [PubMed]
- Zhang, R.C.; Zhang, H.B.; Tu, C.; Hu, X.F.; Li, L.Z.; Luo, Y.M.; Christie, P. Phytotoxicity of ZnO nanoparticles and the released Zn (II) ion to corn (Zea mays L.) and cucumber (Cucumis sativus L.) during germination. Environ. Sci. Pollut. Res. 2015, 22, 11109–11117. [Google Scholar] [CrossRef]
- Siddiqi, K.S.; Husen, A. Engineered gold nanoparticles and plant adaptation potential. Nanoscale Res. Lett. 2016, 11, 400. [Google Scholar] [CrossRef]
- Yang, K.; Xing, B.S. Adsorption of organic compounds by carbon nanomaterials in aqueous phase: Polanyi theory and its application. Cheminform 2010, 110, 5989–6008. [Google Scholar]
- Ahsan, M.A.; Jabbari, V.; Imam, M.A.; Castro, E.; Kim, H.; Curry, M.L.; Valles-Rosales, D.J.; Noveron, J.C. Nanoscale nickel metal organic framework decorated over graphene oxide and carbon nanotubes for water remediation. Sci. Total Environ. 2020, 698, 134214. [Google Scholar] [CrossRef]
- Ahsan, M.A.; Fernandez-Delgado, O.; Deemer, E.; Wang, H.Y.; El-Gendy, A.A.; Curry, M.L.; Noveron, J.C. Carbonization of Co-BDC MOF results in magnetic C@Co nanoparticles that catalyze the reduction of methyl orange and 4-nitrophenol in water. J. Mol. Liq. 2019, 290, 111059. [Google Scholar] [CrossRef]
- Shrestha, B.; Anderson, T.A.; Acosta-Martinez, V.; Payton, P.; Cañas-Carrell, J.E. The influence of multiwalled carbon nanotubes on polycyclic aromatic hydrocarbon (pah) bioavailability and toxicity to soil microbial communities in alfalfa rhizosphere. Ecotoxicol. Environ. Saf. 2015, 116, 143–149. [Google Scholar] [CrossRef] [PubMed]
- Tafazoli, M.; Hojjati, S.M.; Biparva, P.; Kooch, Y.; Lamersdorf, N. Reduction of soil heavy metal bioavailability by nanoparticles and cellulosic wastes improved the biomass of tree seedlings. J. Plant Nutr. Soil Sci. 2017, 180, 683–693. [Google Scholar] [CrossRef]
- Zhao, X.; Liu, W.; Cai, Z.Q.; Han, B.; Qian, T.W.; Zhao, D.Y. An overview of preparation and applications of stabilized zero-valent iron nanoparticles for soil and groundwater remediation. Water Res. 2016, 100, 245–266. [Google Scholar] [CrossRef] [PubMed]
- Hu, X.G.; Kang, J.; Lu, K.C.; Zhou, R.R.; Mu, L.; Zhou, Q.X. Graphene oxide amplifies the phytotoxicity of arsenic in wheat. Sci. Rep. 2014, 4, 6122. [Google Scholar] [CrossRef] [PubMed]
- Ma, C.; Liu, H.; Chen, G.C.; Zhao, Q.; Eitzer, B.; Wang, Z.H.; Cai, W.J.; Newman, L.; White, J.C.; Dhankher, O.P.; et al. Effects of titanium oxide nanoparticles on tetracycline accumulation and toxicity in Oryza sativa (L.). Environ. Sci. Nano 2017, 4, 1827–1839. [Google Scholar] [CrossRef]
- Servin, A.D.; White, J.C. Nanotechnology in agriculture: Next steps for understanding engineered nanoparticle exposure and risk. Nanoimpact 2016, 1, 9–12. [Google Scholar] [CrossRef]
- Ahsan, M.A.; Jabbari, V.; El-Gendy, A.A.; Curry, M.L.; Noveron, J.C. Ultrafast catalytic reduction of environmental pollutants in water via MOF-derived magnetic Ni and Cu nanoparticles encapsulated in porous carbon. Appl. Surf. Sci. 2019, 497, 143608. [Google Scholar] [CrossRef]
- Ahsan, M.A.; Deemer, E.; Fernandez-Delgado, O.; Wang, H.Y.; Curry, M.L.; El-Gendy, A.A.; Noveron, J.C. Fe nanoparticles encapsulated in MOF-derived carbon for the reduction of 4-nitrophenol and methyl orange in water. Catal. Commun. 2019, 130, 105753. [Google Scholar] [CrossRef]
- Franklin, N.M.; Rogers, N.J.; Apte, S.C.; Batley, G.E.; Gadd, G.E.; Casey, P.S. Comparative toxicity of nanoparticulate ZnO, bulk ZnO, and ZnCl2 to a freshwater microalga (Pseudokirchneriella subcapitata): The importance of particle solubility. Environ. Sci. Technol. 2007, 41, 8484–8490. [Google Scholar] [CrossRef]
- Adams, J.; Wright, M.; Wagner, H.; Valiente, J.; Britt, D.; Anderson, A. Cu from dissolution of CuO nanoparticles signals changes in root morphology. Plant Physiol. Biochem. 2017, 110, 108–117. [Google Scholar] [CrossRef]
- Qiu, H.; Smolders, E. Nanospecific phytotoxicity of CuO nanoparticles in soils disappeared when bioavailability factors were considered. Environ. Sci. Technol. 2017, 51, 11976–11985. [Google Scholar] [CrossRef] [PubMed]
- Gao, X.Y.; Avellan, A.; Laughton, S.N.; Vaidya, R.; Rodrigues, S.M.; Casman, E.A.; Lowry, G.V. CuO nanoparticle dissolution and toxicity to wheat (Triticum aestivum) in rhizosphere soil. Environ. Sci. Technol. 2018, 52, 2888–2897. [Google Scholar] [CrossRef] [PubMed]
- Xu, C.; Peng, C.; Sun, L.J.; Zhang, S.; Huang, H.M.; Chen, Y.X.; Shi, J.Y. Distinctive effects of TiO2, and CuO nanoparticles on soil microbes and their community structures in flooded paddy soil. Soil Biol. Biochem. 2015, 86, 24–33. [Google Scholar] [CrossRef]
- Nemati, K.; Abu Bakar, N.K.; Abas, M.R.; Sobhanzadeh, E. Speciation of heavy metals by modified BCR sequential extraction procedure in different depths of sediments from Sungai Buloh, Selangor, Malaysia. J. Hazard. Mater. 2011, 192, 402–410. [Google Scholar] [CrossRef]
- Shi, J.Y.; Ye, J.E.; Fang, H.X.; Zhang, S.; Xu, C. Effects of copper oxide nanoparticles on paddy soil properties and components. Nanomaterials 2018, 8, 839. [Google Scholar] [CrossRef]
- Simonin, M.; Richaume, A. Impact of engineered nanoparticles on the activity, abundance, and diversity of soil microbial communities: A review. Environ. Sci. Pollut. Res. Int. 2015, 22, 13710–13723. [Google Scholar] [CrossRef]
- Liu, S.J.; Wei, H.M.; Li, Z.Y.; Li, S.; Yan, H.; He, Y.; Tian, Z.H. Effects of graphene on germination and seedling morphology in rice. J. Nanosci. Nanotechnol. 2015, 15, 2695–2701. [Google Scholar] [CrossRef]
- Ben-Moshe, T.; Frenk, S.; Dror, I.; Minz, D.; Berkowitz, B. Effects of metal oxide nanoparticles on soil properties. Chemosphere 2013, 90, 640–646. [Google Scholar] [CrossRef]
- Cullen, L.G.; Tilston, E.L.; Mitchell, G.R.; Collins, C.D.; Shaw, L.J. Assessing the impact of nano- and micro-scale zerovalent iron particles on soil microbial activities: Particle reactivity interferes with assay conditions and interpretation of genuine microbial effects. Chemosphere 2011, 82, 1675–1682. [Google Scholar] [CrossRef]
- Frenk, S.; Ben-Moshe, T.; Dror, I.; Berkowitz, B.; Minz, D. Effect of metal oxide nanoparticles on microbial community structure and function in two different soil types. PLoS ONE 2013, 8, e84441. [Google Scholar] [CrossRef]
- Peng, C.; Xu, C.; Liu, Q.L.; Sun, L.J.; Luo, Y.M.; Shi, J.Y. Fate and transformation of CuO nanoparticles in the soil-rice system during the life cycle of rice plants. Environ. Sci. Technol. 2017, 51, 4907–4917. [Google Scholar] [CrossRef] [PubMed]
- Lin, Q.; Xu, S.H. A review on competitive adsorption of heavy metals in soils. Soils 2008, 40, 706–711. [Google Scholar]
- Rizwan, M.; Ali, S.; Qayyum, M.F.; Yong, S.O.; Adrees, M.; Ibrahim, M.; Zia-ur-Rehman, M.; Farid, M.; Abbas, F. Effect of metal and metal oxide nanoparticles on growth and physiology of globally important food crops: A critical review. J. Hazard. Mater. 2016, 322, 2–16. [Google Scholar] [CrossRef] [PubMed]
- Du, W.C.; Sun, Y.Y.; Ji, R.; Zhu, J.G.; Wu, J.C.; Guo, H.Y. TiO2 and ZnO nanoparticles negatively affect wheat growth and soil enzyme activities in agricultural soil. J. Environ. Monit. 2011, 13, 822–828. [Google Scholar] [CrossRef]
- Ge, Y.; Schimel, J.P.; Holden, P.A. Evidence for negative effects of TiO2 and ZnO nanoparticles on soil bacterial communities. Environ. Sci. Technol. 2011, 45, 1659–1664. [Google Scholar] [CrossRef]
- Zhang, M.; He, F.; Zhao, D.Y.; Hao, X.D. Degradation of soil-sorbed trichloroethylene by stabilized zero valent iron nanoparticles: Effects of sorption, surfactants, and natural organic matter. Water Res. 2011, 45, 2401–2414. [Google Scholar] [CrossRef]
- Ling, W.T.; Xu, J.M.; Gao, Y.Z. Dissolved organic matter enhances the sorption of atrazine by soil. Biol. Fertil. Soils 2006, 42, 418–425. [Google Scholar] [CrossRef]
- Bin, G.; Cao, X.D.; Dong, Y.; Luo, Y.M.; Ma, L.Q. Colloid deposition and release in soils and their association with heavy metals. Crit. Rev. Environ. Sci. Technol. 2011, 41, 336–372. [Google Scholar] [CrossRef]
- Nowack, B.; Bucheli, T.D. Occurrence, behavior and effects of nanoparticles in the environment. Environ. Pollut. 2007, 150, 5–22. [Google Scholar] [CrossRef]






© 2020 by the authors. Licensee MDPI, Basel, Switzerland. This article is an open access article distributed under the terms and conditions of the Creative Commons Attribution (CC BY) license (http://creativecommons.org/licenses/by/4.0/).
Share and Cite
Zhang, W.; Long, J.; Li, J.; Zhang, M.; Ye, X.; Chang, W.; Zeng, H. Effect of Metal Oxide Nanoparticles on the Chemical Speciation of Heavy Metals and Micronutrient Bioavailability in Paddy Soil. Int. J. Environ. Res. Public Health 2020, 17, 2482. https://doi.org/10.3390/ijerph17072482
Zhang W, Long J, Li J, Zhang M, Ye X, Chang W, Zeng H. Effect of Metal Oxide Nanoparticles on the Chemical Speciation of Heavy Metals and Micronutrient Bioavailability in Paddy Soil. International Journal of Environmental Research and Public Health. 2020; 17(7):2482. https://doi.org/10.3390/ijerph17072482
Chicago/Turabian StyleZhang, Wei, Jinghua Long, Jie Li, Meng Zhang, Xingyin Ye, Wenjing Chang, and Hui Zeng. 2020. "Effect of Metal Oxide Nanoparticles on the Chemical Speciation of Heavy Metals and Micronutrient Bioavailability in Paddy Soil" International Journal of Environmental Research and Public Health 17, no. 7: 2482. https://doi.org/10.3390/ijerph17072482
APA StyleZhang, W., Long, J., Li, J., Zhang, M., Ye, X., Chang, W., & Zeng, H. (2020). Effect of Metal Oxide Nanoparticles on the Chemical Speciation of Heavy Metals and Micronutrient Bioavailability in Paddy Soil. International Journal of Environmental Research and Public Health, 17(7), 2482. https://doi.org/10.3390/ijerph17072482

